Effects of adenosine triphosphate, thiamine pyrophosphate, melatonin, and liv-52 on subacute pyrazinamide proliferation hepatotoxicity in rats.

IF 2.7 3区 医学 Q2 PHARMACOLOGY & PHARMACY
Sedat Ciftel, Serpil Ciftel, Durdu Altuner, Gulbaniz Huseynova, Nurinisa Yucel, Ali Sefa Mendil, Cengiz Sarigul, Halis Suleyman, Seval Bulut
{"title":"Effects of adenosine triphosphate, thiamine pyrophosphate, melatonin, and liv-52 on subacute pyrazinamide proliferation hepatotoxicity in rats.","authors":"Sedat Ciftel, Serpil Ciftel, Durdu Altuner, Gulbaniz Huseynova, Nurinisa Yucel, Ali Sefa Mendil, Cengiz Sarigul, Halis Suleyman, Seval Bulut","doi":"10.1186/s40360-025-00901-7","DOIUrl":null,"url":null,"abstract":"<p><strong>Background: </strong>Hepatotoxicity of pyrazinamide, an antituberculosis drug, limits its therapeutic use and oxidative stress has been implicated in this toxicity. This study investigated the protective effects of adenosine triphosphate (ATP), thiamine pyrophosphate (TPP), melatonin, and Liv-52, which have previously been shown antioxidant activities, on pyrazinamide-induced hepatotoxicity.</p><p><strong>Methods: </strong>36 albino Wistar male rats were divided into randomized six groups; healthy (HG), pyrazinamide (PZG), ATP + pyrazinamide (APZG), TPP + pyrazinamide (TPZG), melatonin + pyrazinamide (MPZG) and Liv-52 + pyrazinamide (LPZG) groups. ATP 4 mg/kg and TPP 25 mg/kg were administered intraperitoneally (IP). Melatonin 10 mg/kg and Liv-52 20 mg/kg were given orally. One hour after administration of ATP, TPP, melatonin, and Liv-52, 250 mg/kg pyrazinamide was applied orally to all rats except HG group. The treatment was repeated (1 × 1) for 4 weeks. Then, blood samples were taken for determination of alanine aminotransferase (ALT) and aspartate aminotransferase (AST) activities. Immediately after, the rats were euthanized with thiopental sodium (50 mg/kg, IP), and the livers were removed. The tissues were analyzed for malondialdehyde (MDA), total glutathione (tGSH), superoxide dismutase (SOD), and catalase (CAT) also hydropic degeneration, necrosis, and apoptosis (caspase 3) were examined.One-Way ANOVA was used in biochemical analyses and Tukey test was used as post-hoc. For histopathological and immunohistochemical analysis, the Kruskal-Wallis test was used and Dunn's test as a post-hoc.</p><p><strong>Results: </strong>Pyrazinamide increased MDA land decreased tGSH, SOD, and CAT levels in liver tissues (p < 0.001). It also increased serum ALT and AST activities and caused severe hydropic degeneration and necrosis in liver tissue (p < 0.001). ATP, TPP, melatonin, and Liv-52 significantly prevented the biochemical and histopathological changes induced by pyrazinamide (p < 0.05). On the other hand, Liv-52 was more successful than other potential protectors in protecting liver tissue from pyrazinamide damage (p < 0.05).</p><p><strong>Conclusions: </strong>ATP, TPP, melatonin, and Liv-52 can be used to protect liver tissue from pyrazinamide-induced hepatotoxicity in rats.</p>","PeriodicalId":9023,"journal":{"name":"BMC Pharmacology & Toxicology","volume":"26 1","pages":"67"},"PeriodicalIF":2.7000,"publicationDate":"2025-03-24","publicationTypes":"Journal Article","fieldsOfStudy":null,"isOpenAccess":false,"openAccessPdf":"https://www.ncbi.nlm.nih.gov/pmc/articles/PMC11931754/pdf/","citationCount":"0","resultStr":null,"platform":"Semanticscholar","paperid":null,"PeriodicalName":"BMC Pharmacology & Toxicology","FirstCategoryId":"3","ListUrlMain":"https://doi.org/10.1186/s40360-025-00901-7","RegionNum":3,"RegionCategory":"医学","ArticlePicture":[],"TitleCN":null,"AbstractTextCN":null,"PMCID":null,"EPubDate":"","PubModel":"","JCR":"Q2","JCRName":"PHARMACOLOGY & PHARMACY","Score":null,"Total":0}
引用次数: 0

Abstract

Background: Hepatotoxicity of pyrazinamide, an antituberculosis drug, limits its therapeutic use and oxidative stress has been implicated in this toxicity. This study investigated the protective effects of adenosine triphosphate (ATP), thiamine pyrophosphate (TPP), melatonin, and Liv-52, which have previously been shown antioxidant activities, on pyrazinamide-induced hepatotoxicity.

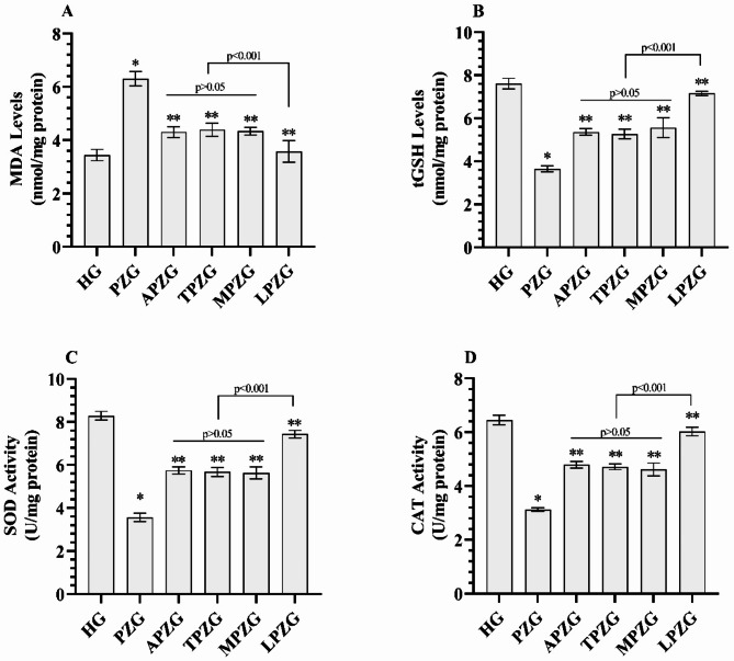
Methods: 36 albino Wistar male rats were divided into randomized six groups; healthy (HG), pyrazinamide (PZG), ATP + pyrazinamide (APZG), TPP + pyrazinamide (TPZG), melatonin + pyrazinamide (MPZG) and Liv-52 + pyrazinamide (LPZG) groups. ATP 4 mg/kg and TPP 25 mg/kg were administered intraperitoneally (IP). Melatonin 10 mg/kg and Liv-52 20 mg/kg were given orally. One hour after administration of ATP, TPP, melatonin, and Liv-52, 250 mg/kg pyrazinamide was applied orally to all rats except HG group. The treatment was repeated (1 × 1) for 4 weeks. Then, blood samples were taken for determination of alanine aminotransferase (ALT) and aspartate aminotransferase (AST) activities. Immediately after, the rats were euthanized with thiopental sodium (50 mg/kg, IP), and the livers were removed. The tissues were analyzed for malondialdehyde (MDA), total glutathione (tGSH), superoxide dismutase (SOD), and catalase (CAT) also hydropic degeneration, necrosis, and apoptosis (caspase 3) were examined.One-Way ANOVA was used in biochemical analyses and Tukey test was used as post-hoc. For histopathological and immunohistochemical analysis, the Kruskal-Wallis test was used and Dunn's test as a post-hoc.

Results: Pyrazinamide increased MDA land decreased tGSH, SOD, and CAT levels in liver tissues (p < 0.001). It also increased serum ALT and AST activities and caused severe hydropic degeneration and necrosis in liver tissue (p < 0.001). ATP, TPP, melatonin, and Liv-52 significantly prevented the biochemical and histopathological changes induced by pyrazinamide (p < 0.05). On the other hand, Liv-52 was more successful than other potential protectors in protecting liver tissue from pyrazinamide damage (p < 0.05).

Conclusions: ATP, TPP, melatonin, and Liv-52 can be used to protect liver tissue from pyrazinamide-induced hepatotoxicity in rats.

Abstract Image

Abstract Image

Abstract Image

三磷酸腺苷、焦磷酸硫胺素、褪黑素和liv-52对大鼠亚急性吡嗪酰胺增殖肝毒性的影响。
背景:吡嗪酰胺是一种抗结核药物,其肝毒性限制了其治疗用途,氧化应激与这种毒性有关。本研究研究了三磷酸腺苷(ATP)、焦磷酸硫胺素(TPP)、褪黑素和Liv-52对吡嗪酰胺引起的肝毒性的保护作用,这些物质之前已被证明具有抗氧化活性。方法:36只雄性白化Wistar大鼠随机分为6组;健康组(HG)、吡嗪酰胺(PZG)、ATP +吡嗪酰胺(APZG)、TPP +吡嗪酰胺(TPZG)、褪黑素+吡嗪酰胺(MPZG)和Liv-52 +吡嗪酰胺(LPZG)。腹腔注射ATP 4 mg/kg和TPP 25 mg/kg。口服褪黑素10 mg/kg, Liv-52 20 mg/kg。给予ATP、TPP、褪黑素、Liv-52 1 h后,除HG组外,其余大鼠口服吡嗪酰胺250 mg/kg。重复治疗4周(1 × 1)。取血测定谷丙转氨酶(ALT)和天冬氨酸转氨酶(AST)活性。随后立即用硫喷妥钠(50 mg/kg, IP)对大鼠实施安乐死,并切除肝脏。检测各组组织丙二醛(MDA)、总谷胱甘肽(tGSH)、超氧化物歧化酶(SOD)和过氧化氢酶(CAT)的含量,并检测水变性、坏死和凋亡(caspase 3)。生化分析采用单因素方差分析,事后分析采用Tukey检验。组织病理学和免疫组织化学分析采用Kruskal-Wallis试验,Dunn试验作为事后分析。结果:吡嗪酰胺增加肝组织MDA,降低tGSH、SOD和CAT水平(p)。结论:ATP、TPP、褪黑素和Liv-52可用于保护大鼠肝组织免受吡嗪酰胺引起的肝毒性。
本文章由计算机程序翻译,如有差异,请以英文原文为准。
求助全文
约1分钟内获得全文 求助全文
来源期刊
BMC Pharmacology & Toxicology
BMC Pharmacology & Toxicology PHARMACOLOGY & PHARMACYTOXICOLOGY&nb-TOXICOLOGY
CiteScore
4.80
自引率
0.00%
发文量
87
审稿时长
12 weeks
期刊介绍: BMC Pharmacology and Toxicology is an open access, peer-reviewed journal that considers articles on all aspects of chemically defined therapeutic and toxic agents. The journal welcomes submissions from all fields of experimental and clinical pharmacology including clinical trials and toxicology.
×
引用
GB/T 7714-2015
复制
MLA
复制
APA
复制
导出至
BibTeX EndNote RefMan NoteFirst NoteExpress
×
提示
您的信息不完整,为了账户安全,请先补充。
现在去补充
×
提示
您因"违规操作"
具体请查看互助需知
我知道了
×
提示
确定
请完成安全验证×
copy
已复制链接
快去分享给好友吧!
我知道了
右上角分享
点击右上角分享
0
联系我们:info@booksci.cn Book学术提供免费学术资源搜索服务,方便国内外学者检索中英文文献。致力于提供最便捷和优质的服务体验。 Copyright © 2023 布克学术 All rights reserved.
京ICP备2023020795号-1
ghs 京公网安备 11010802042870号
Book学术文献互助
Book学术文献互助群
群 号:604180095
Book学术官方微信