Physiology and health assessment, risk balance, and model for end-stage liver disease scores: Postoperative outcome of liver transplantation.

Raquel Hohenreuther, Andresa Thomé Silveira, Edison Moraes Rodrigues Filho, Anderson Garcez, Bruna Goularth Lacerda, Sabrina Alves Fernandes, Claudio Augusto Marroni
{"title":"Physiology and health assessment, risk balance, and model for end-stage liver disease scores: Postoperative outcome of liver transplantation.","authors":"Raquel Hohenreuther, Andresa Thomé Silveira, Edison Moraes Rodrigues Filho, Anderson Garcez, Bruna Goularth Lacerda, Sabrina Alves Fernandes, Claudio Augusto Marroni","doi":"10.5500/wjt.v15.i1.95899","DOIUrl":null,"url":null,"abstract":"<p><strong>Background: </strong>Liver transplantation aims to increase the survival of patients with end-stage liver diseases and improve their quality of life. The number of organs available for transplantation is lower than the demand. To provide fair organ distribution, predictive mortality scores have been developed.</p><p><strong>Aim: </strong>To compare the Acute Physiology and Chronic Health Evaluation IV (APACHE IV), balance of risk (BAR), and model for end-stage liver disease (MELD) scores as predictors of mortality.</p><p><strong>Methods: </strong>Retrospective cohort study, which included 283 adult patients in the postoperative period of deceased donor liver transplantation from 2014 to 2018.</p><p><strong>Results: </strong>The transplant recipients were mainly male, with a mean age of 58.1 years. Donors were mostly male, with a mean age of 41.6 years. The median cold ischemia time was 3.1 hours, and the median intensive care unit stay was 5 days. For APACHE IV, a mean of 59.6 was found, BAR 10.7, and MELD 24.2. The 28-day mortality rate was 9.5%, and at 90 days, it was 3.5%. The 28-day mortality prediction for APACHE IV was very good [area under the curve (AUC): 0.85, <i>P</i> < 0.001, 95%CI: 0.76-0.94], <i>P</i> < 0.001, BAR (AUC: 0.70, <i>P</i> < 0.001, 95%CI: 0.58-0.81), and MELD (AUC: 0.66, <i>P</i> < 0.006, 95%CI: 0.55-0.78), <i>P</i> < 0.008. At 90 days, the data for APACHE IV were very good (AUC: 0.80, <i>P</i> < 0.001, 95%CI: 0.71-0.90) and moderate for BAR and MELD, respectively, (AUC: 0.66, <i>P</i> < 0.004, 95%CI: 0.55-0.77), (AUC: 0.62, <i>P</i> < 0.026, 95%CI: 0.51-0.72). All showed good discrimination between deaths and survivors. As for the best value for liver transplantation, it was significant only for APACHE IV (<i>P</i> < 0.001).</p><p><strong>Conclusion: </strong>The APACHE IV assessment score was more accurate than BAR and MELD in predicting mortality in deceased donor liver transplant recipients.</p>","PeriodicalId":65557,"journal":{"name":"世界移植杂志","volume":"15 1","pages":"95899"},"PeriodicalIF":0.0000,"publicationDate":"2025-03-18","publicationTypes":"Journal Article","fieldsOfStudy":null,"isOpenAccess":false,"openAccessPdf":"https://www.ncbi.nlm.nih.gov/pmc/articles/PMC11612892/pdf/","citationCount":"0","resultStr":null,"platform":"Semanticscholar","paperid":null,"PeriodicalName":"世界移植杂志","FirstCategoryId":"3","ListUrlMain":"https://doi.org/10.5500/wjt.v15.i1.95899","RegionNum":0,"RegionCategory":null,"ArticlePicture":[],"TitleCN":null,"AbstractTextCN":null,"PMCID":null,"EPubDate":"","PubModel":"","JCR":"","JCRName":"","Score":null,"Total":0}
引用次数: 0

Abstract

Background: Liver transplantation aims to increase the survival of patients with end-stage liver diseases and improve their quality of life. The number of organs available for transplantation is lower than the demand. To provide fair organ distribution, predictive mortality scores have been developed.

Aim: To compare the Acute Physiology and Chronic Health Evaluation IV (APACHE IV), balance of risk (BAR), and model for end-stage liver disease (MELD) scores as predictors of mortality.

Methods: Retrospective cohort study, which included 283 adult patients in the postoperative period of deceased donor liver transplantation from 2014 to 2018.

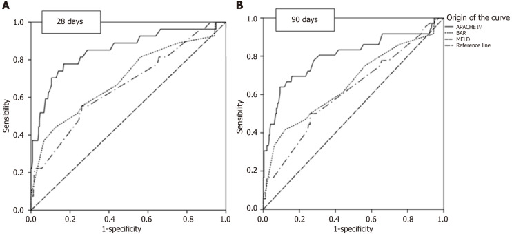
Results: The transplant recipients were mainly male, with a mean age of 58.1 years. Donors were mostly male, with a mean age of 41.6 years. The median cold ischemia time was 3.1 hours, and the median intensive care unit stay was 5 days. For APACHE IV, a mean of 59.6 was found, BAR 10.7, and MELD 24.2. The 28-day mortality rate was 9.5%, and at 90 days, it was 3.5%. The 28-day mortality prediction for APACHE IV was very good [area under the curve (AUC): 0.85, P < 0.001, 95%CI: 0.76-0.94], P < 0.001, BAR (AUC: 0.70, P < 0.001, 95%CI: 0.58-0.81), and MELD (AUC: 0.66, P < 0.006, 95%CI: 0.55-0.78), P < 0.008. At 90 days, the data for APACHE IV were very good (AUC: 0.80, P < 0.001, 95%CI: 0.71-0.90) and moderate for BAR and MELD, respectively, (AUC: 0.66, P < 0.004, 95%CI: 0.55-0.77), (AUC: 0.62, P < 0.026, 95%CI: 0.51-0.72). All showed good discrimination between deaths and survivors. As for the best value for liver transplantation, it was significant only for APACHE IV (P < 0.001).

Conclusion: The APACHE IV assessment score was more accurate than BAR and MELD in predicting mortality in deceased donor liver transplant recipients.

Abstract Image

Abstract Image

生理和健康评估、风险平衡和终末期肝病评分模型:肝移植术后结果
背景:肝移植旨在提高终末期肝病患者的生存率,改善其生活质量。可供移植的器官数量低于需求。为了提供公平的器官分布,预测死亡率评分已经被开发出来。目的:比较急性生理和慢性健康评估IV (APACHE IV)、风险平衡(BAR)和终末期肝病模型(MELD)评分作为死亡率的预测因子。方法:回顾性队列研究,纳入2014 - 2018年死亡供肝移植术后283例成人患者。结果:移植受者以男性为主,平均年龄58.1岁。捐赠者大多是男性,平均年龄为41.6岁。中位冷缺血时间为3.1小时,中位重症监护时间为5天。对于APACHE IV,平均为59.6,BAR为10.7,MELD为24.2。28天死亡率为9.5%,90天死亡率为3.5%。APACHE IV的28天死亡率预测非常好[曲线下面积(AUC): 0.85, P < 0.001, 95%CI: 0.76-0.94], P < 0.001, BAR (AUC: 0.70, P < 0.001, 95%CI: 0.58-0.81), MELD (AUC: 0.66, P < 0.006, 95%CI: 0.55-0.78), P < 0.008。在第90天,APACHE IV的数据非常好(AUC: 0.80, P < 0.001, 95%CI: 0.71-0.90), BAR和MELD的数据中等(AUC: 0.66, P < 0.004, 95%CI: 0.55-0.77), (AUC: 0.62, P < 0.026, 95%CI: 0.51-0.72)。所有这些都显示出对死亡和幸存者的良好区分。至于肝移植的最佳价值,只有APACHE IV有显著性差异(P < 0.001)。结论:APACHE IV评估评分在预测死亡供肝移植受者死亡率方面比BAR和MELD更准确。
本文章由计算机程序翻译,如有差异,请以英文原文为准。
求助全文
约1分钟内获得全文 求助全文
来源期刊
CiteScore
3.50
自引率
0.00%
发文量
293
×
引用
GB/T 7714-2015
复制
MLA
复制
APA
复制
导出至
BibTeX EndNote RefMan NoteFirst NoteExpress
×
提示
您的信息不完整,为了账户安全,请先补充。
现在去补充
×
提示
您因"违规操作"
具体请查看互助需知
我知道了
×
提示
确定
请完成安全验证×
copy
已复制链接
快去分享给好友吧!
我知道了
右上角分享
点击右上角分享
0
联系我们:info@booksci.cn Book学术提供免费学术资源搜索服务,方便国内外学者检索中英文文献。致力于提供最便捷和优质的服务体验。 Copyright © 2023 布克学术 All rights reserved.
京ICP备2023020795号-1
ghs 京公网安备 11010802042870号
Book学术文献互助
Book学术文献互助群
群 号:604180095
Book学术官方微信