An open-label cluster-randomised trial on TB preventive therapy for children.

IJTLD open Pub Date : 2025-03-12 eCollection Date: 2025-03-01 DOI:10.5588/ijtldopen.24.0467
G Lemvik, L Larsson, F Rudolf, J E Vejrum, M Sodemann, V F Gomes, C Wejse
{"title":"An open-label cluster-randomised trial on TB preventive therapy for children.","authors":"G Lemvik, L Larsson, F Rudolf, J E Vejrum, M Sodemann, V F Gomes, C Wejse","doi":"10.5588/ijtldopen.24.0467","DOIUrl":null,"url":null,"abstract":"<p><strong>Background: </strong>In a study on 9 months of isoniazid preventive therapy (IPT) in children in Guinea-Bissau, 76% of children exposed to TB at home completed 6 months of IPT. We aimed to test whether 4 months of rifampicin and isoniazid (RH) would improve adherence compared to 9 months of isoniazid (INH).</p><p><strong>Methods: </strong>We conducted an open-label cluster-randomised superiority study in children aged <15 years living with a TB case. Children were randomised by house to receive 4 months of RH or 9 months of INH. RH was given as a fixed-combination pill. The primary outcome was adherence, defined as taking >80% of prescribed dosages per month, assessed by pill count. Our aim was 3 months of RH or 6 months of INH.</p><p><strong>Results: </strong>A total of 752 children from 223 houses were included, 354 in the INH group and 398 in the RH group. Overall, 57% of the children took >80% of the prescribed pills. In the INH group, 68% completed 6 months of therapy, while 61% of the RH group completed 3 months (OR 1.32, 95% CI 0.90-1.95). The main reason for non-adherence in both groups was travel or relocation, accounting for 50% of missed doses.</p><p><strong>Conclusion: </strong>The shorter preventive therapy of 4 months of RH did not improve adherence in children in Guinea-Bissau. Travelling was the primary reason for non-adherence.</p>","PeriodicalId":519984,"journal":{"name":"IJTLD open","volume":"2 3","pages":"120-128"},"PeriodicalIF":0.0000,"publicationDate":"2025-03-12","publicationTypes":"Journal Article","fieldsOfStudy":null,"isOpenAccess":false,"openAccessPdf":"https://www.ncbi.nlm.nih.gov/pmc/articles/PMC11906030/pdf/","citationCount":"0","resultStr":null,"platform":"Semanticscholar","paperid":null,"PeriodicalName":"IJTLD open","FirstCategoryId":"1085","ListUrlMain":"https://doi.org/10.5588/ijtldopen.24.0467","RegionNum":0,"RegionCategory":null,"ArticlePicture":[],"TitleCN":null,"AbstractTextCN":null,"PMCID":null,"EPubDate":"2025/3/1 0:00:00","PubModel":"eCollection","JCR":"","JCRName":"","Score":null,"Total":0}
引用次数: 0

Abstract

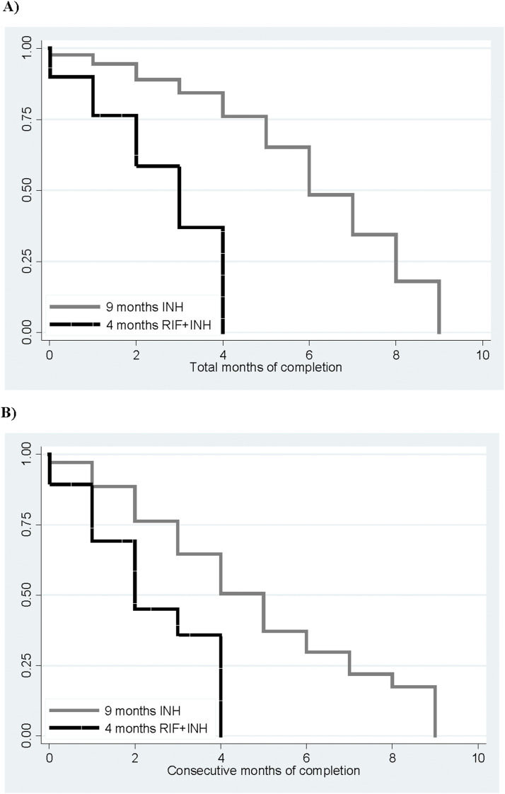
Background: In a study on 9 months of isoniazid preventive therapy (IPT) in children in Guinea-Bissau, 76% of children exposed to TB at home completed 6 months of IPT. We aimed to test whether 4 months of rifampicin and isoniazid (RH) would improve adherence compared to 9 months of isoniazid (INH).

Methods: We conducted an open-label cluster-randomised superiority study in children aged <15 years living with a TB case. Children were randomised by house to receive 4 months of RH or 9 months of INH. RH was given as a fixed-combination pill. The primary outcome was adherence, defined as taking >80% of prescribed dosages per month, assessed by pill count. Our aim was 3 months of RH or 6 months of INH.

Results: A total of 752 children from 223 houses were included, 354 in the INH group and 398 in the RH group. Overall, 57% of the children took >80% of the prescribed pills. In the INH group, 68% completed 6 months of therapy, while 61% of the RH group completed 3 months (OR 1.32, 95% CI 0.90-1.95). The main reason for non-adherence in both groups was travel or relocation, accounting for 50% of missed doses.

Conclusion: The shorter preventive therapy of 4 months of RH did not improve adherence in children in Guinea-Bissau. Travelling was the primary reason for non-adherence.

Abstract Image

Abstract Image

一项关于儿童结核病预防治疗的开放标签集群随机试验。
背景:在对几内亚比绍儿童进行的一项为期9个月的异烟肼预防性治疗(IPT)研究中,76%在家中感染结核病的儿童完成了6个月的IPT治疗。我们的目的是检验与 9 个月的异烟肼(INH)相比,4 个月的利福平和异烟肼(RH)是否能提高坚持治疗的比例:我们对每月服用规定剂量80%(通过药片计数评估)的儿童进行了一项开放标签分组随机优效研究。我们的目标是3个月的RH或6个月的INH:共纳入了来自 223 个家庭的 752 名儿童,其中 INH 组 354 名,RH 组 398 名。总体而言,57%的儿童服用了超过80%的处方药。在 INH 组中,68% 的儿童完成了 6 个月的治疗,而在 RH 组中,61% 的儿童完成了 3 个月(OR 1.32,95% CI 0.90-1.95)。两组未坚持治疗的主要原因都是出差或搬迁,占漏服的50%:结论:缩短 4 个月的 RH 预防性治疗并没有提高几内亚比绍儿童的依从性。旅行是不坚持治疗的主要原因。
本文章由计算机程序翻译,如有差异,请以英文原文为准。
求助全文
约1分钟内获得全文 求助全文
来源期刊
自引率
0.00%
发文量
0
×
引用
GB/T 7714-2015
复制
MLA
复制
APA
复制
导出至
BibTeX EndNote RefMan NoteFirst NoteExpress
×
提示
您的信息不完整,为了账户安全,请先补充。
现在去补充
×
提示
您因"违规操作"
具体请查看互助需知
我知道了
×
提示
确定
请完成安全验证×
copy
已复制链接
快去分享给好友吧!
我知道了
右上角分享
点击右上角分享
0
联系我们:info@booksci.cn Book学术提供免费学术资源搜索服务,方便国内外学者检索中英文文献。致力于提供最便捷和优质的服务体验。 Copyright © 2023 布克学术 All rights reserved.
京ICP备2023020795号-1
ghs 京公网安备 11010802042870号
Book学术文献互助
Book学术文献互助群
群 号:604180095
Book学术官方微信