A miRNA Signature for Non-Invasive Colorectal Cancer Diagnosis in Morocco: miR-21, miR-29a and miR-92a.

IF 3.6 Q2 BIOCHEMISTRY & MOLECULAR BIOLOGY
Sofia Fathi, Oussama Aazzane, Salma Guendaoui, Nezha Tawfiq, Souha Sahraoui, Fadila Guessous, Mehdi Karkouri
{"title":"A miRNA Signature for Non-Invasive Colorectal Cancer Diagnosis in Morocco: miR-21, miR-29a and miR-92a.","authors":"Sofia Fathi, Oussama Aazzane, Salma Guendaoui, Nezha Tawfiq, Souha Sahraoui, Fadila Guessous, Mehdi Karkouri","doi":"10.3390/ncrna11020026","DOIUrl":null,"url":null,"abstract":"<p><p>Colorectal cancer (CRC) is the third most diagnosed cancer and a leading cause of cancer-related mortality in Morocco, often detected at late stages. Circulating microRNAs (miRNAs) have emerged as promising non-invasive biomarkers for CRC detection, with miR-21, miR-29a, and miR-92a showing significant diagnostic potential. This study aimed to evaluate the expression levels of these miRNAs in a Moroccan population and their efficacy as diagnostic biomarkers.</p><p><strong>Methods: </strong>A prospective study was conducted using blood samples from 50 CRC patients and 50 healthy controls. Circulating miRNA expression levels were quantified through reverse transcription quantitative PCR (RT-qPCR), with normalization to miR-1228-3p. Statistical analyses, including the Mann-Whitney U test, Receiver Operating Characteristic (ROC) curve analysis, sensitivity (Sen), and specificity (Spe) evaluations, were performed to assess the diagnostic accuracy of individual miRNAs and their combined performance as panels.</p><p><strong>Results: </strong>The expression levels of miR-21, miR-29a, and miR-92a were significantly elevated in CRC patients compared to healthy controls (all <i>p</i> < 0.001). ROC analysis demonstrated that miR-92a exhibited the highest individual diagnostic performance (AUC: 0.938), followed by miR-21 (AUC: 0.907) and miR-29a (AUC: 0.898). Sensitivity and specificity were 88% and 90%, 92% and 56%, and 76% and 94%, respectively. Combinatorial analysis revealed that the miR-29a and miR-92a panel achieved the highest diagnostic accuracy (AUC: 0.976), surpassing individual miRNAs and other combinations, highlighting its potential as a robust, non-invasive biomarker panel for CRC.</p><p><strong>Conclusions: </strong>This study highlights the potential of the miR-29a and miR-92a combination, which achieved excellent diagnostic efficiency (AUC: 0.976). These findings underscore miRNA utility in enhancing early detection and reducing CRC-related mortality in Morocco.</p>","PeriodicalId":19271,"journal":{"name":"Non-Coding RNA","volume":"11 2","pages":""},"PeriodicalIF":3.6000,"publicationDate":"2025-03-17","publicationTypes":"Journal Article","fieldsOfStudy":null,"isOpenAccess":false,"openAccessPdf":"https://www.ncbi.nlm.nih.gov/pmc/articles/PMC11932314/pdf/","citationCount":"0","resultStr":null,"platform":"Semanticscholar","paperid":null,"PeriodicalName":"Non-Coding RNA","FirstCategoryId":"1085","ListUrlMain":"https://doi.org/10.3390/ncrna11020026","RegionNum":0,"RegionCategory":null,"ArticlePicture":[],"TitleCN":null,"AbstractTextCN":null,"PMCID":null,"EPubDate":"","PubModel":"","JCR":"Q2","JCRName":"BIOCHEMISTRY & MOLECULAR BIOLOGY","Score":null,"Total":0}
引用次数: 0

Abstract

Colorectal cancer (CRC) is the third most diagnosed cancer and a leading cause of cancer-related mortality in Morocco, often detected at late stages. Circulating microRNAs (miRNAs) have emerged as promising non-invasive biomarkers for CRC detection, with miR-21, miR-29a, and miR-92a showing significant diagnostic potential. This study aimed to evaluate the expression levels of these miRNAs in a Moroccan population and their efficacy as diagnostic biomarkers.

Methods: A prospective study was conducted using blood samples from 50 CRC patients and 50 healthy controls. Circulating miRNA expression levels were quantified through reverse transcription quantitative PCR (RT-qPCR), with normalization to miR-1228-3p. Statistical analyses, including the Mann-Whitney U test, Receiver Operating Characteristic (ROC) curve analysis, sensitivity (Sen), and specificity (Spe) evaluations, were performed to assess the diagnostic accuracy of individual miRNAs and their combined performance as panels.

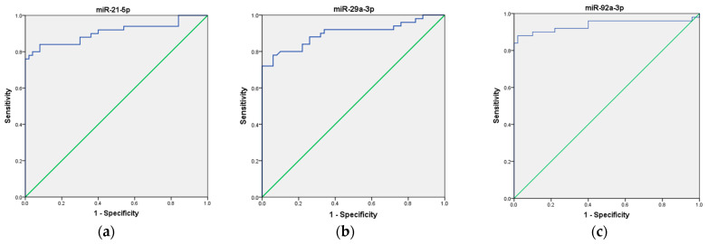
Results: The expression levels of miR-21, miR-29a, and miR-92a were significantly elevated in CRC patients compared to healthy controls (all p < 0.001). ROC analysis demonstrated that miR-92a exhibited the highest individual diagnostic performance (AUC: 0.938), followed by miR-21 (AUC: 0.907) and miR-29a (AUC: 0.898). Sensitivity and specificity were 88% and 90%, 92% and 56%, and 76% and 94%, respectively. Combinatorial analysis revealed that the miR-29a and miR-92a panel achieved the highest diagnostic accuracy (AUC: 0.976), surpassing individual miRNAs and other combinations, highlighting its potential as a robust, non-invasive biomarker panel for CRC.

Conclusions: This study highlights the potential of the miR-29a and miR-92a combination, which achieved excellent diagnostic efficiency (AUC: 0.976). These findings underscore miRNA utility in enhancing early detection and reducing CRC-related mortality in Morocco.

Abstract Image

Abstract Image

Abstract Image

摩洛哥无创结直肠癌诊断的miRNA特征:miR-21, miR-29a和miR-92a。
结直肠癌(CRC)是摩洛哥第三大确诊癌症,也是癌症相关死亡的主要原因,通常在晚期才被发现。循环microrna (mirna)已成为CRC检测的有希望的非侵入性生物标志物,miR-21、miR-29a和miR-92a显示出显著的诊断潜力。这项研究旨在评估这些mirna在摩洛哥人群中的表达水平及其作为诊断性生物标志物的功效。方法:采用50例结直肠癌患者和50例健康对照者的血液样本进行前瞻性研究。通过逆转录定量PCR (RT-qPCR)定量循环miRNA表达水平,归一化至miR-1228-3p。统计分析包括Mann-Whitney U检验、受试者工作特征(ROC)曲线分析、敏感性(Sen)和特异性(Spe)评估,以评估单个mirna的诊断准确性及其作为面板的综合性能。结果:与健康对照组相比,CRC患者中miR-21、miR-29a和miR-92a的表达水平显著升高(均p < 0.001)。ROC分析显示,miR-92a具有最高的个体诊断性能(AUC: 0.938),其次是miR-21 (AUC: 0.907)和miR-29a (AUC: 0.898)。灵敏度和特异性分别为88%和90%,92%和56%,76%和94%。组合分析显示,miR-29a和miR-92a小组达到了最高的诊断准确性(AUC: 0.976),超过了单个mirna和其他组合,突出了其作为CRC的强大,非侵入性生物标志物小组的潜力。结论:本研究突出了miR-29a和miR-92a联合的潜力,并取得了优异的诊断效率(AUC: 0.976)。这些发现强调了miRNA在摩洛哥加强早期发现和降低crc相关死亡率方面的效用。
本文章由计算机程序翻译,如有差异,请以英文原文为准。
求助全文
约1分钟内获得全文 求助全文
来源期刊
Non-Coding RNA
Non-Coding RNA Biochemistry, Genetics and Molecular Biology-Genetics
CiteScore
6.70
自引率
4.70%
发文量
74
审稿时长
10 weeks
期刊介绍: Functional studies dealing with identification, structure-function relationships or biological activity of: small regulatory RNAs (miRNAs, siRNAs and piRNAs) associated with the RNA interference pathway small nuclear RNAs, small nucleolar and tRNAs derived small RNAs other types of small RNAs, such as those associated with splice junctions and transcription start sites long non-coding RNAs, including antisense RNAs, long ''intergenic'' RNAs, intronic RNAs and ''enhancer'' RNAs other classes of RNAs such as vault RNAs, scaRNAs, circular RNAs, 7SL RNAs, telomeric and centromeric RNAs regulatory functions of mRNAs and UTR-derived RNAs catalytic and allosteric (riboswitch) RNAs viral, transposon and repeat-derived RNAs bacterial regulatory RNAs, including CRISPR RNAS Analysis of RNA processing, RNA binding proteins, RNA signaling and RNA interaction pathways: DICER AGO, PIWI and PIWI-like proteins other classes of RNA binding and RNA transport proteins RNA interactions with chromatin-modifying complexes RNA interactions with DNA and other RNAs the role of RNA in the formation and function of specialized subnuclear organelles and other aspects of cell biology intercellular and intergenerational RNA signaling RNA processing structure-function relationships in RNA complexes RNA analyses, informatics, tools and technologies: transcriptomic analyses and technologies development of tools and technologies for RNA biology and therapeutics Translational studies involving long and short non-coding RNAs: identification of biomarkers development of new therapies involving microRNAs and other ncRNAs clinical studies involving microRNAs and other ncRNAs.
×
引用
GB/T 7714-2015
复制
MLA
复制
APA
复制
导出至
BibTeX EndNote RefMan NoteFirst NoteExpress
×
提示
您的信息不完整,为了账户安全,请先补充。
现在去补充
×
提示
您因"违规操作"
具体请查看互助需知
我知道了
×
提示
确定
请完成安全验证×
copy
已复制链接
快去分享给好友吧!
我知道了
右上角分享
点击右上角分享
0
联系我们:info@booksci.cn Book学术提供免费学术资源搜索服务,方便国内外学者检索中英文文献。致力于提供最便捷和优质的服务体验。 Copyright © 2023 布克学术 All rights reserved.
京ICP备2023020795号-1
ghs 京公网安备 11010802042870号
Book学术文献互助
Book学术文献互助群
群 号:604180095
Book学术官方微信