Clinical significance of caspase-1 in coronary artery lesions in Kawasaki disease and its mechanism of action on vascular smooth muscle cells.

IF 1.4 4区 医学 Q3 ALLERGY
Postepy Dermatologii I Alergologii Pub Date : 2025-02-01 Epub Date: 2024-12-03 DOI:10.5114/ada.2024.145459
Yang Yang, Daqing Sun, Rui Ma, Mei Lv, Weikai Wang
{"title":"Clinical significance of caspase-1 in coronary artery lesions in Kawasaki disease and its mechanism of action on vascular smooth muscle cells.","authors":"Yang Yang, Daqing Sun, Rui Ma, Mei Lv, Weikai Wang","doi":"10.5114/ada.2024.145459","DOIUrl":null,"url":null,"abstract":"<p><strong>Introduction: </strong>Kawasaki disease (KD) is a highly common vascular inflammation in children, with coronary artery lesion (CAL) being one of its most common complications and a key factor for adverse prognosis.</p><p><strong>Aim: </strong>In this study, we observed the clinical significance of caspase-1 in KD and CAL, and found that caspase-1 was elevated in KD and showed an excellent diagnostic value.</p><p><strong>Material and methods: </strong>A prospective analysis was conducted on 67 children with acute KD admitted to our hospital from August 2022 to April 2023 (research group) and 67 healthy outpatient children during the same period (control group). The differences in caspase-1 expression levels between the two study groups were compared, and the diagnostic value of caspase-1 for KD was analyzed using the receiver operating characteristic (ROC) curve. Subsequently, the correlation between caspase-1 and inflammatory factors in the study groups was observed and the diagnostic value of caspase-1 for CAL was analyzed. Subsequently, human coronary artery smooth muscle cells (HCASMCs) were purchased, and caspase-1 aberrant expression vectors were transfected into HCASMCs to detect the proliferation and apoptosis ability of the cells.</p><p><strong>Results: </strong>Caspase-1 of the research group was higher than that of the control group, and the sensitivity and specificity of caspase-1 for diagnosing the occurrence of KD were 50.75% and 89.55%, respectively (<i>p</i> < 0.05). Pearson correlation coefficients showed a positive correlation between both caspase-1 and inflammatory factors in the research group (<i>p</i> < 0.05). In addition, caspase-1 showed an excellent diagnostic effect on the occurrence of CAL. In <i>in vitro</i> assays, elevated caspase-1 expression was seen to promote aberrant proliferation and inhibit apoptosis in HCASMCs (<i>p</i> < 0.05).</p><p><strong>Conclusions: </strong>Caspase-1 is elevated in KD and shows an excellent diagnostic value for both KD and the occurrence of CAL in KD patients, possibly through promoting the abnormal proliferation of HCASMCs.</p>","PeriodicalId":54595,"journal":{"name":"Postepy Dermatologii I Alergologii","volume":"42 1","pages":"96-104"},"PeriodicalIF":1.4000,"publicationDate":"2025-02-01","publicationTypes":"Journal Article","fieldsOfStudy":null,"isOpenAccess":false,"openAccessPdf":"https://www.ncbi.nlm.nih.gov/pmc/articles/PMC11921926/pdf/","citationCount":"0","resultStr":null,"platform":"Semanticscholar","paperid":null,"PeriodicalName":"Postepy Dermatologii I Alergologii","FirstCategoryId":"3","ListUrlMain":"https://doi.org/10.5114/ada.2024.145459","RegionNum":4,"RegionCategory":"医学","ArticlePicture":[],"TitleCN":null,"AbstractTextCN":null,"PMCID":null,"EPubDate":"2024/12/3 0:00:00","PubModel":"Epub","JCR":"Q3","JCRName":"ALLERGY","Score":null,"Total":0}
引用次数: 0

Abstract

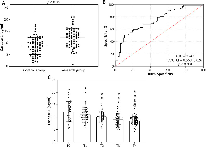
Introduction: Kawasaki disease (KD) is a highly common vascular inflammation in children, with coronary artery lesion (CAL) being one of its most common complications and a key factor for adverse prognosis.

Aim: In this study, we observed the clinical significance of caspase-1 in KD and CAL, and found that caspase-1 was elevated in KD and showed an excellent diagnostic value.

Material and methods: A prospective analysis was conducted on 67 children with acute KD admitted to our hospital from August 2022 to April 2023 (research group) and 67 healthy outpatient children during the same period (control group). The differences in caspase-1 expression levels between the two study groups were compared, and the diagnostic value of caspase-1 for KD was analyzed using the receiver operating characteristic (ROC) curve. Subsequently, the correlation between caspase-1 and inflammatory factors in the study groups was observed and the diagnostic value of caspase-1 for CAL was analyzed. Subsequently, human coronary artery smooth muscle cells (HCASMCs) were purchased, and caspase-1 aberrant expression vectors were transfected into HCASMCs to detect the proliferation and apoptosis ability of the cells.

Results: Caspase-1 of the research group was higher than that of the control group, and the sensitivity and specificity of caspase-1 for diagnosing the occurrence of KD were 50.75% and 89.55%, respectively (p < 0.05). Pearson correlation coefficients showed a positive correlation between both caspase-1 and inflammatory factors in the research group (p < 0.05). In addition, caspase-1 showed an excellent diagnostic effect on the occurrence of CAL. In in vitro assays, elevated caspase-1 expression was seen to promote aberrant proliferation and inhibit apoptosis in HCASMCs (p < 0.05).

Conclusions: Caspase-1 is elevated in KD and shows an excellent diagnostic value for both KD and the occurrence of CAL in KD patients, possibly through promoting the abnormal proliferation of HCASMCs.

Abstract Image

Abstract Image

Abstract Image

caspase-1在川崎病冠状动脉病变中的临床意义及其对血管平滑肌细胞的作用机制
川崎病(Kawasaki disease, KD)是儿童中一种非常常见的血管炎症,冠状动脉病变(coronary artery病变,CAL)是其最常见的并发症之一,也是影响预后的关键因素。目的:本研究观察caspase-1在KD和CAL中的临床意义,发现caspase-1在KD中升高,具有很好的诊断价值。材料与方法:对我院2022年8月至2023年4月收治的67例急性KD患儿(研究组)和67例同期健康门诊患儿(对照组)进行前瞻性分析。比较两组患者caspase-1表达水平的差异,并采用受试者工作特征(ROC)曲线分析caspase-1对KD的诊断价值。随后观察各组caspase-1与炎症因子的相关性,并分析caspase-1对CAL的诊断价值。随后,购买人冠状动脉平滑肌细胞(HCASMCs),将caspase-1异常表达载体转染到HCASMCs中,检测细胞的增殖和凋亡能力。结果:研究组Caspase-1水平高于对照组,诊断KD发生的敏感性和特异性分别为50.75%和89.55% (p < 0.05)。Pearson相关系数显示研究组caspase-1与炎症因子呈正相关(p < 0.05)。此外,caspase-1对CAL的发生具有良好的诊断作用。体外实验发现,caspase-1表达升高可促进HCASMCs异常增殖,抑制凋亡(p < 0.05)。结论:Caspase-1在KD中升高,可能通过促进HCASMCs的异常增殖,对KD患者的KD和CAL的发生都有很好的诊断价值。
本文章由计算机程序翻译,如有差异,请以英文原文为准。
求助全文
约1分钟内获得全文 求助全文
来源期刊
CiteScore
2.60
自引率
7.10%
发文量
107
审稿时长
6-12 weeks
期刊介绍: Advances in Dermatology and Allergology/Postępy Dermatologii i Alergologii is a bimonthly aimed at allergologists and dermatologists.
×
引用
GB/T 7714-2015
复制
MLA
复制
APA
复制
导出至
BibTeX EndNote RefMan NoteFirst NoteExpress
×
提示
您的信息不完整,为了账户安全,请先补充。
现在去补充
×
提示
您因"违规操作"
具体请查看互助需知
我知道了
×
提示
确定
请完成安全验证×
copy
已复制链接
快去分享给好友吧!
我知道了
右上角分享
点击右上角分享
0
联系我们:info@booksci.cn Book学术提供免费学术资源搜索服务,方便国内外学者检索中英文文献。致力于提供最便捷和优质的服务体验。 Copyright © 2023 布克学术 All rights reserved.
京ICP备2023020795号-1
ghs 京公网安备 11010802042870号
Book学术文献互助
Book学术文献互助群
群 号:604180095
Book学术官方微信