Supervised machine learning including environmental factors to predict in-hospital outcomes in acute heart failure patients.

IF 4.4 Q1 CARDIAC & CARDIOVASCULAR SYSTEMS
European heart journal. Digital health Pub Date : 2024-12-16 eCollection Date: 2025-03-01 DOI:10.1093/ehjdh/ztae094
Benjamin Sibilia, Solenn Toupin, Nabil Bouali, Jean-Baptiste Brette, Arthur Ramonatxo, Guillaume Schurtz, Kenza Hamzi, Antonin Trimaille, Emmanuel Gall, Nicolas Piliero, Alexandre Unger, Stéphane Andrieu, Trecy Gonçalves, Fabien Picard, Vincent Roule, François Roubille, Sonia Houssany-Pissot, Océane Bouchot, Victor Aboyans, Reza Rossanaly Vasram, Thomas Bochaton, Damien Logeart, Alain Cohen Solal, Jérôme Cartailler, Alexandre Mebazaa, Jean-Guillaume Dillinger, Patrick Henry, Théo Pezel
{"title":"Supervised machine learning including environmental factors to predict in-hospital outcomes in acute heart failure patients.","authors":"Benjamin Sibilia, Solenn Toupin, Nabil Bouali, Jean-Baptiste Brette, Arthur Ramonatxo, Guillaume Schurtz, Kenza Hamzi, Antonin Trimaille, Emmanuel Gall, Nicolas Piliero, Alexandre Unger, Stéphane Andrieu, Trecy Gonçalves, Fabien Picard, Vincent Roule, François Roubille, Sonia Houssany-Pissot, Océane Bouchot, Victor Aboyans, Reza Rossanaly Vasram, Thomas Bochaton, Damien Logeart, Alain Cohen Solal, Jérôme Cartailler, Alexandre Mebazaa, Jean-Guillaume Dillinger, Patrick Henry, Théo Pezel","doi":"10.1093/ehjdh/ztae094","DOIUrl":null,"url":null,"abstract":"<p><strong>Aims: </strong>While few traditional scores are available for risk stratification of patients hospitalized for acute heart failure (AHF), the potential benefit of machine learning (ML) is not well established. We aimed to assess the feasibility and accuracy of a supervised ML model including environmental factors to predict in-hospital major adverse events (MAEs) in patients hospitalized for AHF.</p><p><strong>Methods and results: </strong>In April 2021, a French national prospective multicentre study included all consecutive patients hospitalized in intensive cardiac care unit. Patients admitted for AHF were included in the analyses. A ML model involving automated feature selection by least absolute shrinkage and selection operator (LASSO) and model building with a random forest (RF) algorithm was developed. The primary composite outcome was in-hospital MAE defined by death, resuscitated cardiac arrest, or cardiogenic shock requiring assistance. Among 459 patients included (age 68 ± 14 years, 68% male), 47 experienced in-hospital MAE (10.2%). Seven variables were selected by LASSO for predicting MAE in the training data set (<i>n</i> = 322): mean arterial pressure, ischaemic aetiology, sub-aortic velocity time integral, E/e', tricuspid annular plane systolic excursion, recreational drug use, and exhaled carbon monoxide level. The RF model showed the best performance compared with other evaluated models [area under the receiver operating curve (AUROC) = 0.82, 95% confidence interval (CI) (0.78-0.86); precision-recall area under the curve = 0.48, 95% CI (0.42-0.5), <i>F</i>1 score = 0.56). Our ML model exhibited a higher AUROC compared with an existing score for the prediction of MAE (AUROC for our ML model: 0.82 vs. ACUTE HF score: 0.57; <i>P</i> < 0.001).</p><p><strong>Conclusion: </strong>Our ML model including in particular environmental variables exhibited a better performance than traditional statistical methods to predict in-hospital outcomes in patients admitted for AHF.</p><p><strong>Study registration: </strong>ClinicalTrials.gov identifier: NCT05063097.</p>","PeriodicalId":72965,"journal":{"name":"European heart journal. Digital health","volume":"6 2","pages":"190-199"},"PeriodicalIF":4.4000,"publicationDate":"2024-12-16","publicationTypes":"Journal Article","fieldsOfStudy":null,"isOpenAccess":false,"openAccessPdf":"https://www.ncbi.nlm.nih.gov/pmc/articles/PMC11914725/pdf/","citationCount":"0","resultStr":null,"platform":"Semanticscholar","paperid":null,"PeriodicalName":"European heart journal. Digital health","FirstCategoryId":"1085","ListUrlMain":"https://doi.org/10.1093/ehjdh/ztae094","RegionNum":0,"RegionCategory":null,"ArticlePicture":[],"TitleCN":null,"AbstractTextCN":null,"PMCID":null,"EPubDate":"2025/3/1 0:00:00","PubModel":"eCollection","JCR":"Q1","JCRName":"CARDIAC & CARDIOVASCULAR SYSTEMS","Score":null,"Total":0}
引用次数: 0

Abstract

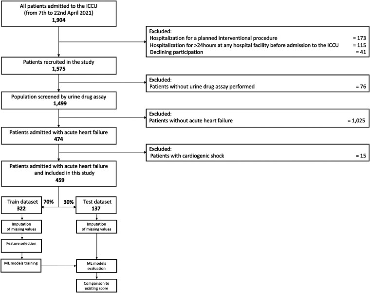
Aims: While few traditional scores are available for risk stratification of patients hospitalized for acute heart failure (AHF), the potential benefit of machine learning (ML) is not well established. We aimed to assess the feasibility and accuracy of a supervised ML model including environmental factors to predict in-hospital major adverse events (MAEs) in patients hospitalized for AHF.

Methods and results: In April 2021, a French national prospective multicentre study included all consecutive patients hospitalized in intensive cardiac care unit. Patients admitted for AHF were included in the analyses. A ML model involving automated feature selection by least absolute shrinkage and selection operator (LASSO) and model building with a random forest (RF) algorithm was developed. The primary composite outcome was in-hospital MAE defined by death, resuscitated cardiac arrest, or cardiogenic shock requiring assistance. Among 459 patients included (age 68 ± 14 years, 68% male), 47 experienced in-hospital MAE (10.2%). Seven variables were selected by LASSO for predicting MAE in the training data set (n = 322): mean arterial pressure, ischaemic aetiology, sub-aortic velocity time integral, E/e', tricuspid annular plane systolic excursion, recreational drug use, and exhaled carbon monoxide level. The RF model showed the best performance compared with other evaluated models [area under the receiver operating curve (AUROC) = 0.82, 95% confidence interval (CI) (0.78-0.86); precision-recall area under the curve = 0.48, 95% CI (0.42-0.5), F1 score = 0.56). Our ML model exhibited a higher AUROC compared with an existing score for the prediction of MAE (AUROC for our ML model: 0.82 vs. ACUTE HF score: 0.57; P < 0.001).

Conclusion: Our ML model including in particular environmental variables exhibited a better performance than traditional statistical methods to predict in-hospital outcomes in patients admitted for AHF.

Study registration: ClinicalTrials.gov identifier: NCT05063097.

Abstract Image

Abstract Image

Abstract Image

包括环境因素在内的监督机器学习预测急性心力衰竭患者的住院结果。
目的:虽然很少有传统评分可用于急性心力衰竭(AHF)住院患者的风险分层,但机器学习(ML)的潜在益处尚未得到很好的证实。我们的目的是评估包括环境因素在内的监督ML模型预测AHF住院患者院内主要不良事件(MAEs)的可行性和准确性。方法和结果:2021年4月,一项法国国家前瞻性多中心研究纳入了所有在心脏重症监护病房连续住院的患者。因AHF入院的患者被纳入分析。提出了一种基于最小绝对收缩和选择算子(LASSO)的自动特征选择和基于随机森林(RF)算法的模型构建的机器学习模型。主要综合结局为住院MAE,定义为死亡、复苏的心脏骤停或需要辅助的心源性休克。459例患者(年龄68±14岁,68%为男性)中,47例发生院内MAE(10.2%)。在训练数据集中(n = 322), LASSO选择了7个变量来预测MAE:平均动脉压、缺血性病因、主动脉下速度时间积分、E/ E′、三尖瓣环面收缩偏移、娱乐性药物使用和呼出一氧化碳水平。与其他评价模型相比,射频模型表现出最好的疗效[受试者工作曲线下面积(AUROC) = 0.82, 95%置信区间(CI) (0.78 ~ 0.86);曲线下精密度-召回面积= 0.48,95% CI (0.42-0.5), F1评分= 0.56)。与现有的MAE预测评分相比,我们的ML模型显示出更高的AUROC (ML模型的AUROC: 0.82 vs.急性HF评分:0.57;P < 0.001)。结论:我们的ML模型包含特定的环境变量,在预测AHF住院患者的住院结果方面比传统的统计方法表现得更好。研究注册:ClinicalTrials.gov标识符:NCT05063097。
本文章由计算机程序翻译,如有差异,请以英文原文为准。
求助全文
约1分钟内获得全文 求助全文
来源期刊
CiteScore
5.00
自引率
0.00%
发文量
0
×
引用
GB/T 7714-2015
复制
MLA
复制
APA
复制
导出至
BibTeX EndNote RefMan NoteFirst NoteExpress
×
提示
您的信息不完整,为了账户安全,请先补充。
现在去补充
×
提示
您因"违规操作"
具体请查看互助需知
我知道了
×
提示
确定
请完成安全验证×
copy
已复制链接
快去分享给好友吧!
我知道了
右上角分享
点击右上角分享
0
联系我们:info@booksci.cn Book学术提供免费学术资源搜索服务,方便国内外学者检索中英文文献。致力于提供最便捷和优质的服务体验。 Copyright © 2023 布克学术 All rights reserved.
京ICP备2023020795号-1
ghs 京公网安备 11010802042870号
Book学术文献互助
Book学术文献互助群
群 号:604180095
Book学术官方微信