Combination of 10-hydroxy-decanoic acid and ZnO nanoparticles abrogates lead acetate-induced nephrotoxicity in rats: targeting oxidative stress and inflammatory signalling.

IF 2.7 3区 医学 Q2 PHARMACOLOGY & PHARMACY
Samar R Saleh, Raheel G Agwah, Samar S Elblehi, Ahmed Z Ghareeb, Doaa A Ghareeb, Adham M Maher
{"title":"Combination of 10-hydroxy-decanoic acid and ZnO nanoparticles abrogates lead acetate-induced nephrotoxicity in rats: targeting oxidative stress and inflammatory signalling.","authors":"Samar R Saleh, Raheel G Agwah, Samar S Elblehi, Ahmed Z Ghareeb, Doaa A Ghareeb, Adham M Maher","doi":"10.1186/s40360-025-00888-1","DOIUrl":null,"url":null,"abstract":"<p><p>Lead is a heavy metal contaminant that can cause significant alterations in renal structure and function, resulting in nephrotoxicity. The fatty acids of royal jelly exhibit immunoregulatory, anticancer, anti-inflammatory, and antioxidant properties, which have garnered significant interest. The most prevalent among them is 10-hydroxydecanoic acid (10-HDA). Zinc oxide nanoparticles (ZnONPs) demonstrate a renoprotective effect, likely due to their antioxidant, anti-inflammatory, and antiapoptotic properties. This study evaluated the therapeutic efficacy of 10-HDA and ZnONPs, administered either as monotherapy or in combination, against lead-induced nephrotoxicity. Male rats were orally administered lead acetate (PbAc) for three months, followed by the administration of 10-HDA and/or ZnONPs for one month. Exposure to PbAc resulted in elevated renal lead concentration, as well as increased serum levels of urea, creatinine, and cystatin C. The condition resulted in damage to the renal parenchyma, characterised by degenerative glomeruli and tubules, and exhibited the highest lesion score. Nrf2 and HO-1 exhibited reduced expression and diminished antioxidant enzyme levels subsequent to PbAc poisoning. Additionally, there was an increase in the inflammatory and apoptotic signalling through the p-IKK/NF-κB axis. The administration of 10-HDA and ZnONPs significantly decreased renal lead levels and improved antioxidant capacity. Moreover, renal inflammatory markers (TNF-α, p-IKK, IL-1β, IL-6, and IL-8) and proapoptotic indicators (Bax and Caspase-3) were significantly suppressed. The combined therapy demonstrated a synergistic effect (combination index < 1). In conclusion, the results indicated that 10-HDA and ZnONPs have the potential to be a supplement or even an effective treatment to alleviate the adverse effects of lead poisoning. This is potentially attributed to their potent ameliorative actions against oxidation, inflammation, and apoptosis.</p>","PeriodicalId":9023,"journal":{"name":"BMC Pharmacology & Toxicology","volume":"26 1","pages":"69"},"PeriodicalIF":2.7000,"publicationDate":"2025-03-25","publicationTypes":"Journal Article","fieldsOfStudy":null,"isOpenAccess":false,"openAccessPdf":"https://www.ncbi.nlm.nih.gov/pmc/articles/PMC11934796/pdf/","citationCount":"0","resultStr":null,"platform":"Semanticscholar","paperid":null,"PeriodicalName":"BMC Pharmacology & Toxicology","FirstCategoryId":"3","ListUrlMain":"https://doi.org/10.1186/s40360-025-00888-1","RegionNum":3,"RegionCategory":"医学","ArticlePicture":[],"TitleCN":null,"AbstractTextCN":null,"PMCID":null,"EPubDate":"","PubModel":"","JCR":"Q2","JCRName":"PHARMACOLOGY & PHARMACY","Score":null,"Total":0}
引用次数: 0

Abstract

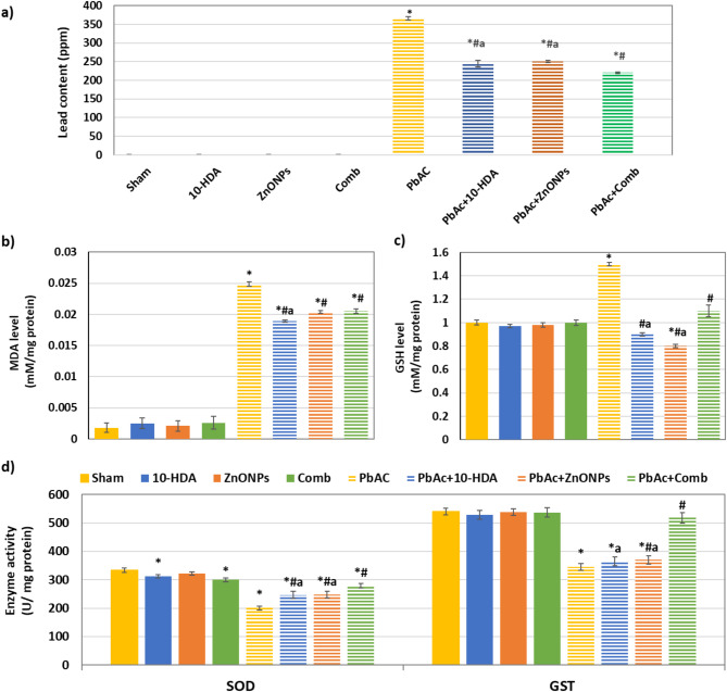
Lead is a heavy metal contaminant that can cause significant alterations in renal structure and function, resulting in nephrotoxicity. The fatty acids of royal jelly exhibit immunoregulatory, anticancer, anti-inflammatory, and antioxidant properties, which have garnered significant interest. The most prevalent among them is 10-hydroxydecanoic acid (10-HDA). Zinc oxide nanoparticles (ZnONPs) demonstrate a renoprotective effect, likely due to their antioxidant, anti-inflammatory, and antiapoptotic properties. This study evaluated the therapeutic efficacy of 10-HDA and ZnONPs, administered either as monotherapy or in combination, against lead-induced nephrotoxicity. Male rats were orally administered lead acetate (PbAc) for three months, followed by the administration of 10-HDA and/or ZnONPs for one month. Exposure to PbAc resulted in elevated renal lead concentration, as well as increased serum levels of urea, creatinine, and cystatin C. The condition resulted in damage to the renal parenchyma, characterised by degenerative glomeruli and tubules, and exhibited the highest lesion score. Nrf2 and HO-1 exhibited reduced expression and diminished antioxidant enzyme levels subsequent to PbAc poisoning. Additionally, there was an increase in the inflammatory and apoptotic signalling through the p-IKK/NF-κB axis. The administration of 10-HDA and ZnONPs significantly decreased renal lead levels and improved antioxidant capacity. Moreover, renal inflammatory markers (TNF-α, p-IKK, IL-1β, IL-6, and IL-8) and proapoptotic indicators (Bax and Caspase-3) were significantly suppressed. The combined therapy demonstrated a synergistic effect (combination index < 1). In conclusion, the results indicated that 10-HDA and ZnONPs have the potential to be a supplement or even an effective treatment to alleviate the adverse effects of lead poisoning. This is potentially attributed to their potent ameliorative actions against oxidation, inflammation, and apoptosis.

Abstract Image

Abstract Image

Abstract Image

10-羟基十二酸和氧化锌纳米颗粒的组合消除了醋酸铅诱导的大鼠肾毒性:针对氧化应激和炎症信号。
铅是一种重金属污染物,可引起肾脏结构和功能的显著改变,从而导致肾毒性。蜂王浆中的脂肪酸具有免疫调节、抗癌、抗炎和抗氧化的特性,引起了人们的极大兴趣。其中最常见的是10-羟基癸酸(10-HDA)。氧化锌纳米颗粒(ZnONPs)表现出保护肾的作用,可能是由于其抗氧化、抗炎和抗细胞凋亡的特性。本研究评估了10-HDA和ZnONPs单独或联合治疗铅诱导肾毒性的疗效。雄性大鼠口服醋酸铅(PbAc) 3个月,随后给予10-HDA和/或ZnONPs 1个月。暴露于PbAc导致肾铅浓度升高,血清尿素、肌酐和胱抑素c水平升高。这种情况导致肾实质损害,以肾小球和小管变性为特征,并表现出最高的病变评分。PbAc中毒后Nrf2和HO-1表达降低,抗氧化酶水平降低。此外,通过p-IKK/NF-κB轴的炎症和凋亡信号传导增加。给药10-HDA和ZnONPs显著降低肾铅水平和提高抗氧化能力。此外,肾脏炎症标志物(TNF-α、p-IKK、IL-1β、IL-6和IL-8)和促凋亡指标(Bax和Caspase-3)均显著抑制。联合治疗表现出协同效应(联合指数< 1)。综上所述,10-HDA和ZnONPs有可能成为缓解铅中毒不良反应的补充甚至有效治疗方法。这可能归因于它们对氧化、炎症和细胞凋亡的有效改善作用。
本文章由计算机程序翻译,如有差异,请以英文原文为准。
求助全文
约1分钟内获得全文 求助全文
来源期刊
BMC Pharmacology & Toxicology
BMC Pharmacology & Toxicology PHARMACOLOGY & PHARMACYTOXICOLOGY&nb-TOXICOLOGY
CiteScore
4.80
自引率
0.00%
发文量
87
审稿时长
12 weeks
期刊介绍: BMC Pharmacology and Toxicology is an open access, peer-reviewed journal that considers articles on all aspects of chemically defined therapeutic and toxic agents. The journal welcomes submissions from all fields of experimental and clinical pharmacology including clinical trials and toxicology.
×
引用
GB/T 7714-2015
复制
MLA
复制
APA
复制
导出至
BibTeX EndNote RefMan NoteFirst NoteExpress
×
提示
您的信息不完整,为了账户安全,请先补充。
现在去补充
×
提示
您因"违规操作"
具体请查看互助需知
我知道了
×
提示
确定
请完成安全验证×
copy
已复制链接
快去分享给好友吧!
我知道了
右上角分享
点击右上角分享
0
联系我们:info@booksci.cn Book学术提供免费学术资源搜索服务,方便国内外学者检索中英文文献。致力于提供最便捷和优质的服务体验。 Copyright © 2023 布克学术 All rights reserved.
京ICP备2023020795号-1
ghs 京公网安备 11010802042870号
Book学术文献互助
Book学术文献互助群
群 号:604180095
Book学术官方微信