Enhancing Germination and Growth of Chrysanthemum Synthetic Seeds Through Iron Oxide Nanoparticles and Indole-3-Acetic Acid: Impact of Treatment Duration on Metabolic Activity and Genetic Stability.

IF 2.4 Q2 NANOSCIENCE & NANOTECHNOLOGY
Nanotechnology, Science and Applications Pub Date : 2025-03-18 eCollection Date: 2025-01-01 DOI:10.2147/NSA.S503868
Dariusz Kulus, Alicja Tymoszuk, Katarzyna Gościnna, Magdalena Osial
{"title":"Enhancing Germination and Growth of Chrysanthemum Synthetic Seeds Through Iron Oxide Nanoparticles and Indole-3-Acetic Acid: Impact of Treatment Duration on Metabolic Activity and Genetic Stability.","authors":"Dariusz Kulus, Alicja Tymoszuk, Katarzyna Gościnna, Magdalena Osial","doi":"10.2147/NSA.S503868","DOIUrl":null,"url":null,"abstract":"<p><strong>Background: </strong>This study investigated the effects of pure iron oxide nanoparticles (Fe<sub>3</sub>O<sub>4</sub> NPs), citrate-stabilized iron oxide nanoparticles (Fe<sub>3</sub>O<sub>4</sub>CA NPs), and indole-3-acetic acid (IAA), applied at various time regimes, on the germination, growth, and ex vitro development of chrysanthemum synthetic seeds. The genetic and metabolic stability of the plants was also assessed.</p><p><strong>Methods: </strong>Nodal segments of <i>Chrysanthemum × morifolium</i> /Ramat./ Hemsl. 'Richmond', with a single axillary bud, were encapsulated in 3% calcium alginate with the addition of IAA (1 mg·L<sup>-1</sup>) and/or NPs (7.7 mg·L<sup>-1</sup>). The synthetic seeds were cultured in vitro for 30 or 60 days on a water-agar medium and then transplanted to the greenhouse for further analyses.</p><p><strong>Results: </strong>Results indicated that IAA and Fe<sub>3</sub>O<sub>4</sub>CA NPs applied singularly significantly enhanced germination rates (83.33-92.18%) compared with the IAA- and NP-free control (56.67-64.18%), regardless of treatment time. The simultaneous use of IAA and Fe<sub>3</sub>O<sub>4</sub>CA NPs promoted longer shoot development after 30 days of treatment but showed negative effects after extended exposure. The same combination improved rooting efficiency compared to IAA alone. Supplementation with NPs improved acclimatization rates for younger plants but had variable effects on older plants. Leaf growth metrics were enhanced with Fe<sub>3</sub>O<sub>4</sub>CA NPs in plants after 30 days of treatment, yet no significant differences were observed in leaf dimensions after 60 days. The content of flavonoids, anthocyanins, and chlorophyll was affected by the exposure duration. Biochemical analyses revealed increased total polyphenol content and antioxidant capacity (FRAP, ABTS) in treated plants, particularly with IAA and Fe<sub>3</sub>O<sub>4</sub>CA NPs. Start codon targeted (SCoT) analyses showed no polymorphisms among treated plants, confirming their genetic stability.</p><p><strong>Conclusion: </strong>The study found that the combination of IAA and Fe<sub>3</sub>O<sub>4</sub>CA NPs improved germination and shoot development in chrysanthemum synthetic seeds, while maintaining genetic stability, although prolonged exposure negatively affected plant growth metrics.</p>","PeriodicalId":18881,"journal":{"name":"Nanotechnology, Science and Applications","volume":"18 ","pages":"139-155"},"PeriodicalIF":2.4000,"publicationDate":"2025-03-18","publicationTypes":"Journal Article","fieldsOfStudy":null,"isOpenAccess":false,"openAccessPdf":"https://www.ncbi.nlm.nih.gov/pmc/articles/PMC11929542/pdf/","citationCount":"0","resultStr":null,"platform":"Semanticscholar","paperid":null,"PeriodicalName":"Nanotechnology, Science and Applications","FirstCategoryId":"1085","ListUrlMain":"https://doi.org/10.2147/NSA.S503868","RegionNum":0,"RegionCategory":null,"ArticlePicture":[],"TitleCN":null,"AbstractTextCN":null,"PMCID":null,"EPubDate":"2025/1/1 0:00:00","PubModel":"eCollection","JCR":"Q2","JCRName":"NANOSCIENCE & NANOTECHNOLOGY","Score":null,"Total":0}
引用次数: 0

Abstract

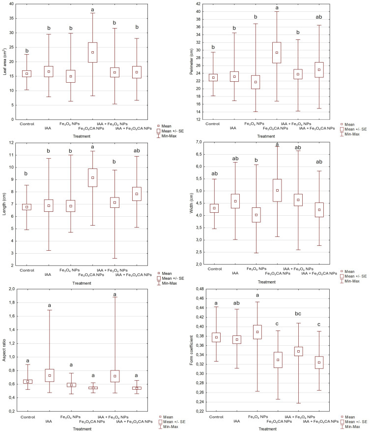
Background: This study investigated the effects of pure iron oxide nanoparticles (Fe3O4 NPs), citrate-stabilized iron oxide nanoparticles (Fe3O4CA NPs), and indole-3-acetic acid (IAA), applied at various time regimes, on the germination, growth, and ex vitro development of chrysanthemum synthetic seeds. The genetic and metabolic stability of the plants was also assessed.

Methods: Nodal segments of Chrysanthemum × morifolium /Ramat./ Hemsl. 'Richmond', with a single axillary bud, were encapsulated in 3% calcium alginate with the addition of IAA (1 mg·L-1) and/or NPs (7.7 mg·L-1). The synthetic seeds were cultured in vitro for 30 or 60 days on a water-agar medium and then transplanted to the greenhouse for further analyses.

Results: Results indicated that IAA and Fe3O4CA NPs applied singularly significantly enhanced germination rates (83.33-92.18%) compared with the IAA- and NP-free control (56.67-64.18%), regardless of treatment time. The simultaneous use of IAA and Fe3O4CA NPs promoted longer shoot development after 30 days of treatment but showed negative effects after extended exposure. The same combination improved rooting efficiency compared to IAA alone. Supplementation with NPs improved acclimatization rates for younger plants but had variable effects on older plants. Leaf growth metrics were enhanced with Fe3O4CA NPs in plants after 30 days of treatment, yet no significant differences were observed in leaf dimensions after 60 days. The content of flavonoids, anthocyanins, and chlorophyll was affected by the exposure duration. Biochemical analyses revealed increased total polyphenol content and antioxidant capacity (FRAP, ABTS) in treated plants, particularly with IAA and Fe3O4CA NPs. Start codon targeted (SCoT) analyses showed no polymorphisms among treated plants, confirming their genetic stability.

Conclusion: The study found that the combination of IAA and Fe3O4CA NPs improved germination and shoot development in chrysanthemum synthetic seeds, while maintaining genetic stability, although prolonged exposure negatively affected plant growth metrics.

Abstract Image

Abstract Image

Abstract Image

氧化铁纳米颗粒和吲哚-3-乙酸促进菊花合成种子萌发和生长:处理时间对代谢活性和遗传稳定性的影响
背景:本研究研究了不同时间施用纯氧化铁纳米颗粒(Fe3O4 NPs)、柠檬酸稳定氧化铁纳米颗粒(Fe3O4CA NPs)和吲哚-3-乙酸(IAA)对菊花合成种子萌发、生长和离体发育的影响。还对这些植物的遗传和代谢稳定性进行了评估。方法:取菊花节段。/ Hemsl。将‘Richmond’单株腋芽包裹在3%海藻酸钙中,并添加IAA (1 mg·L-1)和/或NPs (7.7 mg·L-1)。合成种子在水琼脂培养基上体外培养30或60天,然后移植到温室进行进一步分析。结果:结果表明,与不施用IAA和Fe3O4CA的对照(56.67-64.18%)相比,施用IAA和Fe3O4CA的NPs无论处理时间如何,其发芽率均显著提高(83.33-92.18%)。同时使用IAA和Fe3O4CA NPs可促进30 d后茎部发育,但延长处理后表现出负作用。与单独使用IAA相比,同一组合的生根效率更高。补充NPs提高了年轻植株的适应率,但对老植株的影响不尽相同。处理30天后,Fe3O4CA NPs显著提高了植株的叶片生长指标,但处理60天后,叶片尺寸无显著差异。黄酮、花青素和叶绿素含量受暴露时间的影响。生化分析显示,处理过的植物,特别是IAA和Fe3O4CA NPs,总多酚含量和抗氧化能力(FRAP, ABTS)均有所增加。起始密码子靶向(SCoT)分析显示,处理植物间无多态性,证实了它们的遗传稳定性。结论:本研究发现,IAA与Fe3O4CA NPs组合处理能提高菊花合成种子的萌发和芽部发育,同时保持遗传稳定性,但长时间暴露会对植物生长指标产生负面影响。
本文章由计算机程序翻译,如有差异,请以英文原文为准。
求助全文
约1分钟内获得全文 求助全文
来源期刊
Nanotechnology, Science and Applications
Nanotechnology, Science and Applications NANOSCIENCE & NANOTECHNOLOGY-
CiteScore
11.70
自引率
0.00%
发文量
3
审稿时长
16 weeks
期刊介绍: Nanotechnology, Science and Applications is an international, peer-reviewed, Open Access journal that focuses on the science of nanotechnology in a wide range of industrial and academic applications. The journal is characterized by the rapid reporting of reviews, original research, and application studies across all sectors, including engineering, optics, bio-medicine, cosmetics, textiles, resource sustainability and science. Applied research into nano-materials, particles, nano-structures and fabrication, diagnostics and analytics, drug delivery and toxicology constitute the primary direction of the journal.
×
引用
GB/T 7714-2015
复制
MLA
复制
APA
复制
导出至
BibTeX EndNote RefMan NoteFirst NoteExpress
×
提示
您的信息不完整,为了账户安全,请先补充。
现在去补充
×
提示
您因"违规操作"
具体请查看互助需知
我知道了
×
提示
确定
请完成安全验证×
copy
已复制链接
快去分享给好友吧!
我知道了
右上角分享
点击右上角分享
0
联系我们:info@booksci.cn Book学术提供免费学术资源搜索服务,方便国内外学者检索中英文文献。致力于提供最便捷和优质的服务体验。 Copyright © 2023 布克学术 All rights reserved.
京ICP备2023020795号-1
ghs 京公网安备 11010802042870号
Book学术文献互助
Book学术文献互助群
群 号:604180095
Book学术官方微信