Importance of systemic redox homeostasis biomarkers and transcription factors in patients undergoing open-heart surgery with cardiopulmonary bypass.

IF 1.6 4区 医学 Q2 SURGERY
Surgery Today Pub Date : 2025-09-01 Epub Date: 2025-03-18 DOI:10.1007/s00595-025-03026-w
Jamila Tahmazli, Şeydanur Turgut, Tamer Cebe, Fatih Kızılyel, Erdem Atasever, Ayhan Üğüden, Bülend Ketenci, Gülnur Andican, Ufuk Çakatay
{"title":"Importance of systemic redox homeostasis biomarkers and transcription factors in patients undergoing open-heart surgery with cardiopulmonary bypass.","authors":"Jamila Tahmazli, Şeydanur Turgut, Tamer Cebe, Fatih Kızılyel, Erdem Atasever, Ayhan Üğüden, Bülend Ketenci, Gülnur Andican, Ufuk Çakatay","doi":"10.1007/s00595-025-03026-w","DOIUrl":null,"url":null,"abstract":"<p><strong>Purpose: </strong>Patients undergoing coronary artery bypass graft surgery and isolated valve disease surgery may experience redox dyshomeostasis associated with cardiopulmonary bypass (CPB).</p><p><strong>Methods: </strong>We investigated the impact of CPB on systemic redox homeostasis by analyzing redox biomarkers and antioxidant transcription factors preoperatively and postoperatively using spectrophotometric and immunochemical methods.</p><p><strong>Results: </strong>Our findings indicate significant variations in protein oxidation biomarkers, antioxidant capacity biomarkers, and transcription coactivator peroxisome proliferator-activated receptor-gamma coactivator-1α (PGC-1α) levels after CPB. The ROC analysis indicated that protein carbonyl was valuable in the preoperative (p = 0.009) and postoperative (p = 0.013) periods. We also found that glutathione peroxidase was a valuable redox biomarker during the postoperative period (p = 0.000). An ROC analysis of catalase activity (p = 0.017) before CPB indicated the importance of catalase in eliminating increased hydroperoxide load. The ROC graphs reinforced the value of PGC-1α (p = 0.000) as a biomarker, showing a similar trend to that of catalase before CPB.</p><p><strong>Conclusion: </strong>The earlier view of \"increased oxidative stress and decreased biofunction\" has shifted to exploring the physiological role of redox signaling regulation. We believe that future studies on the effects of CPB on systemic redox regulation processes through redox signaling mechanisms will significantly contribute to the relevant literature.</p>","PeriodicalId":22163,"journal":{"name":"Surgery Today","volume":" ","pages":"1320-1334"},"PeriodicalIF":1.6000,"publicationDate":"2025-09-01","publicationTypes":"Journal Article","fieldsOfStudy":null,"isOpenAccess":false,"openAccessPdf":"https://www.ncbi.nlm.nih.gov/pmc/articles/PMC12380947/pdf/","citationCount":"0","resultStr":null,"platform":"Semanticscholar","paperid":null,"PeriodicalName":"Surgery Today","FirstCategoryId":"3","ListUrlMain":"https://doi.org/10.1007/s00595-025-03026-w","RegionNum":4,"RegionCategory":"医学","ArticlePicture":[],"TitleCN":null,"AbstractTextCN":null,"PMCID":null,"EPubDate":"2025/3/18 0:00:00","PubModel":"Epub","JCR":"Q2","JCRName":"SURGERY","Score":null,"Total":0}
引用次数: 0

Abstract

Purpose: Patients undergoing coronary artery bypass graft surgery and isolated valve disease surgery may experience redox dyshomeostasis associated with cardiopulmonary bypass (CPB).

Methods: We investigated the impact of CPB on systemic redox homeostasis by analyzing redox biomarkers and antioxidant transcription factors preoperatively and postoperatively using spectrophotometric and immunochemical methods.

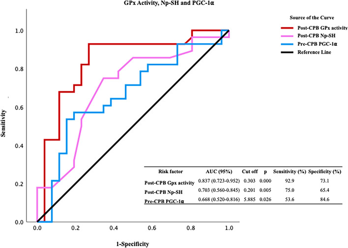
Results: Our findings indicate significant variations in protein oxidation biomarkers, antioxidant capacity biomarkers, and transcription coactivator peroxisome proliferator-activated receptor-gamma coactivator-1α (PGC-1α) levels after CPB. The ROC analysis indicated that protein carbonyl was valuable in the preoperative (p = 0.009) and postoperative (p = 0.013) periods. We also found that glutathione peroxidase was a valuable redox biomarker during the postoperative period (p = 0.000). An ROC analysis of catalase activity (p = 0.017) before CPB indicated the importance of catalase in eliminating increased hydroperoxide load. The ROC graphs reinforced the value of PGC-1α (p = 0.000) as a biomarker, showing a similar trend to that of catalase before CPB.

Conclusion: The earlier view of "increased oxidative stress and decreased biofunction" has shifted to exploring the physiological role of redox signaling regulation. We believe that future studies on the effects of CPB on systemic redox regulation processes through redox signaling mechanisms will significantly contribute to the relevant literature.

Abstract Image

Abstract Image

Abstract Image

体外循环心内直视手术患者系统氧化还原稳态生物标志物和转录因子的重要性。
目的:接受冠状动脉搭桥手术和孤立性瓣膜疾病手术的患者可能会经历与体外循环(CPB)相关的氧化还原性动态失衡。方法:采用分光光度法和免疫化学方法分析术前和术后氧化还原生物标志物和抗氧化转录因子,研究CPB对全身氧化还原稳态的影响。结果:我们的研究结果表明,CPB后蛋白质氧化生物标志物、抗氧化能力生物标志物和转录辅助激活物过氧化物酶体增殖物激活受体- γ辅助激活物-1α (PGC-1α)水平发生显著变化。ROC分析显示,蛋白羰基在术前(p = 0.009)和术后(p = 0.013)有价值。我们还发现谷胱甘肽过氧化物酶是术后有价值的氧化还原生物标志物(p = 0.000)。CPB前过氧化氢酶活性的ROC分析(p = 0.017)表明过氧化氢酶在消除氢过氧化物负荷增加中的重要性。ROC图增强了PGC-1α作为生物标志物的价值(p = 0.000),显示出与CPB前过氧化氢酶相似的趋势。结论:早期“氧化应激增加,生物功能降低”的观点已经转向探索氧化还原信号调节的生理作用。我们相信,未来关于CPB通过氧化还原信号机制对系统氧化还原调节过程的影响的研究将对相关文献有重大贡献。
本文章由计算机程序翻译,如有差异,请以英文原文为准。
求助全文
约1分钟内获得全文 求助全文
来源期刊
Surgery Today
Surgery Today 医学-外科
CiteScore
4.90
自引率
4.00%
发文量
208
审稿时长
1 months
期刊介绍: Surgery Today is the official journal of the Japan Surgical Society. The main purpose of the journal is to provide a place for the publication of high-quality papers documenting recent advances and new developments in all fields of surgery, both clinical and experimental. The journal welcomes original papers, review articles, and short communications, as well as short technical reports("How to do it"). The "How to do it" section will includes short articles on methods or techniques recommended for practical surgery. Papers submitted to the journal are reviewed by an international editorial board. Field of interest: All fields of surgery.
×
引用
GB/T 7714-2015
复制
MLA
复制
APA
复制
导出至
BibTeX EndNote RefMan NoteFirst NoteExpress
×
提示
您的信息不完整,为了账户安全,请先补充。
现在去补充
×
提示
您因"违规操作"
具体请查看互助需知
我知道了
×
提示
确定
请完成安全验证×
copy
已复制链接
快去分享给好友吧!
我知道了
右上角分享
点击右上角分享
0
联系我们:info@booksci.cn Book学术提供免费学术资源搜索服务,方便国内外学者检索中英文文献。致力于提供最便捷和优质的服务体验。 Copyright © 2023 布克学术 All rights reserved.
京ICP备2023020795号-1
ghs 京公网安备 11010802042870号
Book学术文献互助
Book学术文献互助群
群 号:604180095
Book学术官方微信