Quantifying the direct and indirect components of COVID-19 vaccine effectiveness during the Delta variant era.

IF 2.2 4区 医学 Q3 INFECTIOUS DISEASES
Anna Suomenrinne-Nordvik, Tuija Leino, Mikhail Shubin, Kari Auranen, Simopekka Vänskä
{"title":"Quantifying the direct and indirect components of COVID-19 vaccine effectiveness during the Delta variant era.","authors":"Anna Suomenrinne-Nordvik, Tuija Leino, Mikhail Shubin, Kari Auranen, Simopekka Vänskä","doi":"10.1017/S0950268825000354","DOIUrl":null,"url":null,"abstract":"<p><p>The efficacy of COVID-19 vaccines against the Delta variant has been observed to be high, both against severe disease and infection. The full population level vaccine effectiveness, however, also contains the indirect effects of vaccination, which require analysis of transmission dynamics to uncover. Finland was close to naïve to SARS-CoV-2 infections before the Delta dominant era, and non-pharmaceutical interventions (NPIs) were at an internationally low level. We utilize Finnish register data and a mathematical model for transmission and COVID-19 disease burden to construct a completely unvaccinated control population and estimate the different components of the vaccine effectiveness. The estimated direct effectiveness was 72% against COVID-19 cases and 87-96% against severe disease outcomes, but the estimated indirect effectiveness was even better, 93% against cases and 94-97% against severe disease. The total and overall effectiveness, including both direct and indirect effects of vaccination, were thus excellent. Our results show how well the population was protected by vaccination during the Delta era, especially by the indirect effectiveness, providing protection also to the unvaccinated part of the population. The estimated averted numbers of hospitalizations, ICU admissions, and deaths in Finland during the Delta era under the implemented NPIs were about 100 times the observed numbers.</p>","PeriodicalId":11721,"journal":{"name":"Epidemiology and Infection","volume":" ","pages":"e59"},"PeriodicalIF":2.2000,"publicationDate":"2025-03-24","publicationTypes":"Journal Article","fieldsOfStudy":null,"isOpenAccess":false,"openAccessPdf":"https://www.ncbi.nlm.nih.gov/pmc/articles/PMC12001148/pdf/","citationCount":"0","resultStr":null,"platform":"Semanticscholar","paperid":null,"PeriodicalName":"Epidemiology and Infection","FirstCategoryId":"3","ListUrlMain":"https://doi.org/10.1017/S0950268825000354","RegionNum":4,"RegionCategory":"医学","ArticlePicture":[],"TitleCN":null,"AbstractTextCN":null,"PMCID":null,"EPubDate":"","PubModel":"","JCR":"Q3","JCRName":"INFECTIOUS DISEASES","Score":null,"Total":0}
引用次数: 0

Abstract

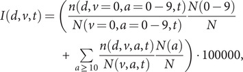
The efficacy of COVID-19 vaccines against the Delta variant has been observed to be high, both against severe disease and infection. The full population level vaccine effectiveness, however, also contains the indirect effects of vaccination, which require analysis of transmission dynamics to uncover. Finland was close to naïve to SARS-CoV-2 infections before the Delta dominant era, and non-pharmaceutical interventions (NPIs) were at an internationally low level. We utilize Finnish register data and a mathematical model for transmission and COVID-19 disease burden to construct a completely unvaccinated control population and estimate the different components of the vaccine effectiveness. The estimated direct effectiveness was 72% against COVID-19 cases and 87-96% against severe disease outcomes, but the estimated indirect effectiveness was even better, 93% against cases and 94-97% against severe disease. The total and overall effectiveness, including both direct and indirect effects of vaccination, were thus excellent. Our results show how well the population was protected by vaccination during the Delta era, especially by the indirect effectiveness, providing protection also to the unvaccinated part of the population. The estimated averted numbers of hospitalizations, ICU admissions, and deaths in Finland during the Delta era under the implemented NPIs were about 100 times the observed numbers.

Abstract Image

Abstract Image

Abstract Image

量化Delta变异时期COVID-19疫苗有效性的直接和间接成分
据观察,COVID-19疫苗对Delta变体的疗效很高,无论是对严重疾病还是感染都是如此。然而,整个人群水平的疫苗有效性也包含疫苗接种的间接影响,这需要对传播动力学进行分析才能揭示。在三角洲主导时代之前,芬兰的SARS-CoV-2感染接近naïve,非药物干预措施(npi)处于国际低水平。我们利用芬兰的登记数据和传播和COVID-19疾病负担的数学模型来构建一个完全未接种疫苗的对照人群,并估计疫苗有效性的不同组成部分。估计对COVID-19病例的直接有效性为72%,对严重疾病结果的直接有效性为87-96%,但估计的间接有效性甚至更好,对病例的间接有效性为93%,对严重疾病的间接有效性为94-97%。因此,包括疫苗接种的直接和间接效果在内的总有效性和总体有效性都非常好。我们的研究结果表明,在三角洲时期,接种疫苗对人口的保护是多么好,特别是通过间接有效性,为未接种疫苗的部分人口提供了保护。根据实施的国家行动计划,芬兰在三角洲时期估计避免的住院、ICU住院和死亡人数约为观察到的数字的100倍。
本文章由计算机程序翻译,如有差异,请以英文原文为准。
求助全文
约1分钟内获得全文 求助全文
来源期刊
Epidemiology and Infection
Epidemiology and Infection 医学-传染病学
CiteScore
4.10
自引率
2.40%
发文量
366
审稿时长
3-6 weeks
期刊介绍: Epidemiology & Infection publishes original reports and reviews on all aspects of infection in humans and animals. Particular emphasis is given to the epidemiology, prevention and control of infectious diseases. The scope covers the zoonoses, outbreaks, food hygiene, vaccine studies, statistics and the clinical, social and public-health aspects of infectious disease, as well as some tropical infections. It has become the key international periodical in which to find the latest reports on recently discovered infections and new technology. For those concerned with policy and planning for the control of infections, the papers on mathematical modelling of epidemics caused by historical, current and emergent infections are of particular value.
×
引用
GB/T 7714-2015
复制
MLA
复制
APA
复制
导出至
BibTeX EndNote RefMan NoteFirst NoteExpress
×
提示
您的信息不完整,为了账户安全,请先补充。
现在去补充
×
提示
您因"违规操作"
具体请查看互助需知
我知道了
×
提示
确定
请完成安全验证×
copy
已复制链接
快去分享给好友吧!
我知道了
右上角分享
点击右上角分享
0
联系我们:info@booksci.cn Book学术提供免费学术资源搜索服务,方便国内外学者检索中英文文献。致力于提供最便捷和优质的服务体验。 Copyright © 2023 布克学术 All rights reserved.
京ICP备2023020795号-1
ghs 京公网安备 11010802042870号
Book学术文献互助
Book学术文献互助群
群 号:604180095
Book学术官方微信