Unhealthy Food Consumption Is Associated with Post-Acute Sequelae of COVID-19 in Brazilian Elderly People.

IF 2.4 Q2 INFECTIOUS DISEASES
Guilherme José Silva Ribeiro, Rafaela Nogueira Gomes de Morais, Olufemi Gabriel Abimbola, Nalva de Paula Dias, Mariana De Santis Filgueiras, André de Araújo Pinto, Juliana Farias de Novaes
{"title":"Unhealthy Food Consumption Is Associated with Post-Acute Sequelae of COVID-19 in Brazilian Elderly People.","authors":"Guilherme José Silva Ribeiro, Rafaela Nogueira Gomes de Morais, Olufemi Gabriel Abimbola, Nalva de Paula Dias, Mariana De Santis Filgueiras, André de Araújo Pinto, Juliana Farias de Novaes","doi":"10.3390/idr17020025","DOIUrl":null,"url":null,"abstract":"<p><p><b>Background/Objectives</b>: The factors associated with post-acute sequelae of COVID-19 (PASC) are not yet fully understood in developing countries. Our objective was to investigate the relationship between food consumption and the occurrence of PASC in Brazilian elderly people. <b>Methods</b>: This cross-sectional study included 1322 elderly people aged 60 or over, infected with SARS-CoV-2 in 2020, living in the state of Roraima in Brazil. Using the Brazilian National Food and Nutrition Surveillance System (SISVAN, in Portuguese) tool, food consumption markers were evaluated. The persistence of post-acute sequelae of COVID-19 was assessed three months after SARS-CoV-2 infection. Poisson regression with robust variance was performed to estimate the prevalence ratio (PR) with a 95% confidence interval (95% CI). <b>Results</b>: Fruit consumption [PR 0.92; 95% CI: 0.85-0.99] was associated with a lower occurrence of PASC, with a significant interaction in individuals aged 60 to 69 years old, not hospitalized, and those without chronic kidney disease. In addition, the consumption of sugar-sweetened beverages [PR 1.23; 95% CI: 1.12-1.35], sandwich cookies, sweets, and treats [PR 1.12; 95% CI 1.03-1.22] was positively associated with the occurrence of PASC in the elderly people, with a significant interaction in individuals living in the capital and without hypercholesterolemia. <b>Conclusions</b>: Unhealthy food consumption was associated with PASC in Brazilian elderly people. An improvement in the diet quality of elderly people is necessary to minimize health complications in PASC.</p>","PeriodicalId":13579,"journal":{"name":"Infectious Disease Reports","volume":"17 2","pages":""},"PeriodicalIF":2.4000,"publicationDate":"2025-03-13","publicationTypes":"Journal Article","fieldsOfStudy":null,"isOpenAccess":false,"openAccessPdf":"https://www.ncbi.nlm.nih.gov/pmc/articles/PMC11932263/pdf/","citationCount":"0","resultStr":null,"platform":"Semanticscholar","paperid":null,"PeriodicalName":"Infectious Disease Reports","FirstCategoryId":"1085","ListUrlMain":"https://doi.org/10.3390/idr17020025","RegionNum":0,"RegionCategory":null,"ArticlePicture":[],"TitleCN":null,"AbstractTextCN":null,"PMCID":null,"EPubDate":"","PubModel":"","JCR":"Q2","JCRName":"INFECTIOUS DISEASES","Score":null,"Total":0}
引用次数: 0

Abstract

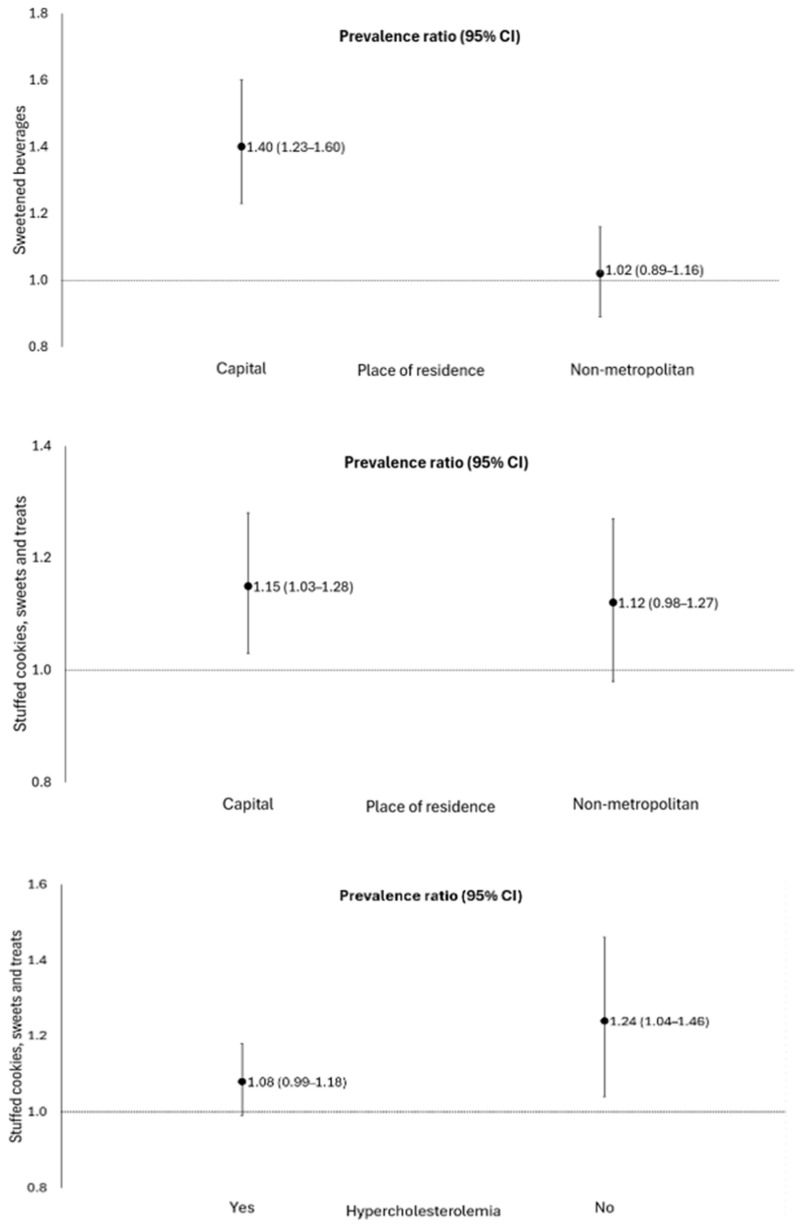
Background/Objectives: The factors associated with post-acute sequelae of COVID-19 (PASC) are not yet fully understood in developing countries. Our objective was to investigate the relationship between food consumption and the occurrence of PASC in Brazilian elderly people. Methods: This cross-sectional study included 1322 elderly people aged 60 or over, infected with SARS-CoV-2 in 2020, living in the state of Roraima in Brazil. Using the Brazilian National Food and Nutrition Surveillance System (SISVAN, in Portuguese) tool, food consumption markers were evaluated. The persistence of post-acute sequelae of COVID-19 was assessed three months after SARS-CoV-2 infection. Poisson regression with robust variance was performed to estimate the prevalence ratio (PR) with a 95% confidence interval (95% CI). Results: Fruit consumption [PR 0.92; 95% CI: 0.85-0.99] was associated with a lower occurrence of PASC, with a significant interaction in individuals aged 60 to 69 years old, not hospitalized, and those without chronic kidney disease. In addition, the consumption of sugar-sweetened beverages [PR 1.23; 95% CI: 1.12-1.35], sandwich cookies, sweets, and treats [PR 1.12; 95% CI 1.03-1.22] was positively associated with the occurrence of PASC in the elderly people, with a significant interaction in individuals living in the capital and without hypercholesterolemia. Conclusions: Unhealthy food consumption was associated with PASC in Brazilian elderly people. An improvement in the diet quality of elderly people is necessary to minimize health complications in PASC.

Abstract Image

Abstract Image

不健康食品消费与巴西老年人COVID-19急性后后遗症有关
背景/目标:在发展中国家,与 COVID-19 后遗症(PASC)相关的因素尚未完全明了。我们的目的是调查巴西老年人的食物消费与 PASC 发生率之间的关系。研究方法这项横断面研究包括巴西罗赖马州 1322 名 60 岁或以上、2020 年感染过 SARS-CoV-2 的老年人。利用巴西国家食品和营养监测系统(SISVAN,葡萄牙语)工具,对食物消费指标进行了评估。在感染 SARS-CoV-2 三个月后,对 COVID-19 急性后遗症的持续性进行了评估。采用稳健方差泊松回归法估算了流行率(PR)和 95% 置信区间(95% CI)。结果显示食用水果[PR 0.92; 95% CI: 0.85-0.99]与较低的 PASC 发生率相关,在 60 至 69 岁、未住院和无慢性肾病的人群中,两者之间存在显著的交互作用。此外,饮用含糖饮料[PR 1.23;95% CI:1.12-1.35]、夹心饼干、甜食和点心[PR 1.12;95% CI 1.03-1.22]与老年人 PASC 的发生率呈正相关,在居住在首都且无高胆固醇血症的人群中存在显著的交互作用。结论巴西老年人的不健康饮食与 PASC 相关。有必要改善老年人的饮食质量,以尽量减少 PASC 的健康并发症。
本文章由计算机程序翻译,如有差异,请以英文原文为准。
求助全文
约1分钟内获得全文 求助全文
来源期刊
Infectious Disease Reports
Infectious Disease Reports INFECTIOUS DISEASES-
CiteScore
5.10
自引率
0.00%
发文量
82
审稿时长
11 weeks
×
引用
GB/T 7714-2015
复制
MLA
复制
APA
复制
导出至
BibTeX EndNote RefMan NoteFirst NoteExpress
×
提示
您的信息不完整,为了账户安全,请先补充。
现在去补充
×
提示
您因"违规操作"
具体请查看互助需知
我知道了
×
提示
确定
请完成安全验证×
copy
已复制链接
快去分享给好友吧!
我知道了
右上角分享
点击右上角分享
0
联系我们:info@booksci.cn Book学术提供免费学术资源搜索服务,方便国内外学者检索中英文文献。致力于提供最便捷和优质的服务体验。 Copyright © 2023 布克学术 All rights reserved.
京ICP备2023020795号-1
ghs 京公网安备 11010802042870号
Book学术文献互助
Book学术文献互助群
群 号:604180095
Book学术官方微信