Utilizing Hyperbaric Oxygen Therapy to Improve Cognitive Function in Patients With Alzheimer's Disease by Activating Autophagy-Related Signaling Pathways.

IF 2 4区 医学 Q3 PHYSIOLOGY
Physiological research Pub Date : 2025-03-24
B Li, H Li, H Chen, Y Sui, J Zeng, X Lin, Q Fan, Z Song
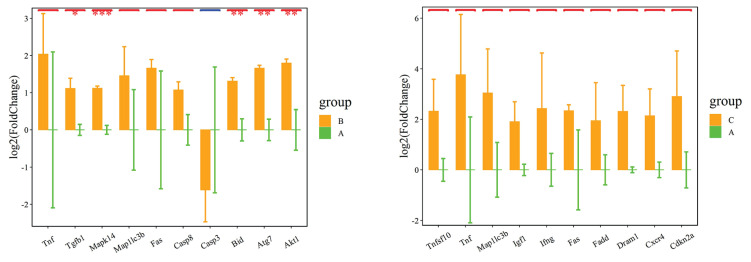
{"title":"Utilizing Hyperbaric Oxygen Therapy to Improve Cognitive Function in Patients With Alzheimer's Disease by Activating Autophagy-Related Signaling Pathways.","authors":"B Li, H Li, H Chen, Y Sui, J Zeng, X Lin, Q Fan, Z Song","doi":"","DOIUrl":null,"url":null,"abstract":"<p><p>To investigate the impact of hyperbaric oxygen therapy (HBOT) on the cognitive function of mice with Alzheimer's disease (AD), while also identifying the cellular pathways associated with autophagy involved in the treatment. Twenty-four APP/PSl double transgenic mice were randomly assigned to either Group A or Group B, while another 24 C57 mice were randomly allocated to Group C or Group D. HBOT was administered to mice in Group B and Group D, and the Morris water maze test was used to assess changes in mice behavior. Histological examination using hematoxylin and eosin staining was conducted to observe pathological alterations in the hippocampus of the mice brain tissue. Polymerase chain reaction (PCR) was employed to analyze autophagy-related gene pathways in the hippocampus of the mice. Following HBOT, mice in Group B exhibited a significant reduction in escape latency and a notable increase in residence time within the target quadrant compared with Group A (P<0.05), as well as Group C and Group D (P<0.01). The hippocampal neurons in Group A and Group B mice exhibited disorganized arrangements, characterized by pyknosis and margination. Conversely, neurons in Group C displayed orderly arrangements, retaining intact structures with round nuclei demonstrating clear nuclear staining and normal morphology. The cellular morphology of mice in Group D remained unaffected. PCR analysis revealed no notable disparity in autophagy-related gene expression between Group A and Group C. However, the expression levels of five genes including Tgfb1, Mapk14, Bid, Atg7, and Akt1, were significantly elevated in Group B compared to Group A. HBOT has the potential to improve the cognitive function in mice modeled with AD. This improvement of cognitive function appears to be mediated by the up-regulation of autophagy-related genes, specifically Tgfb1, Mapk14, Bid, Atg7, and Akt1. These results indicate that HBOT may offer a therapeutic strategy for treating AD by enhancing autophagy mechanisms. Key words Alzheimer's disease, Autophagy, Hyperbaric oxygen, Morris water maze, PCR.</p>","PeriodicalId":20235,"journal":{"name":"Physiological research","volume":"74 1","pages":"141-147"},"PeriodicalIF":2.0000,"publicationDate":"2025-03-24","publicationTypes":"Journal Article","fieldsOfStudy":null,"isOpenAccess":false,"openAccessPdf":"https://www.ncbi.nlm.nih.gov/pmc/articles/PMC11995944/pdf/","citationCount":"0","resultStr":null,"platform":"Semanticscholar","paperid":null,"PeriodicalName":"Physiological research","FirstCategoryId":"3","ListUrlMain":"","RegionNum":4,"RegionCategory":"医学","ArticlePicture":[],"TitleCN":null,"AbstractTextCN":null,"PMCID":null,"EPubDate":"","PubModel":"","JCR":"Q3","JCRName":"PHYSIOLOGY","Score":null,"Total":0}
引用次数: 0

Abstract

To investigate the impact of hyperbaric oxygen therapy (HBOT) on the cognitive function of mice with Alzheimer's disease (AD), while also identifying the cellular pathways associated with autophagy involved in the treatment. Twenty-four APP/PSl double transgenic mice were randomly assigned to either Group A or Group B, while another 24 C57 mice were randomly allocated to Group C or Group D. HBOT was administered to mice in Group B and Group D, and the Morris water maze test was used to assess changes in mice behavior. Histological examination using hematoxylin and eosin staining was conducted to observe pathological alterations in the hippocampus of the mice brain tissue. Polymerase chain reaction (PCR) was employed to analyze autophagy-related gene pathways in the hippocampus of the mice. Following HBOT, mice in Group B exhibited a significant reduction in escape latency and a notable increase in residence time within the target quadrant compared with Group A (P<0.05), as well as Group C and Group D (P<0.01). The hippocampal neurons in Group A and Group B mice exhibited disorganized arrangements, characterized by pyknosis and margination. Conversely, neurons in Group C displayed orderly arrangements, retaining intact structures with round nuclei demonstrating clear nuclear staining and normal morphology. The cellular morphology of mice in Group D remained unaffected. PCR analysis revealed no notable disparity in autophagy-related gene expression between Group A and Group C. However, the expression levels of five genes including Tgfb1, Mapk14, Bid, Atg7, and Akt1, were significantly elevated in Group B compared to Group A. HBOT has the potential to improve the cognitive function in mice modeled with AD. This improvement of cognitive function appears to be mediated by the up-regulation of autophagy-related genes, specifically Tgfb1, Mapk14, Bid, Atg7, and Akt1. These results indicate that HBOT may offer a therapeutic strategy for treating AD by enhancing autophagy mechanisms. Key words Alzheimer's disease, Autophagy, Hyperbaric oxygen, Morris water maze, PCR.

Abstract Image

Abstract Image

利用高压氧治疗通过激活自噬相关信号通路改善阿尔茨海默病患者的认知功能
研究高压氧治疗(HBOT)对阿尔茨海默病(AD)小鼠认知功能的影响,同时确定治疗中与自噬相关的细胞通路。24只APP/PSl双转基因小鼠随机分为A组和B组,24只C57小鼠随机分为C组和D组。B组和D组小鼠分别给予HBOT, Morris水迷宫实验观察小鼠行为变化。采用苏木精和伊红染色观察小鼠脑组织海马的病理改变。采用聚合酶链反应(PCR)分析小鼠海马自噬相关基因通路。与a组相比,HBOT后B组小鼠的逃避潜伏期显著减少,靶象限内停留时间显著增加(P
本文章由计算机程序翻译,如有差异,请以英文原文为准。
求助全文
约1分钟内获得全文 求助全文
来源期刊
Physiological research
Physiological research 医学-生理学
CiteScore
4.00
自引率
4.80%
发文量
108
审稿时长
3 months
期刊介绍: Physiological Research is a peer reviewed Open Access journal that publishes articles on normal and pathological physiology, biochemistry, biophysics, and pharmacology. Authors can submit original, previously unpublished research articles, review articles, rapid or short communications. Instructions for Authors - Respect the instructions carefully when submitting your manuscript. Submitted manuscripts or revised manuscripts that do not follow these Instructions will not be included into the peer-review process. The articles are available in full versions as pdf files beginning with volume 40, 1991. The journal publishes the online Ahead of Print /Pre-Press version of the articles that are searchable in Medline and can be cited.
×
引用
GB/T 7714-2015
复制
MLA
复制
APA
复制
导出至
BibTeX EndNote RefMan NoteFirst NoteExpress
×
提示
您的信息不完整,为了账户安全,请先补充。
现在去补充
×
提示
您因"违规操作"
具体请查看互助需知
我知道了
×
提示
确定
请完成安全验证×
copy
已复制链接
快去分享给好友吧!
我知道了
右上角分享
点击右上角分享
0
联系我们:info@booksci.cn Book学术提供免费学术资源搜索服务,方便国内外学者检索中英文文献。致力于提供最便捷和优质的服务体验。 Copyright © 2023 布克学术 All rights reserved.
京ICP备2023020795号-1
ghs 京公网安备 11010802042870号
Book学术文献互助
Book学术文献互助群
群 号:604180095
Book学术官方微信