The complex interaction between oestrogen receptor genes, oestradiol, and perinatal mood.

IF 8.9 2区 医学 Q1 Medicine
Dialogues in Clinical Neuroscience Pub Date : 2025-12-01 Epub Date: 2025-03-21 DOI:10.1080/19585969.2025.2482126
Gianna Zorzini, Alexandra Johann, Jelena Dukic, Ulrike Ehlert
{"title":"The complex interaction between oestrogen receptor genes, oestradiol, and perinatal mood.","authors":"Gianna Zorzini, Alexandra Johann, Jelena Dukic, Ulrike Ehlert","doi":"10.1080/19585969.2025.2482126","DOIUrl":null,"url":null,"abstract":"<p><strong>Introduction: </strong>Genetic variations in oestrogen receptor (ER) genes are associated with inter-individual differences in the sensitivity of ER-α, ER-β and G protein-coupled oestrogen receptor (GPER). These sensitivity differences may modulate susceptibility to mood changes during phases of endogenous oestrogen fluctuations, thereby explaining individual vulnerability. This study examined the association between ER gene variations, oestradiol and perinatal mood disturbances.</p><p><strong>Methods: </strong>A total of 159 women were observed during the perinatal period, providing saliva samples for oestradiol assessment and completing self-report measures of depressive and anxiety symptoms at five time points. Polymorphisms in ER genes were determined from dried blood spots. The associations were analysed using linear mixed models.</p><p><strong>Results: </strong>The ER-α gene haplotypes were associated with perinatal mood disturbances. The CG haplotype was associated with perinatal depressive (<i>p</i> = 0.0162, F-test) and anxiety symptoms (<i>p</i> = 2.396e-05, F-test), whereas the TA haplotype was associated with perinatal anxiety symptoms (<i>p</i> = 0.004, F-test). The interaction between ER gene variations, oestradiol and perinatal mood disturbances was not significant.</p><p><strong>Conclusions: </strong>ER-α gene variations are associated with an increased susceptibility to perinatal mood disturbances. Sensitivity differences in ER-α appear to play a more important role for emotional processes than those in ER-β and GPER, independently of oestradiol levels. This might be explained by ER-α's more dominant expression in the hypothalamus and amygdala.</p>","PeriodicalId":54343,"journal":{"name":"Dialogues in Clinical Neuroscience","volume":"27 1","pages":"24-33"},"PeriodicalIF":8.9000,"publicationDate":"2025-12-01","publicationTypes":"Journal Article","fieldsOfStudy":null,"isOpenAccess":false,"openAccessPdf":"https://www.ncbi.nlm.nih.gov/pmc/articles/PMC11934172/pdf/","citationCount":"0","resultStr":null,"platform":"Semanticscholar","paperid":null,"PeriodicalName":"Dialogues in Clinical Neuroscience","FirstCategoryId":"3","ListUrlMain":"https://doi.org/10.1080/19585969.2025.2482126","RegionNum":2,"RegionCategory":"医学","ArticlePicture":[],"TitleCN":null,"AbstractTextCN":null,"PMCID":null,"EPubDate":"2025/3/21 0:00:00","PubModel":"Epub","JCR":"Q1","JCRName":"Medicine","Score":null,"Total":0}
引用次数: 0

Abstract

Introduction: Genetic variations in oestrogen receptor (ER) genes are associated with inter-individual differences in the sensitivity of ER-α, ER-β and G protein-coupled oestrogen receptor (GPER). These sensitivity differences may modulate susceptibility to mood changes during phases of endogenous oestrogen fluctuations, thereby explaining individual vulnerability. This study examined the association between ER gene variations, oestradiol and perinatal mood disturbances.

Methods: A total of 159 women were observed during the perinatal period, providing saliva samples for oestradiol assessment and completing self-report measures of depressive and anxiety symptoms at five time points. Polymorphisms in ER genes were determined from dried blood spots. The associations were analysed using linear mixed models.

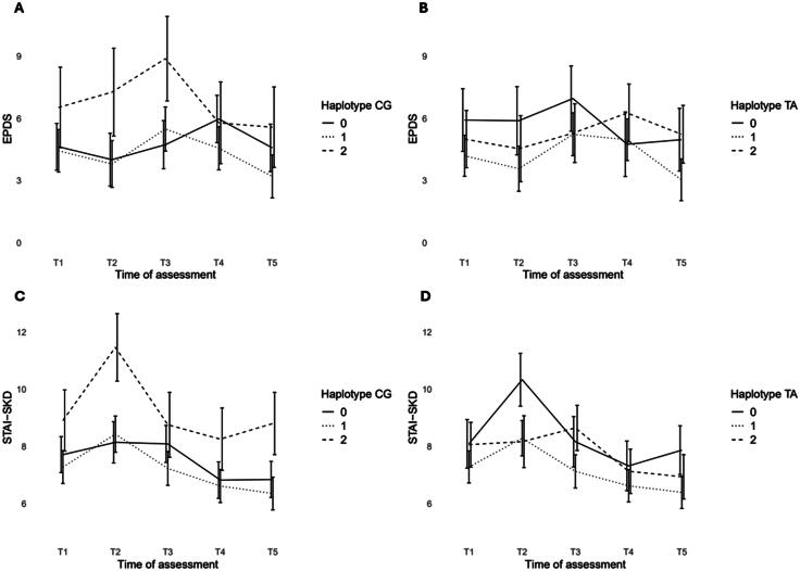
Results: The ER-α gene haplotypes were associated with perinatal mood disturbances. The CG haplotype was associated with perinatal depressive (p = 0.0162, F-test) and anxiety symptoms (p = 2.396e-05, F-test), whereas the TA haplotype was associated with perinatal anxiety symptoms (p = 0.004, F-test). The interaction between ER gene variations, oestradiol and perinatal mood disturbances was not significant.

Conclusions: ER-α gene variations are associated with an increased susceptibility to perinatal mood disturbances. Sensitivity differences in ER-α appear to play a more important role for emotional processes than those in ER-β and GPER, independently of oestradiol levels. This might be explained by ER-α's more dominant expression in the hypothalamus and amygdala.

Abstract Image

Abstract Image

雌激素受体基因、雌二醇和围产期情绪之间复杂的相互作用。
雌激素受体(ER)基因的遗传变异与ER-α、ER-β和G蛋白偶联雌激素受体(GPER)敏感性的个体差异有关。这些敏感性差异可能会调节内源性雌激素波动阶段对情绪变化的易感性,从而解释个体的脆弱性。本研究考察了雌激素受体基因变异、雌二醇和围产期情绪障碍之间的关系。方法:对159名围产期妇女进行观察,在5个时间点提供唾液样本进行雌二醇评估,并完成抑郁和焦虑症状的自我报告。从干血斑中测定ER基因多态性。使用线性混合模型分析了这些关联。结果:ER-α基因单倍型与围产期情绪障碍相关。CG单倍型与围产期抑郁(p = 0.0162, F-test)和焦虑症状(p = 2.396e-05, F-test)相关,TA单倍型与围产期焦虑症状相关(p = 0.004, F-test)。雌激素受体基因变异、雌二醇与围产期情绪障碍之间的相互作用不显著。结论:ER-α基因变异与围产期情绪障碍易感性增加有关。与雌二醇水平无关,ER-α的敏感性差异似乎比ER-β和GPER在情绪过程中发挥更重要的作用。这可能是由于ER-α在下丘脑和杏仁核中更占优势的表达。
本文章由计算机程序翻译,如有差异,请以英文原文为准。
求助全文
约1分钟内获得全文 求助全文
来源期刊
Dialogues in Clinical Neuroscience
Dialogues in Clinical Neuroscience Medicine-Psychiatry and Mental Health
CiteScore
19.30
自引率
1.20%
发文量
1
期刊介绍: Dialogues in Clinical Neuroscience (DCNS) endeavors to bridge the gap between clinical neuropsychiatry and the neurosciences by offering state-of-the-art information and original insights into pertinent clinical, biological, and therapeutic aspects. As an open access journal, DCNS ensures accessibility to its content for all interested parties. Each issue is curated to include expert reviews, original articles, and brief reports, carefully selected to offer a comprehensive understanding of the evolving landscape in clinical neuroscience. Join us in advancing knowledge and fostering dialogue in this dynamic field.
×
引用
GB/T 7714-2015
复制
MLA
复制
APA
复制
导出至
BibTeX EndNote RefMan NoteFirst NoteExpress
×
提示
您的信息不完整,为了账户安全,请先补充。
现在去补充
×
提示
您因"违规操作"
具体请查看互助需知
我知道了
×
提示
确定
请完成安全验证×
copy
已复制链接
快去分享给好友吧!
我知道了
右上角分享
点击右上角分享
0
联系我们:info@booksci.cn Book学术提供免费学术资源搜索服务,方便国内外学者检索中英文文献。致力于提供最便捷和优质的服务体验。 Copyright © 2023 布克学术 All rights reserved.
京ICP备2023020795号-1
ghs 京公网安备 11010802042870号
Book学术文献互助
Book学术文献互助群
群 号:604180095
Book学术官方微信