Aspergillus After Lung Transplantation: Prophylaxis, Risk Factors, and the Impact on Chronic Lung Allograft Dysfunction.

IF 2.6 4区 医学 Q3 IMMUNOLOGY
Transplant Infectious Disease Pub Date : 2025-07-01 Epub Date: 2025-03-18 DOI:10.1111/tid.70020
Johanna P van Gemert, Ger Jan Fleurke, Onno W Akkerman, C Tji Gan, Willie N Steenhuis, Huib A M Kerstjens, Erik A M Verschuuren, Douwe F Postma
{"title":"Aspergillus After Lung Transplantation: Prophylaxis, Risk Factors, and the Impact on Chronic Lung Allograft Dysfunction.","authors":"Johanna P van Gemert, Ger Jan Fleurke, Onno W Akkerman, C Tji Gan, Willie N Steenhuis, Huib A M Kerstjens, Erik A M Verschuuren, Douwe F Postma","doi":"10.1111/tid.70020","DOIUrl":null,"url":null,"abstract":"<p><strong>Background: </strong>Invasive pulmonary aspergillosis (IA) poses significant challenges for lung transplant (LTx) patients, with unclear risk factors and preventive strategies. The effectiveness of nebulized amphotericin B (AmB) or statins for IA prevention and the effect of IA on chronic lung allograft dysfunction (CLAD) and mortality remain questionable.</p><p><strong>Methods: </strong>Data were collected from all LTx patients transplanted between December 1, 2013 and January 1, 2022 at the University Medical Center Groningen. IA, was defined according to published criteria. Prespecified risk factors were compared between patients with and without IA post-LTx and were entered in a logistic regression model. Two additional logistic regression models were built with factors that might be associated with statin or AmB prophylaxis and IA. A matched case-control study was conducted for the association between statins and IA, with matching based on follow-up time.</p><p><strong>Results: </strong>Aspergillus was cultured in 110 /274 (40%) patients post-LTx and 89/110 (81%) were classified as probable IA. MMF use, airway stenosis, Aspergillus cultured pre-LTx, CLAD, and acute rejection (AR), were significantly associated with IA. Statin use was associated with a lower incidence of IA, while AmB prophylaxis showed no significant effect. A significant statin effect could not be confirmed by the case control analysis. There was no significant difference in all-cause mortality between patients with and without IA (34% vs. 29%).</p><p><strong>Conclusions: </strong>The high incidence of IA post-LTx necessitates more effective strategies. Key targets for intervention include prior positive cultures, airway stenosis, AR, and the use of MMF. The role of statins remains unclear and requires further research.</p>","PeriodicalId":23318,"journal":{"name":"Transplant Infectious Disease","volume":" ","pages":"e70020"},"PeriodicalIF":2.6000,"publicationDate":"2025-07-01","publicationTypes":"Journal Article","fieldsOfStudy":null,"isOpenAccess":false,"openAccessPdf":"https://www.ncbi.nlm.nih.gov/pmc/articles/PMC12416347/pdf/","citationCount":"0","resultStr":null,"platform":"Semanticscholar","paperid":null,"PeriodicalName":"Transplant Infectious Disease","FirstCategoryId":"3","ListUrlMain":"https://doi.org/10.1111/tid.70020","RegionNum":4,"RegionCategory":"医学","ArticlePicture":[],"TitleCN":null,"AbstractTextCN":null,"PMCID":null,"EPubDate":"2025/3/18 0:00:00","PubModel":"Epub","JCR":"Q3","JCRName":"IMMUNOLOGY","Score":null,"Total":0}
引用次数: 0

Abstract

Background: Invasive pulmonary aspergillosis (IA) poses significant challenges for lung transplant (LTx) patients, with unclear risk factors and preventive strategies. The effectiveness of nebulized amphotericin B (AmB) or statins for IA prevention and the effect of IA on chronic lung allograft dysfunction (CLAD) and mortality remain questionable.

Methods: Data were collected from all LTx patients transplanted between December 1, 2013 and January 1, 2022 at the University Medical Center Groningen. IA, was defined according to published criteria. Prespecified risk factors were compared between patients with and without IA post-LTx and were entered in a logistic regression model. Two additional logistic regression models were built with factors that might be associated with statin or AmB prophylaxis and IA. A matched case-control study was conducted for the association between statins and IA, with matching based on follow-up time.

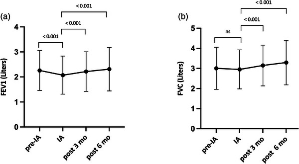
Results: Aspergillus was cultured in 110 /274 (40%) patients post-LTx and 89/110 (81%) were classified as probable IA. MMF use, airway stenosis, Aspergillus cultured pre-LTx, CLAD, and acute rejection (AR), were significantly associated with IA. Statin use was associated with a lower incidence of IA, while AmB prophylaxis showed no significant effect. A significant statin effect could not be confirmed by the case control analysis. There was no significant difference in all-cause mortality between patients with and without IA (34% vs. 29%).

Conclusions: The high incidence of IA post-LTx necessitates more effective strategies. Key targets for intervention include prior positive cultures, airway stenosis, AR, and the use of MMF. The role of statins remains unclear and requires further research.

Abstract Image

Abstract Image

Abstract Image

肺移植后曲霉:预防、危险因素和对慢性肺移植功能障碍的影响。
背景:侵袭性肺曲霉病(Invasive pulmonary aspergillosis, IA)是肺移植患者面临的重大挑战,其危险因素和预防策略尚不清楚。雾化两性霉素B (AmB)或他汀类药物预防IA的有效性以及IA对慢性同种异体肺移植功能障碍(CLAD)和死亡率的影响仍存在疑问。方法:收集2013年12月1日至2022年1月1日在格罗宁根大学医学中心移植的所有LTx患者的数据。IA是根据公布的标准定义的。预先指定的危险因素在ltx后有和没有IA的患者之间进行比较,并进入逻辑回归模型。另外建立了两个可能与他汀类药物或AmB预防和IA相关的因素的logistic回归模型。对他汀类药物与IA之间的关系进行了匹配的病例对照研究,并基于随访时间进行了匹配。结果:110 /274例(40%)ltx后患者中有曲霉培养,89/110例(81%)为可能IA。MMF的使用、气道狭窄、曲霉培养的ltx前期、CLAD和急性排斥反应(AR)与IA显著相关。他汀类药物的使用与较低的IA发生率相关,而AmB预防没有显着效果。病例对照分析无法证实他汀类药物的显著作用。IA患者和非IA患者的全因死亡率无显著差异(34% vs 29%)。结论:ltx术后IA的高发生率需要更有效的治疗策略。干预的关键目标包括既往阳性培养,气道狭窄,AR和MMF的使用。他汀类药物的作用尚不清楚,需要进一步研究。
本文章由计算机程序翻译,如有差异,请以英文原文为准。
求助全文
约1分钟内获得全文 求助全文
来源期刊
Transplant Infectious Disease
Transplant Infectious Disease 医学-传染病学
CiteScore
5.30
自引率
7.70%
发文量
210
审稿时长
4-8 weeks
期刊介绍: Transplant Infectious Disease has been established as a forum for presenting the most current information on the prevention and treatment of infection complicating organ and bone marrow transplantation. The point of view of the journal is that infection and allograft rejection (or graft-versus-host disease) are closely intertwined, and that advances in one area will have immediate consequences on the other. The interaction of the transplant recipient with potential microbial invaders, the impact of immunosuppressive strategies on this interaction, and the effects of cytokines, growth factors, and chemokines liberated during the course of infections, rejection, or graft-versus-host disease are central to the interests and mission of this journal. Transplant Infectious Disease is aimed at disseminating the latest information relevant to the infectious disease complications of transplantation to clinicians and scientists involved in bone marrow, kidney, liver, heart, lung, intestinal, and pancreatic transplantation. The infectious disease consequences and concerns regarding innovative transplant strategies, from novel immunosuppressive agents to xenotransplantation, are very much a concern of this journal. In addition, this journal feels a particular responsibility to inform primary care practitioners in the community, who increasingly are sharing the responsibility for the care of these patients, of the special considerations regarding the prevention and treatment of infection in transplant recipients. As exemplified by the international editorial board, articles are sought throughout the world that address both general issues and those of a more restricted geographic import.
×
引用
GB/T 7714-2015
复制
MLA
复制
APA
复制
导出至
BibTeX EndNote RefMan NoteFirst NoteExpress
×
提示
您的信息不完整,为了账户安全,请先补充。
现在去补充
×
提示
您因"违规操作"
具体请查看互助需知
我知道了
×
提示
确定
请完成安全验证×
copy
已复制链接
快去分享给好友吧!
我知道了
右上角分享
点击右上角分享
0
联系我们:info@booksci.cn Book学术提供免费学术资源搜索服务,方便国内外学者检索中英文文献。致力于提供最便捷和优质的服务体验。 Copyright © 2023 布克学术 All rights reserved.
京ICP备2023020795号-1
ghs 京公网安备 11010802042870号
Book学术文献互助
Book学术文献互助群
群 号:604180095
Book学术官方微信