The abdominal compliance index and postoperative pain after laparoscopic gynecologic surgery: a preliminary observational cohort study.

IF 1 4区 医学 Q2 MEDICINE, GENERAL & INTERNAL
Turkish Journal of Medical Sciences Pub Date : 2025-01-15 eCollection Date: 2025-01-01 DOI:10.55730/1300-0144.5969
Ebru Akgün Şarer, Mustafa Tahtaci, Umut Cahit Ersoy, Mehtap Honca
{"title":"The abdominal compliance index and postoperative pain after laparoscopic gynecologic surgery: a preliminary observational cohort study.","authors":"Ebru Akgün Şarer, Mustafa Tahtaci, Umut Cahit Ersoy, Mehtap Honca","doi":"10.55730/1300-0144.5969","DOIUrl":null,"url":null,"abstract":"<p><strong>Background/aim: </strong>In gynecology, laparoscopic surgery has the advantages of reduced scarring, less postoperative pain, faster recovery, and lower risk of complications. Despite these advantages, shoulder pain still remains a major concern, affecting up to 90% of patients undergoing gynecologic laparoscopic surgery. Use of the abdominal compliance index (ACI) may offer the benefit of increased space for safer surgery and may prevent the drawback of high insufflation pressures. The aim of this study was to investigate the relationship between shoulder pain, abdominal pain, and analgesic use with the recently advised ACI, a surrogate index of abdominal expansion in patients undergoing gynecologic laparoscopic surgery.</p><p><strong>Materials and methods: </strong>Thirty-one patients with American Society of Anesthesiologists scores of 1-3 who underwent elective gynecologic laparoscopic surgery were included. The insufflation pressure was set to 12 mmHg. ACI, defined as insufflated intraabdominal volume (L) per body surface area (m<sup>2</sup>), was used to estimate the relationship between abdominal compliance and postoperative pain.</p><p><strong>Results: </strong>The 31 patients were separated into two groups based on median ACI level (range 1.37-2.73 L/m<sup>2</sup>), with those having values of 2.16 L/m<sup>2</sup> or lower as group 1 and those with higher values as group 2. Abdominal visual analogue scale (VAS) scores at 30 min postoperative were significantly higher in group 2 than in group 1 (p < 0.001). Shoulder pain VAS scores at 24 h and 36 h postoperative were also significantly higher in group 2 than in group 1 (p = 0.021 and p = 0.002, respectively). The total amount of analgesic infusion and additional analgesic requirements were lower in group 1 than in group 2 (p = 0.049 and p = 0.001, respectively). ACI did not differ with patient demographic characteristics or history of abdominal/laparoscopic surgery, parity, abdominal drainage, and pneumoperitoneum time.</p><p><strong>Conclusion: </strong>ACI, a surrogate index of abdominal expansion capacity, may be used to guide individualization of insufflation pressures by identifying female patients under risk of higher postoperative pain.</p>","PeriodicalId":23361,"journal":{"name":"Turkish Journal of Medical Sciences","volume":"55 1","pages":"277-286"},"PeriodicalIF":1.0000,"publicationDate":"2025-01-15","publicationTypes":"Journal Article","fieldsOfStudy":null,"isOpenAccess":false,"openAccessPdf":"https://www.ncbi.nlm.nih.gov/pmc/articles/PMC11931810/pdf/","citationCount":"0","resultStr":null,"platform":"Semanticscholar","paperid":null,"PeriodicalName":"Turkish Journal of Medical Sciences","FirstCategoryId":"3","ListUrlMain":"https://doi.org/10.55730/1300-0144.5969","RegionNum":4,"RegionCategory":"医学","ArticlePicture":[],"TitleCN":null,"AbstractTextCN":null,"PMCID":null,"EPubDate":"2025/1/1 0:00:00","PubModel":"eCollection","JCR":"Q2","JCRName":"MEDICINE, GENERAL & INTERNAL","Score":null,"Total":0}
引用次数: 0

Abstract

Background/aim: In gynecology, laparoscopic surgery has the advantages of reduced scarring, less postoperative pain, faster recovery, and lower risk of complications. Despite these advantages, shoulder pain still remains a major concern, affecting up to 90% of patients undergoing gynecologic laparoscopic surgery. Use of the abdominal compliance index (ACI) may offer the benefit of increased space for safer surgery and may prevent the drawback of high insufflation pressures. The aim of this study was to investigate the relationship between shoulder pain, abdominal pain, and analgesic use with the recently advised ACI, a surrogate index of abdominal expansion in patients undergoing gynecologic laparoscopic surgery.

Materials and methods: Thirty-one patients with American Society of Anesthesiologists scores of 1-3 who underwent elective gynecologic laparoscopic surgery were included. The insufflation pressure was set to 12 mmHg. ACI, defined as insufflated intraabdominal volume (L) per body surface area (m2), was used to estimate the relationship between abdominal compliance and postoperative pain.

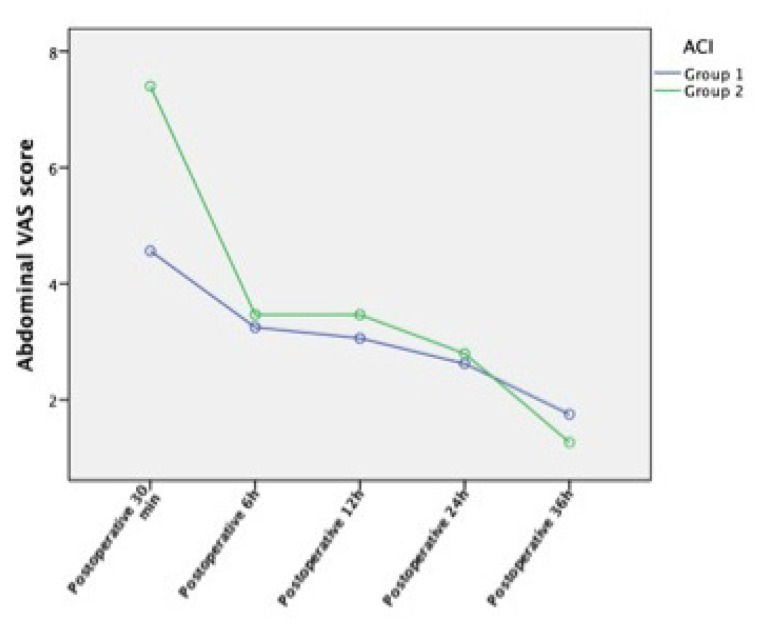
Results: The 31 patients were separated into two groups based on median ACI level (range 1.37-2.73 L/m2), with those having values of 2.16 L/m2 or lower as group 1 and those with higher values as group 2. Abdominal visual analogue scale (VAS) scores at 30 min postoperative were significantly higher in group 2 than in group 1 (p < 0.001). Shoulder pain VAS scores at 24 h and 36 h postoperative were also significantly higher in group 2 than in group 1 (p = 0.021 and p = 0.002, respectively). The total amount of analgesic infusion and additional analgesic requirements were lower in group 1 than in group 2 (p = 0.049 and p = 0.001, respectively). ACI did not differ with patient demographic characteristics or history of abdominal/laparoscopic surgery, parity, abdominal drainage, and pneumoperitoneum time.

Conclusion: ACI, a surrogate index of abdominal expansion capacity, may be used to guide individualization of insufflation pressures by identifying female patients under risk of higher postoperative pain.

Abstract Image

Abstract Image

腹腔镜妇科手术后腹部顺应性指数与术后疼痛:一项初步观察队列研究。
背景/目的:在妇科,腹腔镜手术具有疤痕少、术后疼痛少、恢复快、并发症风险低的优点。尽管有这些优点,肩痛仍然是一个主要的问题,影响了高达90%的接受妇科腹腔镜手术的患者。使用腹部顺应性指数(ACI)可以为更安全的手术提供更多的空间,并可以防止高充气压力的缺点。本研究的目的是调查肩痛、腹痛和止痛药使用与最近建议的ACI之间的关系,ACI是妇科腹腔镜手术患者腹部扩张的替代指标。材料与方法:入选31例择期妇科腹腔镜手术患者,美国麻醉医师学会评分1-3分。注入压力设为12mmhg。ACI定义为每体表面积(m2)的腹内充气容积(L),用于估计腹部顺应性与术后疼痛之间的关系。结果:31例患者按ACI中位数(1.37 ~ 2.73 L/m2)分为2组,以2.16 L/m2及以下为1组,以较高为2组。术后30 min腹腔视觉模拟评分(VAS) 2组显著高于1组(p < 0.001)。术后24 h和36 h,组2肩关节疼痛VAS评分也显著高于组1 (p = 0.021和p = 0.002)。组1的镇痛总输注量和额外镇痛需求均低于组2 (p = 0.049和p = 0.001)。ACI与患者人口统计学特征、腹部/腹腔镜手术史、胎次、腹腔引流和气腹时间没有差异。结论:ACI作为衡量腹部扩张能力的替代指标,可用于鉴别术后疼痛风险较高的女性患者,指导充气压力的个体化。
本文章由计算机程序翻译,如有差异,请以英文原文为准。
求助全文
约1分钟内获得全文 求助全文
来源期刊
Turkish Journal of Medical Sciences
Turkish Journal of Medical Sciences 医学-医学:内科
CiteScore
4.60
自引率
4.30%
发文量
143
审稿时长
3-8 weeks
期刊介绍: Turkish Journal of Medical sciences is a peer-reviewed comprehensive resource that provides critical up-to-date information on the broad spectrum of general medical sciences. The Journal intended to publish original medical scientific papers regarding the priority based on the prominence, significance, and timeliness of the findings. However since the audience of the Journal is not limited to any subspeciality in a wide variety of medical disciplines, the papers focusing on the technical  details of a given medical  subspeciality may not be evaluated for publication.
×
引用
GB/T 7714-2015
复制
MLA
复制
APA
复制
导出至
BibTeX EndNote RefMan NoteFirst NoteExpress
×
提示
您的信息不完整,为了账户安全,请先补充。
现在去补充
×
提示
您因"违规操作"
具体请查看互助需知
我知道了
×
提示
确定
请完成安全验证×
copy
已复制链接
快去分享给好友吧!
我知道了
右上角分享
点击右上角分享
0
联系我们:info@booksci.cn Book学术提供免费学术资源搜索服务,方便国内外学者检索中英文文献。致力于提供最便捷和优质的服务体验。 Copyright © 2023 布克学术 All rights reserved.
京ICP备2023020795号-1
ghs 京公网安备 11010802042870号
Book学术文献互助
Book学术文献互助群
群 号:604180095
Book学术官方微信