WORD PROCESSING ABILITIES IN SUBJECTS AFTER STROKE OR TRAUMATIC BRAIN INJURY.

IF 0.8 4区 医学 Q3 MEDICINE, GENERAL & INTERNAL
Karolina Lice, Ana Matić Škorić, Jelena Kuvač Kraljević
{"title":"WORD PROCESSING ABILITIES IN SUBJECTS AFTER STROKE OR TRAUMATIC BRAIN INJURY.","authors":"Karolina Lice, Ana Matić Škorić, Jelena Kuvač Kraljević","doi":"10.20471/acc.2024.63.02.4","DOIUrl":null,"url":null,"abstract":"<p><p>Acquired language disorder is a common consequence of stroke and traumatic brain injury (TBI). Following the logogen model, this study investigated word processing abilities of post-stroke and post-TBI patients. Within- and between-group differences in word comprehension, naming, and reading were observed, as well as predominant errors in performance. Twenty-two post-stroke and 22 post-TBI patients were tested using tasks from the Comprehensive Aphasia Test-HR (CAT-HR). Post-TBI patients outperformed post-stroke patients in naming and reading. Both groups exhibited neologisms, phonological, semantic and unrelated errors, although in different proportions. In word comprehension and naming, post-TBI patients primarily exhibited semantic errors, whereas post-stroke patients had equally distributed phonological and semantic errors. In reading, both groups predominantly produced phonological errors. Error distribution differed only in naming, with post-TBI patients exhibiting more semantic errors than post-stroke patients. Therefore, performance in naming differentiated these groups most. Although error analysis is rather insightful, one cannot expect a particular profile of language disturbances in post-stroke and post-TBI patients. The findings obtained bear concrete clinical implications, especially those related to the role and meaning of the errors produced by the patient to determine the exact location of the processing deficits.</p>","PeriodicalId":7072,"journal":{"name":"Acta clinica Croatica","volume":"63 2","pages":"283-299"},"PeriodicalIF":0.8000,"publicationDate":"2024-10-01","publicationTypes":"Journal Article","fieldsOfStudy":null,"isOpenAccess":false,"openAccessPdf":"https://www.ncbi.nlm.nih.gov/pmc/articles/PMC11912861/pdf/","citationCount":"0","resultStr":null,"platform":"Semanticscholar","paperid":null,"PeriodicalName":"Acta clinica Croatica","FirstCategoryId":"3","ListUrlMain":"https://doi.org/10.20471/acc.2024.63.02.4","RegionNum":4,"RegionCategory":"医学","ArticlePicture":[],"TitleCN":null,"AbstractTextCN":null,"PMCID":null,"EPubDate":"","PubModel":"","JCR":"Q3","JCRName":"MEDICINE, GENERAL & INTERNAL","Score":null,"Total":0}
引用次数: 0

Abstract

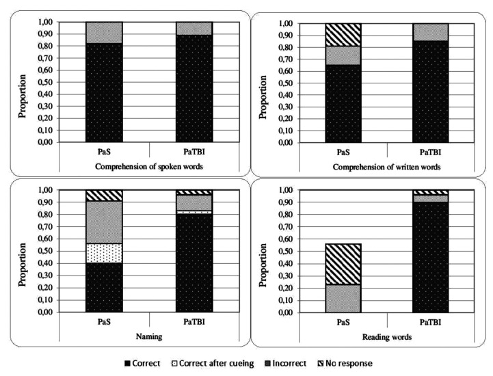
Acquired language disorder is a common consequence of stroke and traumatic brain injury (TBI). Following the logogen model, this study investigated word processing abilities of post-stroke and post-TBI patients. Within- and between-group differences in word comprehension, naming, and reading were observed, as well as predominant errors in performance. Twenty-two post-stroke and 22 post-TBI patients were tested using tasks from the Comprehensive Aphasia Test-HR (CAT-HR). Post-TBI patients outperformed post-stroke patients in naming and reading. Both groups exhibited neologisms, phonological, semantic and unrelated errors, although in different proportions. In word comprehension and naming, post-TBI patients primarily exhibited semantic errors, whereas post-stroke patients had equally distributed phonological and semantic errors. In reading, both groups predominantly produced phonological errors. Error distribution differed only in naming, with post-TBI patients exhibiting more semantic errors than post-stroke patients. Therefore, performance in naming differentiated these groups most. Although error analysis is rather insightful, one cannot expect a particular profile of language disturbances in post-stroke and post-TBI patients. The findings obtained bear concrete clinical implications, especially those related to the role and meaning of the errors produced by the patient to determine the exact location of the processing deficits.

Abstract Image

Abstract Image

中风或创伤性脑损伤后的文字处理能力。
获得性语言障碍是中风和创伤性脑损伤(TBI)的常见后果。采用logogen模型,研究脑卒中后和脑外伤后患者的文字处理能力。观察到组内和组间在单词理解、命名和阅读方面的差异,以及表现上的主要错误。22例脑卒中后和22例脑外伤后患者使用综合失语测试- hr (CAT-HR)的任务进行测试。脑损伤后患者在命名和阅读方面优于脑卒中后患者。两组都出现了新词、语音、语义和不相关的错误,尽管比例不同。在单词理解和命名方面,脑损伤后患者主要表现为语义错误,而脑卒中后患者则表现为均匀分布的语音和语义错误。在阅读中,两组人都主要产生语音错误。错误分布仅在命名上有所不同,脑损伤后患者比脑卒中后患者表现出更多的语义错误。因此,在命名方面的表现将这些组区分开来。虽然错误分析是相当有见地的,但我们不能期望中风后和脑外伤后患者的语言障碍的特殊概况。所获得的研究结果具有具体的临床意义,特别是那些与患者产生的错误的作用和意义有关的研究,以确定加工缺陷的确切位置。
本文章由计算机程序翻译,如有差异,请以英文原文为准。
求助全文
约1分钟内获得全文 求助全文
来源期刊
Acta clinica Croatica
Acta clinica Croatica 医学-医学:内科
CiteScore
1.10
自引率
16.70%
发文量
38
审稿时长
6-12 weeks
期刊介绍: Acta Clinica Croatica is a peer reviewed general medical journal that publishes original articles that advance and improve medical science and practice and that serve the purpose of transfer of original and valuable information to journal readers. Acta Clinica Croatica is published in English four times a year.
×
引用
GB/T 7714-2015
复制
MLA
复制
APA
复制
导出至
BibTeX EndNote RefMan NoteFirst NoteExpress
×
提示
您的信息不完整,为了账户安全,请先补充。
现在去补充
×
提示
您因"违规操作"
具体请查看互助需知
我知道了
×
提示
确定
请完成安全验证×
copy
已复制链接
快去分享给好友吧!
我知道了
右上角分享
点击右上角分享
0
联系我们:info@booksci.cn Book学术提供免费学术资源搜索服务,方便国内外学者检索中英文文献。致力于提供最便捷和优质的服务体验。 Copyright © 2023 布克学术 All rights reserved.
京ICP备2023020795号-1
ghs 京公网安备 11010802042870号
Book学术文献互助
Book学术文献互助群
群 号:604180095
Book学术官方微信