Biosynthesis and metabolic engineering of natural sweeteners.

IF 3.7 3区 生物学 Q2 BIOTECHNOLOGY & APPLIED MICROBIOLOGY
Bengui Fan, Xiqin Liang, Yichi Li, Mingkai Li, Tongle Yu, Yuan Qin, Bohan Li, Tianyue An, Guoli Wang
{"title":"Biosynthesis and metabolic engineering of natural sweeteners.","authors":"Bengui Fan, Xiqin Liang, Yichi Li, Mingkai Li, Tongle Yu, Yuan Qin, Bohan Li, Tianyue An, Guoli Wang","doi":"10.1186/s13568-025-01864-y","DOIUrl":null,"url":null,"abstract":"<p><p>Natural sweeteners have attracted widespread attention because they are eco-friendly, healthy, low in calories, and tasty. The demand for natural sweeteners is increasing together with the popularity of green, low-carbon, sustainable development. With the development of synthetic biology, microbial cell factories have emerged as an effective method to produce large amounts of natural sweeteners. This technology has significantly progressed in recent years. This review summarizes the pathways and the enzymes related to the biosynthesis of natural sweeteners, such as mogrosides, steviol glycosides, glycyrrhizin, glycyrrhetinic acid, phlorizin, trilobatin, erythritol, sorbitol, mannitol, thaumatin, monellin, and brazzein. Moreover, it focuses on the research about the microbial production of these natural sweeteners using synthetic biology methods, aiming to provide a reference for future research on the production of natural sweeteners.</p>","PeriodicalId":7537,"journal":{"name":"AMB Express","volume":"15 1","pages":"50"},"PeriodicalIF":3.7000,"publicationDate":"2025-03-18","publicationTypes":"Journal Article","fieldsOfStudy":null,"isOpenAccess":false,"openAccessPdf":"https://www.ncbi.nlm.nih.gov/pmc/articles/PMC11920521/pdf/","citationCount":"0","resultStr":null,"platform":"Semanticscholar","paperid":null,"PeriodicalName":"AMB Express","FirstCategoryId":"5","ListUrlMain":"https://doi.org/10.1186/s13568-025-01864-y","RegionNum":3,"RegionCategory":"生物学","ArticlePicture":[],"TitleCN":null,"AbstractTextCN":null,"PMCID":null,"EPubDate":"","PubModel":"","JCR":"Q2","JCRName":"BIOTECHNOLOGY & APPLIED MICROBIOLOGY","Score":null,"Total":0}
引用次数: 0

Abstract

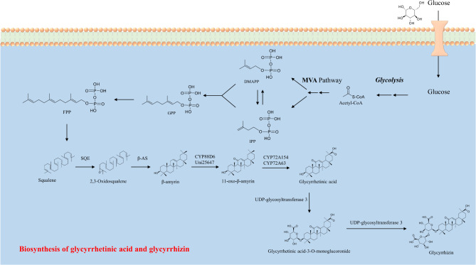
Natural sweeteners have attracted widespread attention because they are eco-friendly, healthy, low in calories, and tasty. The demand for natural sweeteners is increasing together with the popularity of green, low-carbon, sustainable development. With the development of synthetic biology, microbial cell factories have emerged as an effective method to produce large amounts of natural sweeteners. This technology has significantly progressed in recent years. This review summarizes the pathways and the enzymes related to the biosynthesis of natural sweeteners, such as mogrosides, steviol glycosides, glycyrrhizin, glycyrrhetinic acid, phlorizin, trilobatin, erythritol, sorbitol, mannitol, thaumatin, monellin, and brazzein. Moreover, it focuses on the research about the microbial production of these natural sweeteners using synthetic biology methods, aiming to provide a reference for future research on the production of natural sweeteners.

Abstract Image

Abstract Image

Abstract Image

天然甜味剂的生物合成与代谢工程。
天然甜味剂因其环保、健康、低热量、美味而受到广泛关注。随着绿色、低碳、可持续发展的普及,对天然甜味剂的需求也在不断增加。随着合成生物学的发展,微生物细胞工厂已成为一种生产大量天然甜味剂的有效方法。这项技术近年来取得了重大进展。本文综述了甜菊苷、甜菊苷、甘草酸、甘草酸次酸、根草苷、三叶叶苷、赤藓糖醇、山梨糖醇、甘露醇、甘露醇、毛霉素和铜黄蛋白等天然甜味剂的生物合成途径和相关酶的研究进展。并重点利用合成生物学方法对这些天然甜味剂的微生物生产进行研究,旨在为今后天然甜味剂的生产研究提供参考。
本文章由计算机程序翻译,如有差异,请以英文原文为准。
求助全文
约1分钟内获得全文 求助全文
来源期刊
AMB Express
AMB Express BIOTECHNOLOGY & APPLIED MICROBIOLOGY-
CiteScore
7.20
自引率
2.70%
发文量
141
审稿时长
13 weeks
期刊介绍: AMB Express is a high quality journal that brings together research in the area of Applied and Industrial Microbiology with a particular interest in ''White Biotechnology'' and ''Red Biotechnology''. The emphasis is on processes employing microorganisms, eukaryotic cell cultures or enzymes for the biosynthesis, transformation and degradation of compounds. This includes fine and bulk chemicals, polymeric compounds and enzymes or other proteins. Downstream processes are also considered. Integrated processes combining biochemical and chemical processes are also published.
×
引用
GB/T 7714-2015
复制
MLA
复制
APA
复制
导出至
BibTeX EndNote RefMan NoteFirst NoteExpress
×
提示
您的信息不完整,为了账户安全,请先补充。
现在去补充
×
提示
您因"违规操作"
具体请查看互助需知
我知道了
×
提示
确定
请完成安全验证×
copy
已复制链接
快去分享给好友吧!
我知道了
右上角分享
点击右上角分享
0
联系我们:info@booksci.cn Book学术提供免费学术资源搜索服务,方便国内外学者检索中英文文献。致力于提供最便捷和优质的服务体验。 Copyright © 2023 布克学术 All rights reserved.
京ICP备2023020795号-1
ghs 京公网安备 11010802042870号
Book学术文献互助
Book学术文献互助群
群 号:604180095
Book学术官方微信