Antimicrobial susceptibility of gram-negative strains isolated from bloodstream infections in China: Results from the study for monitoring antimicrobial resistance trends (SMART) 2018-2020.

IF 2.2 4区 医学 Q3 INFECTIOUS DISEASES
Yili Chen, Pingjuan Liu, Huayin Li, Wenxiang Huang, Chunxia Yang, Mei Kang, Xiaofeng Jiang, Bin Shan, Hong He, Fupin Hu, Pengcheng Li, Yingchun Xu, Kang Liao
{"title":"Antimicrobial susceptibility of gram-negative strains isolated from bloodstream infections in China: Results from the study for monitoring antimicrobial resistance trends (SMART) 2018-2020.","authors":"Yili Chen, Pingjuan Liu, Huayin Li, Wenxiang Huang, Chunxia Yang, Mei Kang, Xiaofeng Jiang, Bin Shan, Hong He, Fupin Hu, Pengcheng Li, Yingchun Xu, Kang Liao","doi":"10.1017/S0950268824001286","DOIUrl":null,"url":null,"abstract":"<p><p>The study aims were to present in vitro susceptibilities of clinical isolates from Gram-negative bacteria bloodstream infections (GNBSI) collected in China. GNBSI isolates were collected from 18 tertiary hospitals in 7 regions of China from 2018 to 2020. Minimum inhibitory concentrations were assessed using a Trek Diagnostic System. Susceptibility was determined using CLSI broth microdilution, and breakpoints were interpreted using CLSI M100 (2021). A total of 1,815 GNBSI strains were collected, with <i>E. coli</i> (42.4%) and <i>Klebsiella pneumoniae</i> (28.6%) being the most prevalent species, followed by <i>P. aeruginosa</i> (6.7%). Susceptibility analyses revealed low susceptibilities (<40%) of ESBL-producing <i>E. coli</i> and <i>K. pneumonia</i> to third-/fourth-generation cephalosporins, monobactamases, and fluoroquinolones. High susceptibilities to colistin (95.0%) and amikacin (81.3%) were found for <i>K. pneumoniae</i>, while <i>Acinetobacter baumannii</i> exhibited a high susceptibility (99.2%) to colistin but a low susceptibility to other antimicrobials (<27.5%). Isolates from ICUs displayed lower drug susceptibility rates of <i>K. pneumoniae</i> and <i>A. baumannii</i> than isolates from non-ICUs (all <i>P</i> < 0.05). Carbapenem-resistant and ESBL-producing <i>K. pneumoniae</i> detection was different across regions (both <i>P</i> < 0.05). <i>E. coli</i> and <i>K. pneumoniae</i> were major contributors to GNBSI, while <i>A. baumannii</i> exhibited severe drug resistance in isolates obtained from ICU departments.</p>","PeriodicalId":11721,"journal":{"name":"Epidemiology and Infection","volume":"153 ","pages":"e48"},"PeriodicalIF":2.2000,"publicationDate":"2025-03-21","publicationTypes":"Journal Article","fieldsOfStudy":null,"isOpenAccess":false,"openAccessPdf":"https://www.ncbi.nlm.nih.gov/pmc/articles/PMC11951230/pdf/","citationCount":"0","resultStr":null,"platform":"Semanticscholar","paperid":null,"PeriodicalName":"Epidemiology and Infection","FirstCategoryId":"3","ListUrlMain":"https://doi.org/10.1017/S0950268824001286","RegionNum":4,"RegionCategory":"医学","ArticlePicture":[],"TitleCN":null,"AbstractTextCN":null,"PMCID":null,"EPubDate":"","PubModel":"","JCR":"Q3","JCRName":"INFECTIOUS DISEASES","Score":null,"Total":0}
引用次数: 0

Abstract

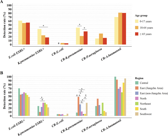
The study aims were to present in vitro susceptibilities of clinical isolates from Gram-negative bacteria bloodstream infections (GNBSI) collected in China. GNBSI isolates were collected from 18 tertiary hospitals in 7 regions of China from 2018 to 2020. Minimum inhibitory concentrations were assessed using a Trek Diagnostic System. Susceptibility was determined using CLSI broth microdilution, and breakpoints were interpreted using CLSI M100 (2021). A total of 1,815 GNBSI strains were collected, with E. coli (42.4%) and Klebsiella pneumoniae (28.6%) being the most prevalent species, followed by P. aeruginosa (6.7%). Susceptibility analyses revealed low susceptibilities (<40%) of ESBL-producing E. coli and K. pneumonia to third-/fourth-generation cephalosporins, monobactamases, and fluoroquinolones. High susceptibilities to colistin (95.0%) and amikacin (81.3%) were found for K. pneumoniae, while Acinetobacter baumannii exhibited a high susceptibility (99.2%) to colistin but a low susceptibility to other antimicrobials (<27.5%). Isolates from ICUs displayed lower drug susceptibility rates of K. pneumoniae and A. baumannii than isolates from non-ICUs (all P < 0.05). Carbapenem-resistant and ESBL-producing K. pneumoniae detection was different across regions (both P < 0.05). E. coli and K. pneumoniae were major contributors to GNBSI, while A. baumannii exhibited severe drug resistance in isolates obtained from ICU departments.

Abstract Image

Abstract Image

Abstract Image

中国血液感染分离的革兰氏阴性菌株的抗生素敏感性:2018-2020年抗菌药物耐药性趋势监测研究(SMART)结果
研究旨在介绍中国收集的革兰氏阴性菌血流感染(GNBSI)临床分离株的体外药敏性。GNBSI 分离物于 2018 年至 2020 年期间从中国 7 个地区的 18 家三级医院采集。使用 Trek 诊断系统评估最低抑菌浓度。使用 CLSI 肉汤微量稀释法测定药敏性,并使用 CLSI M100(2021 年)解释断点。共收集到 1,815 株 GNBSI 菌株,其中大肠杆菌(42.4%)和肺炎克雷伯菌(28.6%)是最常见的菌种,其次是铜绿假单胞菌(6.7%)。药敏分析表明,大肠杆菌和肺炎克雷伯菌对第三代/第四代头孢菌素、单内酰胺酶和氟喹诺酮类药物的敏感性较低。肺炎克氏菌对可乐定(95.0%)和阿米卡星(81.3%)有较高的敏感性,而鲍曼不动杆菌对可乐定有较高的敏感性(99.2%),但对其他抗菌药物的敏感性较低(肺炎克氏菌和鲍曼不动杆菌对其他抗菌药物的敏感性低于肺炎克氏菌)。与来自非重症监护室的分离株相比,各地区对肺炎克雷伯菌的检出率不同(大肠杆菌和肺炎克雷伯菌都是 GNBSI 的主要致病菌,而鲍曼不动杆菌对来自重症监护室的分离株表现出严重的耐药性)。
本文章由计算机程序翻译,如有差异,请以英文原文为准。
求助全文
约1分钟内获得全文 求助全文
来源期刊
Epidemiology and Infection
Epidemiology and Infection 医学-传染病学
CiteScore
4.10
自引率
2.40%
发文量
366
审稿时长
3-6 weeks
期刊介绍: Epidemiology & Infection publishes original reports and reviews on all aspects of infection in humans and animals. Particular emphasis is given to the epidemiology, prevention and control of infectious diseases. The scope covers the zoonoses, outbreaks, food hygiene, vaccine studies, statistics and the clinical, social and public-health aspects of infectious disease, as well as some tropical infections. It has become the key international periodical in which to find the latest reports on recently discovered infections and new technology. For those concerned with policy and planning for the control of infections, the papers on mathematical modelling of epidemics caused by historical, current and emergent infections are of particular value.
×
引用
GB/T 7714-2015
复制
MLA
复制
APA
复制
导出至
BibTeX EndNote RefMan NoteFirst NoteExpress
×
提示
您的信息不完整,为了账户安全,请先补充。
现在去补充
×
提示
您因"违规操作"
具体请查看互助需知
我知道了
×
提示
确定
请完成安全验证×
copy
已复制链接
快去分享给好友吧!
我知道了
右上角分享
点击右上角分享
0
联系我们:info@booksci.cn Book学术提供免费学术资源搜索服务,方便国内外学者检索中英文文献。致力于提供最便捷和优质的服务体验。 Copyright © 2023 布克学术 All rights reserved.
京ICP备2023020795号-1
ghs 京公网安备 11010802042870号
Book学术文献互助
Book学术文献互助群
群 号:604180095
Book学术官方微信