Analytical Interference of Exemestane With Androstenedione Immunoassays.

IF 3.9 2区 医学 Q1 MEDICAL LABORATORY TECHNOLOGY
Annals of Laboratory Medicine Pub Date : 2025-07-01 Epub Date: 2025-03-21 DOI:10.3343/alm.2024.0362
Marina Giralt, Roser Ferrer, Noelia Díaz-Troyano, Belén Vega, Manuel Luque-Ramírez, Sílvia Martínez, Bárbara Fernández, Irene Martínez, Aleix Fabregat, Eulalia Urgell, Ignacio Cardona, Gregori Casals, Héctor F Escobar-Morreale
{"title":"Analytical Interference of Exemestane With Androstenedione Immunoassays.","authors":"Marina Giralt, Roser Ferrer, Noelia Díaz-Troyano, Belén Vega, Manuel Luque-Ramírez, Sílvia Martínez, Bárbara Fernández, Irene Martínez, Aleix Fabregat, Eulalia Urgell, Ignacio Cardona, Gregori Casals, Héctor F Escobar-Morreale","doi":"10.3343/alm.2024.0362","DOIUrl":null,"url":null,"abstract":"<p><strong>Background: </strong>Exemestane, an aromatase inhibitor commonly used for breast cancer treatment, shares structural similarities with sex steroids analyzed in clinical laboratories. We aimed to investigate the influence of exemestane cross-reactivity in the measurement of sex steroids across various immunoassays.</p><p><strong>Methods: </strong>We conducted a multicenter study involving measurements of androstenedione, testosterone, estradiol, progesterone, and 17-hydroxyprogesterone in serum samples from women undergoing exemestane therapy (N=15; 25 mg/day). Measurements were performed using liquid chromatography-mass spectrometry (LC-MS) and various commercially available chemiluminescence immunoassays, ELISA, and radioimmunoassay. In-vitro cross-reactivity was assessed by adding exemestane and 17-hydroexemestane to serum samples.</p><p><strong>Results: </strong>Patients undergoing exemestane therapy had markedly falsely elevated androstenedione results in all immunoassays evaluated (N=4), which correlated with serum exemestane levels. <i>In-vitro</i> experiments confirmed this interference to be caused by cross-reactivity with exemestane. Additionally, one immunoassay yielded falsely elevated estradiol results in 20% of patients. However, <i>in-vitro</i> experiments did not confirm this to be caused by cross-reactivity with exemestane or 17-hydroexemestane.</p><p><strong>Conclusions: </strong>Exemestane cross-reacts with androstenedione immunoassays, causing falsely elevated results in treated patients. This analytical interference may raise unnecessary concerns, leading to expensive diagnostic workups.</p>","PeriodicalId":8421,"journal":{"name":"Annals of Laboratory Medicine","volume":" ","pages":"410-419"},"PeriodicalIF":3.9000,"publicationDate":"2025-07-01","publicationTypes":"Journal Article","fieldsOfStudy":null,"isOpenAccess":false,"openAccessPdf":"https://www.ncbi.nlm.nih.gov/pmc/articles/PMC12187492/pdf/","citationCount":"0","resultStr":null,"platform":"Semanticscholar","paperid":null,"PeriodicalName":"Annals of Laboratory Medicine","FirstCategoryId":"3","ListUrlMain":"https://doi.org/10.3343/alm.2024.0362","RegionNum":2,"RegionCategory":"医学","ArticlePicture":[],"TitleCN":null,"AbstractTextCN":null,"PMCID":null,"EPubDate":"2025/3/21 0:00:00","PubModel":"Epub","JCR":"Q1","JCRName":"MEDICAL LABORATORY TECHNOLOGY","Score":null,"Total":0}
引用次数: 0

Abstract

Background: Exemestane, an aromatase inhibitor commonly used for breast cancer treatment, shares structural similarities with sex steroids analyzed in clinical laboratories. We aimed to investigate the influence of exemestane cross-reactivity in the measurement of sex steroids across various immunoassays.

Methods: We conducted a multicenter study involving measurements of androstenedione, testosterone, estradiol, progesterone, and 17-hydroxyprogesterone in serum samples from women undergoing exemestane therapy (N=15; 25 mg/day). Measurements were performed using liquid chromatography-mass spectrometry (LC-MS) and various commercially available chemiluminescence immunoassays, ELISA, and radioimmunoassay. In-vitro cross-reactivity was assessed by adding exemestane and 17-hydroexemestane to serum samples.

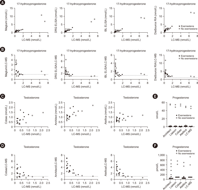
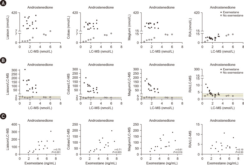
Results: Patients undergoing exemestane therapy had markedly falsely elevated androstenedione results in all immunoassays evaluated (N=4), which correlated with serum exemestane levels. In-vitro experiments confirmed this interference to be caused by cross-reactivity with exemestane. Additionally, one immunoassay yielded falsely elevated estradiol results in 20% of patients. However, in-vitro experiments did not confirm this to be caused by cross-reactivity with exemestane or 17-hydroexemestane.

Conclusions: Exemestane cross-reacts with androstenedione immunoassays, causing falsely elevated results in treated patients. This analytical interference may raise unnecessary concerns, leading to expensive diagnostic workups.

Abstract Image

Abstract Image

Abstract Image

依西美坦与雄烯二酮免疫分析法的干扰分析。
背景:依西美坦是一种芳香酶抑制剂,常用于乳腺癌治疗,与临床实验室分析的性类固醇具有结构相似性。我们的目的是研究依西美坦交叉反应性对各种免疫测定性类固醇的影响。方法:我们进行了一项多中心研究,包括在接受依西美坦治疗的妇女血清样本中测量雄烯二酮、睾酮、雌二醇、孕酮和17-羟孕酮(N=15;25毫克/天)。使用液相色谱-质谱(LC-MS)和各种市售化学发光免疫测定法、ELISA和放射免疫测定法进行测量。通过在血清样品中添加依西美坦和17-氢依西美坦来评估体外交叉反应性。结果:接受依西美坦治疗的患者在所有评估的免疫分析中雄烯二酮结果明显升高(N=4),这与血清依西美坦水平相关。体外实验证实这种干扰是由与依西美坦的交叉反应引起的。此外,一项免疫测定结果显示20%的患者雌二醇水平错误升高。然而,体外实验并没有证实这是由与依西美坦或17-氢依西美坦的交叉反应引起的。结论:依西美坦与雄烯二酮免疫测定交叉反应,导致治疗患者结果错误升高。这种分析干扰可能引起不必要的担忧,导致昂贵的诊断检查。
本文章由计算机程序翻译,如有差异,请以英文原文为准。
求助全文
约1分钟内获得全文 求助全文
来源期刊
Annals of Laboratory Medicine
Annals of Laboratory Medicine MEDICAL LABORATORY TECHNOLOGY-
CiteScore
8.30
自引率
12.20%
发文量
100
审稿时长
6-12 weeks
期刊介绍: Annals of Laboratory Medicine is the official journal of Korean Society for Laboratory Medicine. The journal title has been recently changed from the Korean Journal of Laboratory Medicine (ISSN, 1598-6535) from the January issue of 2012. The JCR 2017 Impact factor of Ann Lab Med was 1.916.
×
引用
GB/T 7714-2015
复制
MLA
复制
APA
复制
导出至
BibTeX EndNote RefMan NoteFirst NoteExpress
×
提示
您的信息不完整,为了账户安全,请先补充。
现在去补充
×
提示
您因"违规操作"
具体请查看互助需知
我知道了
×
提示
确定
请完成安全验证×
copy
已复制链接
快去分享给好友吧!
我知道了
右上角分享
点击右上角分享
0
联系我们:info@booksci.cn Book学术提供免费学术资源搜索服务,方便国内外学者检索中英文文献。致力于提供最便捷和优质的服务体验。 Copyright © 2023 布克学术 All rights reserved.
京ICP备2023020795号-1
ghs 京公网安备 11010802042870号
Book学术文献互助
Book学术文献互助群
群 号:604180095
Book学术官方微信