The Influence of Carotid and Vertebral Doppler Ultrasonography and Brain MRI Abnormalities on Hearing Levels, Tinnitus Intensities and Frequencies.

IF 1.8 Q1 AUDIOLOGY & SPEECH-LANGUAGE PATHOLOGY
András Molnár, Viktória Molnár, Panayiota Mavrogeni, Stefani Maihoub
{"title":"The Influence of Carotid and Vertebral Doppler Ultrasonography and Brain MRI Abnormalities on Hearing Levels, Tinnitus Intensities and Frequencies.","authors":"András Molnár, Viktória Molnár, Panayiota Mavrogeni, Stefani Maihoub","doi":"10.3390/audiolres15020029","DOIUrl":null,"url":null,"abstract":"<p><p><b>Objectives</b>: This study aimed to analyse the potential influence of abnormalities detected through carotid-vertebral ultrasonography and brain MRI on pure-tone averages (PTAs) and the frequency and intensity of tinnitus. <b>Methods</b>: 423 participants with subjective tinnitus were enrolled in this investigation. All patients underwent carotid- vertebral ultrasonography, brain MRI, and pure-tone audiometry, including tinnitus matching. <b>Results</b>: The median values for tinnitus onset indicated chronic tinnitus in most cases. Regarding tinnitus location, left-sided symptoms (32%) and bilateral symptoms (44%) were the most prevalent. In analysing the effects of abnormalities detected by carotid-vertebral ultrasonography on PTAs, a statistically significant difference was found between the groups (<i>p</i> = 0.0037). Specifically, individuals with intimal hyperplasia had significantly higher PTAs (<i>p</i> = 0.02), as did those with carotid artery plaques (<i>p</i> = 0.005). However, no significant differences in PTAs were noted in relation to carotid artery stenosis (<i>p</i> = 0.07). Similar trends emerged regarding tinnitus intensity (<i>p</i> = 0.013), with significantly higher values observed in the presence of any carotid-vertebral ultrasonography abnormalities. In contrast, tinnitus frequencies were not significantly affected (<i>p</i> = 0.401). Regarding brain MRI findings, Fazekas scores of 2 (<i>p</i> = 0.02) and 3 (<i>p</i> = 0.0052) significantly influenced PTAs. For tinnitus intensity, Fazekas scores of 2 (<i>p</i> = 0.0027) and 3 (<i>p</i> = 0.0005), and the presence of acoustic neuromas <i>(p</i> = 0.019), significantly impacted the intensity values. However, tinnitus frequencies were not significantly (<i>p</i> = 0.36) influenced by brain MRI abnormalities. <b>Conclusions</b>: The findings of this study show that carotid-vertebral ultrasonography and brain MRI abnormalities significantly influence PTAs and tinnitus intensities.</p>","PeriodicalId":44133,"journal":{"name":"Audiology Research","volume":"15 2","pages":""},"PeriodicalIF":1.8000,"publicationDate":"2025-03-15","publicationTypes":"Journal Article","fieldsOfStudy":null,"isOpenAccess":false,"openAccessPdf":"https://www.ncbi.nlm.nih.gov/pmc/articles/PMC11932294/pdf/","citationCount":"0","resultStr":null,"platform":"Semanticscholar","paperid":null,"PeriodicalName":"Audiology Research","FirstCategoryId":"1085","ListUrlMain":"https://doi.org/10.3390/audiolres15020029","RegionNum":0,"RegionCategory":null,"ArticlePicture":[],"TitleCN":null,"AbstractTextCN":null,"PMCID":null,"EPubDate":"","PubModel":"","JCR":"Q1","JCRName":"AUDIOLOGY & SPEECH-LANGUAGE PATHOLOGY","Score":null,"Total":0}
引用次数: 0

Abstract

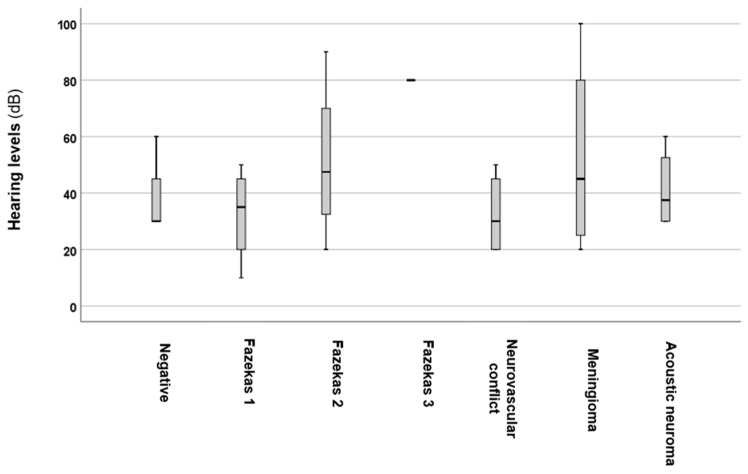
Objectives: This study aimed to analyse the potential influence of abnormalities detected through carotid-vertebral ultrasonography and brain MRI on pure-tone averages (PTAs) and the frequency and intensity of tinnitus. Methods: 423 participants with subjective tinnitus were enrolled in this investigation. All patients underwent carotid- vertebral ultrasonography, brain MRI, and pure-tone audiometry, including tinnitus matching. Results: The median values for tinnitus onset indicated chronic tinnitus in most cases. Regarding tinnitus location, left-sided symptoms (32%) and bilateral symptoms (44%) were the most prevalent. In analysing the effects of abnormalities detected by carotid-vertebral ultrasonography on PTAs, a statistically significant difference was found between the groups (p = 0.0037). Specifically, individuals with intimal hyperplasia had significantly higher PTAs (p = 0.02), as did those with carotid artery plaques (p = 0.005). However, no significant differences in PTAs were noted in relation to carotid artery stenosis (p = 0.07). Similar trends emerged regarding tinnitus intensity (p = 0.013), with significantly higher values observed in the presence of any carotid-vertebral ultrasonography abnormalities. In contrast, tinnitus frequencies were not significantly affected (p = 0.401). Regarding brain MRI findings, Fazekas scores of 2 (p = 0.02) and 3 (p = 0.0052) significantly influenced PTAs. For tinnitus intensity, Fazekas scores of 2 (p = 0.0027) and 3 (p = 0.0005), and the presence of acoustic neuromas (p = 0.019), significantly impacted the intensity values. However, tinnitus frequencies were not significantly (p = 0.36) influenced by brain MRI abnormalities. Conclusions: The findings of this study show that carotid-vertebral ultrasonography and brain MRI abnormalities significantly influence PTAs and tinnitus intensities.

Abstract Image

Abstract Image

Abstract Image

颈动脉和椎体多普勒超声及脑MRI异常对听力水平、耳鸣强度和频率的影响。
目的:本研究旨在分析颈椎超声及脑MRI检测异常对耳鸣纯音平均值(PTAs)及频率、强度的潜在影响。方法:选取423名主观耳鸣患者作为研究对象。所有患者均行颈椎超声、脑MRI和纯音听力学检查,包括耳鸣匹配。结果:耳鸣发病的中位值显示大多数病例为慢性耳鸣。关于耳鸣的位置,左侧症状(32%)和双侧症状(44%)最为普遍。分析颈椎超声检查异常对PTAs的影响,两组间差异有统计学意义(p = 0.0037)。具体来说,内膜增生患者的PTAs明显较高(p = 0.02),颈动脉斑块患者也是如此(p = 0.005)。然而,PTAs与颈动脉狭窄之间无显著性差异(p = 0.07)。在耳鸣强度方面也出现了类似的趋势(p = 0.013),颈椎超声检查异常时,耳鸣强度显著升高。相比之下,耳鸣频率无显著影响(p = 0.401)。对于脑MRI表现,Fazekas评分为2 (p = 0.02)和3 (p = 0.0052)显著影响PTAs。对于耳鸣强度,Fazekas评分为2分(p = 0.0027)和3分(p = 0.0005),听神经瘤的存在(p = 0.019)显著影响耳鸣强度值。然而,耳鸣频率不受脑MRI异常的显著影响(p = 0.36)。结论:颈椎超声和脑MRI异常对PTAs和耳鸣强度有显著影响。
本文章由计算机程序翻译,如有差异,请以英文原文为准。
求助全文
约1分钟内获得全文 求助全文
来源期刊
Audiology Research
Audiology Research AUDIOLOGY & SPEECH-LANGUAGE PATHOLOGY-
CiteScore
2.30
自引率
23.50%
发文量
56
审稿时长
11 weeks
期刊介绍: The mission of Audiology Research is to publish contemporary, ethical, clinically relevant scientific researches related to the basic science and clinical aspects of the auditory and vestibular system and diseases of the ear that can be used by clinicians, scientists and specialists to improve understanding and treatment of patients with audiological and neurotological disorders.
×
引用
GB/T 7714-2015
复制
MLA
复制
APA
复制
导出至
BibTeX EndNote RefMan NoteFirst NoteExpress
×
提示
您的信息不完整,为了账户安全,请先补充。
现在去补充
×
提示
您因"违规操作"
具体请查看互助需知
我知道了
×
提示
确定
请完成安全验证×
copy
已复制链接
快去分享给好友吧!
我知道了
右上角分享
点击右上角分享
0
联系我们:info@booksci.cn Book学术提供免费学术资源搜索服务,方便国内外学者检索中英文文献。致力于提供最便捷和优质的服务体验。 Copyright © 2023 布克学术 All rights reserved.
京ICP备2023020795号-1
ghs 京公网安备 11010802042870号
Book学术文献互助
Book学术文献互助群
群 号:604180095
Book学术官方微信