Target weight at discharge for children receiving their first inpatient treatment for an eating disorder.

IF 2.8 3区 医学 Q2 PSYCHIATRY
Kazumi Kurata, Yuta Inagawa, Tatsuhiko Yagihashi, Takahiro Nakamura, Seiji Obi, Shiro Suda
{"title":"Target weight at discharge for children receiving their first inpatient treatment for an eating disorder.","authors":"Kazumi Kurata, Yuta Inagawa, Tatsuhiko Yagihashi, Takahiro Nakamura, Seiji Obi, Shiro Suda","doi":"10.1007/s40519-025-01736-1","DOIUrl":null,"url":null,"abstract":"<p><strong>Purpose: </strong>There is no consensus regarding the optimal target weight for discharge during the hospitalization of children with eating disorders (EDs). We attempted to identify the ideal discharge weight for children receiving their first inpatient treatment for anorexia nervosa (AN) or avoidant/restrictive food intake disorder (ARFID).</p><p><strong>Patients and methods: </strong>Sixty children (mean age: 12.8 years) diagnosed with either AN (49 children) or ARFID (11 children) were followed for 1 year after discharge from a psychiatric ward. We analyzed the percent of ideal body weight (%IBW) at discharge, along with physical and social factors, to predict weight outcomes and rehospitalization risk during the first year after discharge. Longitudinal weight trends were assessed, and Cox proportional hazards modeling was used to analyze the time to rehospitalization.</p><p><strong>Results: </strong>Single and multiple regression analyses identified the %IBW at discharge as the sole significant predictor of %IBW at 1 year. A receiver operating characteristic curve determined that 86.4%IBW at discharge was the optimal predictor of achieving 90%IBW by 1-year post-discharge. Patients who had achieved ≥ 86.4%IBW at discharge showed better weight trajectories compared with those discharged at < 86.4%IBW. A higher discharge %IBW was associated with prolonged time to rehospitalization, indicating a reduced risk of readmission.</p><p><strong>Conclusions: </strong>Discharging pediatric patients at a higher weight is associated with improved weight recovery and a reduced risk of rehospitalization. A target discharge weight of 86.4%IBW may serve as an effective criterion for children with EDs.</p><p><strong>Level of evidence: </strong>III, case-control analytic studies.</p>","PeriodicalId":11391,"journal":{"name":"Eating and Weight Disorders - Studies on Anorexia, Bulimia and Obesity","volume":"30 1","pages":"29"},"PeriodicalIF":2.8000,"publicationDate":"2025-03-21","publicationTypes":"Journal Article","fieldsOfStudy":null,"isOpenAccess":false,"openAccessPdf":"https://www.ncbi.nlm.nih.gov/pmc/articles/PMC11928381/pdf/","citationCount":"0","resultStr":null,"platform":"Semanticscholar","paperid":null,"PeriodicalName":"Eating and Weight Disorders - Studies on Anorexia, Bulimia and Obesity","FirstCategoryId":"3","ListUrlMain":"https://doi.org/10.1007/s40519-025-01736-1","RegionNum":3,"RegionCategory":"医学","ArticlePicture":[],"TitleCN":null,"AbstractTextCN":null,"PMCID":null,"EPubDate":"","PubModel":"","JCR":"Q2","JCRName":"PSYCHIATRY","Score":null,"Total":0}
引用次数: 0

Abstract

Purpose: There is no consensus regarding the optimal target weight for discharge during the hospitalization of children with eating disorders (EDs). We attempted to identify the ideal discharge weight for children receiving their first inpatient treatment for anorexia nervosa (AN) or avoidant/restrictive food intake disorder (ARFID).

Patients and methods: Sixty children (mean age: 12.8 years) diagnosed with either AN (49 children) or ARFID (11 children) were followed for 1 year after discharge from a psychiatric ward. We analyzed the percent of ideal body weight (%IBW) at discharge, along with physical and social factors, to predict weight outcomes and rehospitalization risk during the first year after discharge. Longitudinal weight trends were assessed, and Cox proportional hazards modeling was used to analyze the time to rehospitalization.

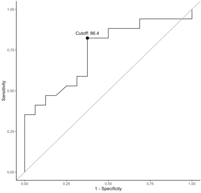
Results: Single and multiple regression analyses identified the %IBW at discharge as the sole significant predictor of %IBW at 1 year. A receiver operating characteristic curve determined that 86.4%IBW at discharge was the optimal predictor of achieving 90%IBW by 1-year post-discharge. Patients who had achieved ≥ 86.4%IBW at discharge showed better weight trajectories compared with those discharged at < 86.4%IBW. A higher discharge %IBW was associated with prolonged time to rehospitalization, indicating a reduced risk of readmission.

Conclusions: Discharging pediatric patients at a higher weight is associated with improved weight recovery and a reduced risk of rehospitalization. A target discharge weight of 86.4%IBW may serve as an effective criterion for children with EDs.

Level of evidence: III, case-control analytic studies.

Abstract Image

Abstract Image

Abstract Image

首次接受饮食失调住院治疗的儿童出院时的目标体重。
目的:关于进食障碍(ED)患儿住院期间的最佳出院目标体重,目前尚未达成共识。我们试图确定首次接受住院治疗的神经性厌食症(AN)或回避型/限制性食物摄入障碍(ARFID)患儿的理想出院体重:我们对 60 名被诊断为厌食症(49 名)或限制性食物摄入障碍(11 名)的儿童(平均年龄:12.8 岁)进行了为期一年的出院后随访。我们分析了出院时理想体重的百分比(%IBW)以及身体和社会因素,以预测出院后第一年的体重结果和再住院风险。我们对体重的纵向趋势进行了评估,并使用考克斯比例危险模型分析了再次入院的时间:结果:单一和多元回归分析表明,出院时的 IBW 百分比是预测 1 年后 IBW 百分比的唯一重要指标。根据接收器操作特征曲线确定,出院时86.4%的IBW是预测出院后1年达到90%IBW的最佳指标。出院时达到≥86.4%IBW的患者与得出结论时出院的患者相比,体重轨迹更好:让体重较高的儿科患者出院与改善体重恢复和降低再住院风险有关。86.4%IBW的目标出院体重可作为ED儿童的有效标准:III,病例对照分析研究。
本文章由计算机程序翻译,如有差异,请以英文原文为准。
求助全文
约1分钟内获得全文 求助全文
来源期刊
CiteScore
6.50
自引率
10.30%
发文量
170
审稿时长
>12 weeks
期刊介绍: Eating and Weight Disorders - Studies on Anorexia, Bulimia and Obesity is a scientific journal whose main purpose is to create an international forum devoted to the several sectors of eating disorders and obesity and the significant relations between them. The journal publishes basic research, clinical and theoretical articles on eating disorders and weight-related problems: anorexia nervosa, bulimia nervosa, subthreshold eating disorders, obesity, atypical patterns of eating behaviour and body weight regulation in clinical and non-clinical populations.
×
引用
GB/T 7714-2015
复制
MLA
复制
APA
复制
导出至
BibTeX EndNote RefMan NoteFirst NoteExpress
×
提示
您的信息不完整,为了账户安全,请先补充。
现在去补充
×
提示
您因"违规操作"
具体请查看互助需知
我知道了
×
提示
确定
请完成安全验证×
copy
已复制链接
快去分享给好友吧!
我知道了
右上角分享
点击右上角分享
0
联系我们:info@booksci.cn Book学术提供免费学术资源搜索服务,方便国内外学者检索中英文文献。致力于提供最便捷和优质的服务体验。 Copyright © 2023 布克学术 All rights reserved.
京ICP备2023020795号-1
ghs 京公网安备 11010802042870号
Book学术文献互助
Book学术文献互助群
群 号:604180095
Book学术官方微信