Uncorrelated Age-Related Changes in Visuo-Spatial Working Memory Binding and Thermoregulation.

IF 2.1 Q3 CLINICAL NEUROLOGY
Marine Dourte, Gregory Hammad, Christina Schmidt, Philippe Peigneux
{"title":"Uncorrelated Age-Related Changes in Visuo-Spatial Working Memory Binding and Thermoregulation.","authors":"Marine Dourte, Gregory Hammad, Christina Schmidt, Philippe Peigneux","doi":"10.3390/clockssleep7020017","DOIUrl":null,"url":null,"abstract":"<p><p>Ageing is associated with alterations in circadian rhythms and thermoregulation, contributing to a fragmentation of the sleep-wake cycle and possibly age-related changes in cognitive performance. In this study, we investigated the relationship between visuo-spatial working memory (vsWM) performance and thermoregulation in young (18-34 years) and old (64-84 years) healthy human adults. Variations in the distal-proximal skin temperature gradient (DPG) were continuously monitored over the 24 h cycle in a field setting. vsWM was assessed during morning (09:00) and evening sessions (17:00) using an object-location binding task. As expected, a reduced circadian DPG amplitude was observed in old as compared to young participants. Likewise, old participants produced more errors than the young ones in object identification and location, suggesting reduced vsWM ability. Notwithstanding this, no significant association was found between circadian DPG modulation and vsWM performance, nor between testing time-of-day and cognitive performance. Further research is needed to explore environmental factors and the timing of peak circadian rhythms to better understand the interplay between circadian biology and cognitive ageing.</p>","PeriodicalId":33568,"journal":{"name":"Clocks & Sleep","volume":"7 2","pages":""},"PeriodicalIF":2.1000,"publicationDate":"2025-03-22","publicationTypes":"Journal Article","fieldsOfStudy":null,"isOpenAccess":false,"openAccessPdf":"https://www.ncbi.nlm.nih.gov/pmc/articles/PMC12192499/pdf/","citationCount":"0","resultStr":null,"platform":"Semanticscholar","paperid":null,"PeriodicalName":"Clocks & Sleep","FirstCategoryId":"1085","ListUrlMain":"https://doi.org/10.3390/clockssleep7020017","RegionNum":0,"RegionCategory":null,"ArticlePicture":[],"TitleCN":null,"AbstractTextCN":null,"PMCID":null,"EPubDate":"","PubModel":"","JCR":"Q3","JCRName":"CLINICAL NEUROLOGY","Score":null,"Total":0}
引用次数: 0

Abstract

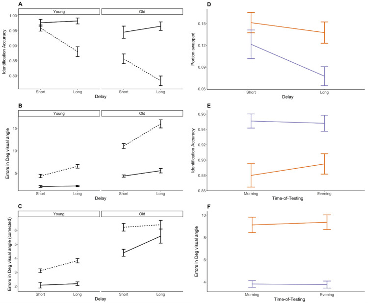
Ageing is associated with alterations in circadian rhythms and thermoregulation, contributing to a fragmentation of the sleep-wake cycle and possibly age-related changes in cognitive performance. In this study, we investigated the relationship between visuo-spatial working memory (vsWM) performance and thermoregulation in young (18-34 years) and old (64-84 years) healthy human adults. Variations in the distal-proximal skin temperature gradient (DPG) were continuously monitored over the 24 h cycle in a field setting. vsWM was assessed during morning (09:00) and evening sessions (17:00) using an object-location binding task. As expected, a reduced circadian DPG amplitude was observed in old as compared to young participants. Likewise, old participants produced more errors than the young ones in object identification and location, suggesting reduced vsWM ability. Notwithstanding this, no significant association was found between circadian DPG modulation and vsWM performance, nor between testing time-of-day and cognitive performance. Further research is needed to explore environmental factors and the timing of peak circadian rhythms to better understand the interplay between circadian biology and cognitive ageing.

Abstract Image

Abstract Image

Abstract Image

视觉-空间工作记忆结合和体温调节的不相关年龄变化。
衰老与昼夜节律和体温调节的改变有关,导致睡眠-觉醒周期的碎片化,并可能导致认知能力的年龄相关变化。在这项研究中,我们研究了年轻(18-34岁)和老年(64-84岁)健康成人的视觉空间工作记忆(vsWM)表现与体温调节的关系。在现场设置的24小时周期内连续监测远端至近端皮肤温度梯度(DPG)的变化。在上午(09:00)和晚上(17:00)使用对象位置绑定任务评估vsWM。正如预期的那样,与年轻参与者相比,在老年人中观察到的昼夜DPG幅度降低。同样,在物体识别和定位方面,老年参与者比年轻人犯了更多的错误,这表明他们的vsWM能力有所下降。尽管如此,在昼夜节律DPG调节和vsWM表现之间没有发现显著的关联,在一天中的测试时间和认知表现之间也没有发现显著的关联。为了更好地理解昼夜节律生物学与认知衰老之间的相互作用,需要进一步的研究来探索环境因素和昼夜节律峰值的时间。
本文章由计算机程序翻译,如有差异,请以英文原文为准。
求助全文
约1分钟内获得全文 求助全文
来源期刊
Clocks & Sleep
Clocks & Sleep Multiple-
CiteScore
4.40
自引率
0.00%
发文量
0
审稿时长
7 weeks
×
引用
GB/T 7714-2015
复制
MLA
复制
APA
复制
导出至
BibTeX EndNote RefMan NoteFirst NoteExpress
×
提示
您的信息不完整,为了账户安全,请先补充。
现在去补充
×
提示
您因"违规操作"
具体请查看互助需知
我知道了
×
提示
确定
请完成安全验证×
copy
已复制链接
快去分享给好友吧!
我知道了
右上角分享
点击右上角分享
0
联系我们:info@booksci.cn Book学术提供免费学术资源搜索服务,方便国内外学者检索中英文文献。致力于提供最便捷和优质的服务体验。 Copyright © 2023 布克学术 All rights reserved.
京ICP备2023020795号-1
ghs 京公网安备 11010802042870号
Book学术文献互助
Book学术文献互助群
群 号:604180095
Book学术官方微信