"As long as you learn to adapt"-a longitudinal mixed-methods study exploring the first decade with rheumatoid arthritis.

IF 2.5 Q3 RHEUMATOLOGY
Maria Bergström, Åsa Larsson Ranada, Annette Sverker, Ingrid Thyberg, Mathilda Björk
{"title":"\"As long as you learn to adapt\"-a longitudinal mixed-methods study exploring the first decade with rheumatoid arthritis.","authors":"Maria Bergström, Åsa Larsson Ranada, Annette Sverker, Ingrid Thyberg, Mathilda Björk","doi":"10.1186/s41927-025-00485-z","DOIUrl":null,"url":null,"abstract":"<p><strong>Background: </strong>Early diagnosis and modern treatment have changed everyday life of patients with rheumatoid arthritis (RA). However, symptoms are still pronounced several years after diagnosis. The aim of this study is therefore to synthesise the perception of everyday life in men and women with contemporary treated RA over the course of the first decade after diagnosis. This will be achieved by comparing subjective experiences with quantitative measures of disability and disease activity.</p><p><strong>Methods: </strong>A longitudinal convergent mixed method was used. Thirty-one patients, clinically diagnosed with RA and ≥ 18 years of age, were recruited from the TIRA-2 project in southeast Sweden. Patients were followed over a decade regarding disease activity (DAS28), grip force (Grippit), pain intensity (VAS mm) and activity limitations (HAQ). Participation in valued life activities (VLA-swe) was assessed 10 years after diagnosis. The patients took part in individual interviews three- and ten-years post-diagnosis. Quantitative data were analysed through descriptive analyses and linear mixed models. The interviews were analysed using directed content analyses. The results from the quantitative and qualitative analyses were integrated in accordance with the chosen design.</p><p><strong>Results: </strong>Discrepancies between the quantitative and qualitative results were revealed, along with differences between sexes. Women expressed more problems related to disease activity and grip force, which did not coincide with the quantitative results. In fact, women experienced difficulties in activities despite decreased disease activity. Furthermore, their pain score changed quantitatively over time, which was not expressed in the interviews. These disconfirming results were not seen in men. Both women and men displayed confirming results regarding activity limitation. Some issues, such as with basic needs, were more visible quantitatively than through interviews.</p><p><strong>Conclusions: </strong>Men and women with contemporary treated RA still experience disability a decade after diagnosis. Additionally, patients' experiences and quantitatively measured outcomes do not always coincide. The qualitative data adds information and thereby complements the quantitative data on disability. Our results confirm the importance of person-centred rehabilitation in optimising patients' possibilities for participation in everyday life.</p><p><strong>Clinical trial number: </strong>Not applicable.</p>","PeriodicalId":9150,"journal":{"name":"BMC Rheumatology","volume":"9 1","pages":"35"},"PeriodicalIF":2.5000,"publicationDate":"2025-03-24","publicationTypes":"Journal Article","fieldsOfStudy":null,"isOpenAccess":false,"openAccessPdf":"https://www.ncbi.nlm.nih.gov/pmc/articles/PMC11931753/pdf/","citationCount":"0","resultStr":null,"platform":"Semanticscholar","paperid":null,"PeriodicalName":"BMC Rheumatology","FirstCategoryId":"1085","ListUrlMain":"https://doi.org/10.1186/s41927-025-00485-z","RegionNum":0,"RegionCategory":null,"ArticlePicture":[],"TitleCN":null,"AbstractTextCN":null,"PMCID":null,"EPubDate":"","PubModel":"","JCR":"Q3","JCRName":"RHEUMATOLOGY","Score":null,"Total":0}
引用次数: 0

Abstract

Background: Early diagnosis and modern treatment have changed everyday life of patients with rheumatoid arthritis (RA). However, symptoms are still pronounced several years after diagnosis. The aim of this study is therefore to synthesise the perception of everyday life in men and women with contemporary treated RA over the course of the first decade after diagnosis. This will be achieved by comparing subjective experiences with quantitative measures of disability and disease activity.

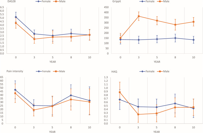
Methods: A longitudinal convergent mixed method was used. Thirty-one patients, clinically diagnosed with RA and ≥ 18 years of age, were recruited from the TIRA-2 project in southeast Sweden. Patients were followed over a decade regarding disease activity (DAS28), grip force (Grippit), pain intensity (VAS mm) and activity limitations (HAQ). Participation in valued life activities (VLA-swe) was assessed 10 years after diagnosis. The patients took part in individual interviews three- and ten-years post-diagnosis. Quantitative data were analysed through descriptive analyses and linear mixed models. The interviews were analysed using directed content analyses. The results from the quantitative and qualitative analyses were integrated in accordance with the chosen design.

Results: Discrepancies between the quantitative and qualitative results were revealed, along with differences between sexes. Women expressed more problems related to disease activity and grip force, which did not coincide with the quantitative results. In fact, women experienced difficulties in activities despite decreased disease activity. Furthermore, their pain score changed quantitatively over time, which was not expressed in the interviews. These disconfirming results were not seen in men. Both women and men displayed confirming results regarding activity limitation. Some issues, such as with basic needs, were more visible quantitatively than through interviews.

Conclusions: Men and women with contemporary treated RA still experience disability a decade after diagnosis. Additionally, patients' experiences and quantitatively measured outcomes do not always coincide. The qualitative data adds information and thereby complements the quantitative data on disability. Our results confirm the importance of person-centred rehabilitation in optimising patients' possibilities for participation in everyday life.

Clinical trial number: Not applicable.

Abstract Image

Abstract Image

Abstract Image

“只要你学会适应”——一项纵向混合方法研究,探索类风湿关节炎的第一个十年。
背景:类风湿关节炎(RA)的早期诊断和现代治疗已经改变了患者的日常生活。然而,症状在诊断后几年仍然明显。因此,本研究的目的是在诊断后的第一个十年中,综合当代治疗类风湿性关节炎的男性和女性的日常生活感知。这将通过比较主观经验与残疾和疾病活动的定量测量来实现。方法:采用纵向收敛混合法。31名临床诊断为RA且年龄≥18岁的患者从瑞典东南部的TIRA-2项目中招募。对患者的疾病活动度(DAS28)、握力(Grippit)、疼痛强度(VAS mm)和活动限制(HAQ)进行了10多年的随访。在诊断后10年评估有价值生命活动的参与(vlai -swe)。这些患者在确诊后3年和10年分别接受了单独访谈。通过描述性分析和线性混合模型对定量数据进行分析。使用定向内容分析对访谈进行分析。定量和定性分析的结果按照所选的设计进行整合。结果:定量结果与定性结果存在差异,性别差异也存在。女性表达了更多与疾病活动和握力有关的问题,这与定量结果不一致。事实上,尽管疾病活动减少了,妇女在活动中还是遇到了困难。此外,他们的疼痛评分随着时间的推移而定量变化,这在访谈中没有表现出来。这些不确定的结果在男性中没有出现。女性和男性都显示出关于活动限制的确认结果。一些问题,如基本需求,在数量上比通过访谈更明显。结论:当代治疗类风湿性关节炎的男性和女性在诊断后十年仍会出现残疾。此外,患者的经历和定量测量的结果并不总是一致的。定性数据增加了信息,从而补充了关于残疾的定量数据。我们的研究结果证实了以人为本的康复在优化患者参与日常生活的可能性方面的重要性。临床试验号:不适用。
本文章由计算机程序翻译,如有差异,请以英文原文为准。
求助全文
约1分钟内获得全文 求助全文
来源期刊
BMC Rheumatology
BMC Rheumatology Medicine-Rheumatology
CiteScore
3.80
自引率
0.00%
发文量
73
审稿时长
15 weeks
×
引用
GB/T 7714-2015
复制
MLA
复制
APA
复制
导出至
BibTeX EndNote RefMan NoteFirst NoteExpress
×
提示
您的信息不完整,为了账户安全,请先补充。
现在去补充
×
提示
您因"违规操作"
具体请查看互助需知
我知道了
×
提示
确定
请完成安全验证×
copy
已复制链接
快去分享给好友吧!
我知道了
右上角分享
点击右上角分享
0
联系我们:info@booksci.cn Book学术提供免费学术资源搜索服务,方便国内外学者检索中英文文献。致力于提供最便捷和优质的服务体验。 Copyright © 2023 布克学术 All rights reserved.
京ICP备2023020795号-1
ghs 京公网安备 11010802042870号
Book学术文献互助
Book学术文献互助群
群 号:604180095
Book学术官方微信