Energy Utilization in Premature Neonates Undergoing Screening for Retinopathy of Prematurity.

IF 1.4 Q3 PEDIATRICS
Alena M Pentecost, Danilo S Boskovic, Alexis Antimo, Udochukwu Oyoyo, Christopher C Perry, Jennifer Dunbar, Andrew Hopper, Danilyn M Angeles
{"title":"Energy Utilization in Premature Neonates Undergoing Screening for Retinopathy of Prematurity.","authors":"Alena M Pentecost, Danilo S Boskovic, Alexis Antimo, Udochukwu Oyoyo, Christopher C Perry, Jennifer Dunbar, Andrew Hopper, Danilyn M Angeles","doi":"10.3390/pediatric17020029","DOIUrl":null,"url":null,"abstract":"<p><strong>Background/objectives: </strong>Premature neonates are at risk for retinopathy of prematurity (ROP) and routinely undergo screening exams that involve substantial physical manipulation, often causing significant signs of pain, despite pain-relieving interventions. It remains unclear whether these exams affect energy utilization, cellular hypoxia, and clinically significant events, and whether receiving supplemental oxygen affects these relationships. This work examines the effects of ROP screening on (1) urinary uric acid-to-creatinine concentration ratios ([UA]/[Cr]), a known marker of ATP degradation, hypoxia, and oxidative stress; and (2) clinically significant events (apnea, bradycardia, gastric residuals, and oxygen desaturations) in premature neonates on room air or oxygen support.</p><p><strong>Methods: </strong>This prospective pilot study included premature neonates requiring ROP screening examinations at Loma Linda University's NICU. Urinary [UA]/[Cr], measured by high-performance liquid chromatography, and clinical events, documented by prospective medical chart review, were analyzed pre- and post-exam in subjects on room air (<i>n</i> = 18) or on oxygen support (<i>n</i> = 20). Statistical analyses included a generalized linear mixed model for urinary [UA]/[Cr] and Wilcoxon signed rank tests for clinical events.</p><p><strong>Results: </strong>A significant time effect (<i>p</i> = 0.010) was observed for urinary [UA]/[Cr], with higher levels at 0-12 (<i>p</i> = 0.023) and 12-24 (<i>p</i> = 0.023) hours post-exam. Subjects receiving oxygen support had more total (<i>p</i> = 0.028) and more severe (<i>p</i> = 0.026) oxygen desaturations.</p><p><strong>Conclusions: </strong>ROP examinations may increase energy utilization in premature neonates, with those receiving oxygen support being particularly susceptible to oxygen desaturations post-exam. Further research is needed to clarify the full impact of the procedure and to identify strategies to minimize stress associated with these screening examinations.</p>","PeriodicalId":45251,"journal":{"name":"Pediatric Reports","volume":"17 2","pages":""},"PeriodicalIF":1.4000,"publicationDate":"2025-03-03","publicationTypes":"Journal Article","fieldsOfStudy":null,"isOpenAccess":false,"openAccessPdf":"https://www.ncbi.nlm.nih.gov/pmc/articles/PMC11932259/pdf/","citationCount":"0","resultStr":null,"platform":"Semanticscholar","paperid":null,"PeriodicalName":"Pediatric Reports","FirstCategoryId":"1085","ListUrlMain":"https://doi.org/10.3390/pediatric17020029","RegionNum":0,"RegionCategory":null,"ArticlePicture":[],"TitleCN":null,"AbstractTextCN":null,"PMCID":null,"EPubDate":"","PubModel":"","JCR":"Q3","JCRName":"PEDIATRICS","Score":null,"Total":0}
引用次数: 0

Abstract

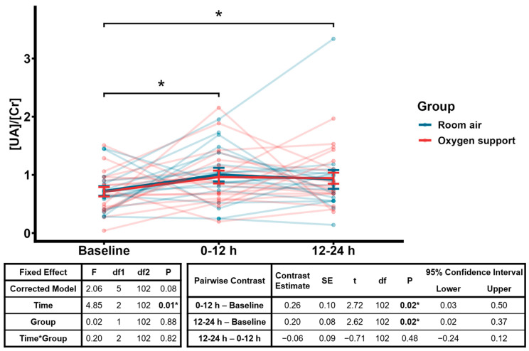
Background/objectives: Premature neonates are at risk for retinopathy of prematurity (ROP) and routinely undergo screening exams that involve substantial physical manipulation, often causing significant signs of pain, despite pain-relieving interventions. It remains unclear whether these exams affect energy utilization, cellular hypoxia, and clinically significant events, and whether receiving supplemental oxygen affects these relationships. This work examines the effects of ROP screening on (1) urinary uric acid-to-creatinine concentration ratios ([UA]/[Cr]), a known marker of ATP degradation, hypoxia, and oxidative stress; and (2) clinically significant events (apnea, bradycardia, gastric residuals, and oxygen desaturations) in premature neonates on room air or oxygen support.

Methods: This prospective pilot study included premature neonates requiring ROP screening examinations at Loma Linda University's NICU. Urinary [UA]/[Cr], measured by high-performance liquid chromatography, and clinical events, documented by prospective medical chart review, were analyzed pre- and post-exam in subjects on room air (n = 18) or on oxygen support (n = 20). Statistical analyses included a generalized linear mixed model for urinary [UA]/[Cr] and Wilcoxon signed rank tests for clinical events.

Results: A significant time effect (p = 0.010) was observed for urinary [UA]/[Cr], with higher levels at 0-12 (p = 0.023) and 12-24 (p = 0.023) hours post-exam. Subjects receiving oxygen support had more total (p = 0.028) and more severe (p = 0.026) oxygen desaturations.

Conclusions: ROP examinations may increase energy utilization in premature neonates, with those receiving oxygen support being particularly susceptible to oxygen desaturations post-exam. Further research is needed to clarify the full impact of the procedure and to identify strategies to minimize stress associated with these screening examinations.

Abstract Image

Abstract Image

Abstract Image

接受早产儿视网膜病变筛查的早产儿能量利用。
背景/目的:早产儿有发生早产儿视网膜病变(ROP)的风险,并且常规接受筛查检查,包括大量的物理操作,尽管采取了缓解疼痛的干预措施,但通常会引起明显的疼痛迹象。目前尚不清楚这些检查是否会影响能量利用、细胞缺氧和临床重大事件,以及接受补充氧气是否会影响这些关系。本研究考察了ROP筛选对以下方面的影响:(1)尿尿酸-肌酐浓度比([UA]/[Cr]),这是ATP降解、缺氧和氧化应激的已知标志;(2)使用室内空气或氧气支持的早产儿出现临床显著事件(呼吸暂停、心动过缓、胃残留和氧饱和度过低)。方法:这项前瞻性试点研究纳入了洛马琳达大学新生儿重症监护室需要ROP筛查检查的早产儿。采用高效液相色谱法测量尿液[UA]/[Cr],并通过前瞻性医学图表回顾记录临床事件,对使用室内空气(n = 18)或使用氧气支持(n = 20)的受试者在考试前和考试后进行分析。统计分析包括尿[UA]/[Cr]的广义线性混合模型和临床事件的Wilcoxon签名秩检验。结果:尿[UA]/[Cr]有显著的时间效应(p = 0.010),在检查后0-12小时(p = 0.023)和12-24小时(p = 0.023)较高。接受氧支持的患者总氧饱和度更高(p = 0.028),氧饱和度更严重(p = 0.026)。结论:ROP检查可能会增加早产儿的能量利用,接受氧支持的早产儿在检查后特别容易发生氧饱和度降低。需要进一步的研究来阐明该程序的全部影响,并确定减少与这些筛查检查相关的压力的策略。
本文章由计算机程序翻译,如有差异,请以英文原文为准。
求助全文
约1分钟内获得全文 求助全文
来源期刊
Pediatric Reports
Pediatric Reports PEDIATRICS-
CiteScore
2.10
自引率
0.00%
发文量
55
审稿时长
11 weeks
×
引用
GB/T 7714-2015
复制
MLA
复制
APA
复制
导出至
BibTeX EndNote RefMan NoteFirst NoteExpress
×
提示
您的信息不完整,为了账户安全,请先补充。
现在去补充
×
提示
您因"违规操作"
具体请查看互助需知
我知道了
×
提示
确定
请完成安全验证×
copy
已复制链接
快去分享给好友吧!
我知道了
右上角分享
点击右上角分享
0
联系我们:info@booksci.cn Book学术提供免费学术资源搜索服务,方便国内外学者检索中英文文献。致力于提供最便捷和优质的服务体验。 Copyright © 2023 布克学术 All rights reserved.
京ICP备2023020795号-1
ghs 京公网安备 11010802042870号
Book学术文献互助
Book学术文献互助群
群 号:604180095
Book学术官方微信