Impact of Inoculations with Indigenous Bradyrhizobium diazoefficiens Isolates on Productivity and Competition with Indigenous Bradyrhizobia in Adzuki Bean (Vigna angularis).

IF 2 4区 环境科学与生态学 Q3 BIOTECHNOLOGY & APPLIED MICROBIOLOGY
Sokichi Shiro, Ryu Makihara, Shota Nakao, Masayuki Kadowaki, Yuichi Saeki
{"title":"Impact of Inoculations with Indigenous Bradyrhizobium diazoefficiens Isolates on Productivity and Competition with Indigenous Bradyrhizobia in Adzuki Bean (Vigna angularis).","authors":"Sokichi Shiro, Ryu Makihara, Shota Nakao, Masayuki Kadowaki, Yuichi Saeki","doi":"10.1264/jsme2.ME24069","DOIUrl":null,"url":null,"abstract":"<p><p>We herein exami-ned the inoculation effects of indigenous Bradyrhizobium diazoefficiens isolates on the growth and yield of adzuki beans and their competition with other bradyrhizobia using pot and field experiments. In the pot experiment, shoot nitrogen content was significantly higher following inoculations with AMP1 and Bd (a mixture of AN9 and AN20) than with the control. Furthermore, a correlation was observed between shoot nitrogen content and shoot dry weight. In the field experiment, the inoculating isolates did not significantly affect growth or yield. However, an interaction effect was observed in pod numbers and yield, suggesting that the effects of inoculation varied depending on the cultivar and inoculating isolate. In the correlation ana-lysis, pod number correlated with node number and nodule number. Similarly, yield correlated with shoot length, node number, nodule number, and pod number. Regarding competition between inoculated isolates and other strains, B. elkanii was dominant in pot and field experiments. To enhance the yield of adzuki bean through inoculations, it is necessary to overcome competition from indigenous B. elkanii and increase the occupancy rate of B. diazoefficiens isolates.</p>","PeriodicalId":18482,"journal":{"name":"Microbes and Environments","volume":"40 1","pages":""},"PeriodicalIF":2.0000,"publicationDate":"2025-01-01","publicationTypes":"Journal Article","fieldsOfStudy":null,"isOpenAccess":false,"openAccessPdf":"https://www.ncbi.nlm.nih.gov/pmc/articles/PMC11946408/pdf/","citationCount":"0","resultStr":null,"platform":"Semanticscholar","paperid":null,"PeriodicalName":"Microbes and Environments","FirstCategoryId":"93","ListUrlMain":"https://doi.org/10.1264/jsme2.ME24069","RegionNum":4,"RegionCategory":"环境科学与生态学","ArticlePicture":[],"TitleCN":null,"AbstractTextCN":null,"PMCID":null,"EPubDate":"","PubModel":"","JCR":"Q3","JCRName":"BIOTECHNOLOGY & APPLIED MICROBIOLOGY","Score":null,"Total":0}
引用次数: 0

Abstract

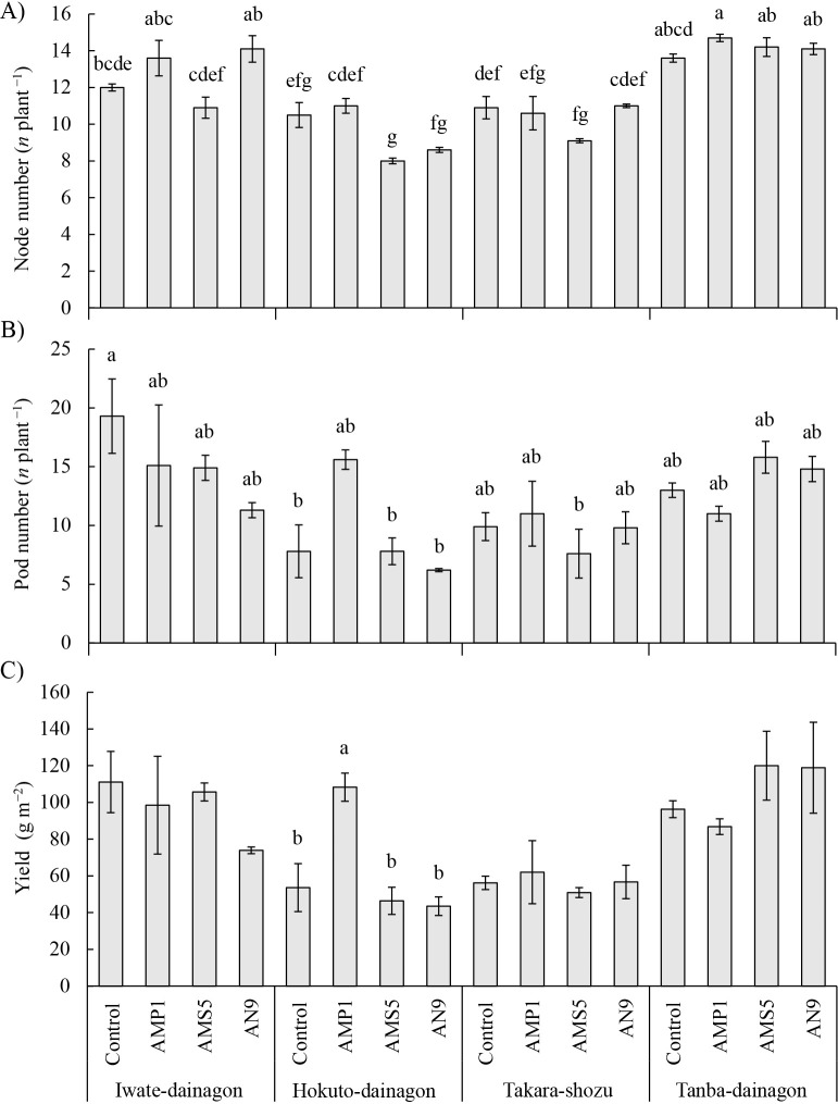
We herein exami-ned the inoculation effects of indigenous Bradyrhizobium diazoefficiens isolates on the growth and yield of adzuki beans and their competition with other bradyrhizobia using pot and field experiments. In the pot experiment, shoot nitrogen content was significantly higher following inoculations with AMP1 and Bd (a mixture of AN9 and AN20) than with the control. Furthermore, a correlation was observed between shoot nitrogen content and shoot dry weight. In the field experiment, the inoculating isolates did not significantly affect growth or yield. However, an interaction effect was observed in pod numbers and yield, suggesting that the effects of inoculation varied depending on the cultivar and inoculating isolate. In the correlation ana-lysis, pod number correlated with node number and nodule number. Similarly, yield correlated with shoot length, node number, nodule number, and pod number. Regarding competition between inoculated isolates and other strains, B. elkanii was dominant in pot and field experiments. To enhance the yield of adzuki bean through inoculations, it is necessary to overcome competition from indigenous B. elkanii and increase the occupancy rate of B. diazoefficiens isolates.

Abstract Image

Abstract Image

Abstract Image

接种本地重氮缓生根瘤菌对小豆产量及与本地缓生根瘤菌竞争的影响
通过盆栽和田间试验,研究了本土重氮缓生根瘤菌接种对小豆生长和产量的影响及其与其他缓生根瘤菌的竞争情况。盆栽试验中,接种AMP1和Bd (AN9和AN20的混合物)后,地上部氮含量显著高于对照。地上部氮含量与地上部干重呈显著正相关。在田间试验中,接种菌株对其生长和产量没有显著影响。然而,在荚果数和产量上观察到互作效应,表明接种效果因品种和接种分离物而异。在相关分析中,荚果数与节数、节数相关。同样,产量与茎长、节数、节数和荚果数相关。在盆栽和田间试验中,接种菌株与其他菌株的竞争表现为优势。为了通过接种提高小豆的产量,必须克服本地黑僵菌的竞争,提高重氮高效白僵菌的占有率。
本文章由计算机程序翻译,如有差异,请以英文原文为准。
求助全文
约1分钟内获得全文 求助全文
来源期刊
Microbes and Environments
Microbes and Environments 生物-生物工程与应用微生物
CiteScore
4.10
自引率
13.60%
发文量
66
审稿时长
3 months
期刊介绍: Microbial ecology in natural and engineered environments; Microbial degradation of xenobiotic compounds; Microbial processes in biogeochemical cycles; Microbial interactions and signaling with animals and plants; Interactions among microorganisms; Microorganisms related to public health; Phylogenetic and functional diversity of microbial communities; Genomics, metagenomics, and bioinformatics for microbiology; Application of microorganisms to agriculture, fishery, and industry; Molecular biology and biochemistry related to environmental microbiology; Methodology in general and environmental microbiology; Interdisciplinary research areas for microbial ecology (e.g., Astrobiology, and Origins of Life); Taxonomic description of novel microorganisms with ecological perspective; Physiology and metabolisms of microorganisms; Evolution of genes and microorganisms; Genome report of microorganisms with ecological perspective.
×
引用
GB/T 7714-2015
复制
MLA
复制
APA
复制
导出至
BibTeX EndNote RefMan NoteFirst NoteExpress
×
提示
您的信息不完整,为了账户安全,请先补充。
现在去补充
×
提示
您因"违规操作"
具体请查看互助需知
我知道了
×
提示
确定
请完成安全验证×
copy
已复制链接
快去分享给好友吧!
我知道了
右上角分享
点击右上角分享
0
联系我们:info@booksci.cn Book学术提供免费学术资源搜索服务,方便国内外学者检索中英文文献。致力于提供最便捷和优质的服务体验。 Copyright © 2023 布克学术 All rights reserved.
京ICP备2023020795号-1
ghs 京公网安备 11010802042870号
Book学术文献互助
Book学术文献互助群
群 号:604180095
Book学术官方微信