Dentin Sialophosphoprotein Expression Profile in Developing Human Primary Teeth: An Experimental Study.

Soussan Irani, Shohreh Alimohammadi, Fatemeh Ataei
{"title":"Dentin Sialophosphoprotein Expression Profile in Developing Human Primary Teeth: An Experimental Study.","authors":"Soussan Irani, Shohreh Alimohammadi, Fatemeh Ataei","doi":"10.30476/dentjods.2024.100219.2202","DOIUrl":null,"url":null,"abstract":"<p><strong>Statement of the problem: </strong>Tooth development is initiated by localized thickenings of the primary epithelial bands. Dentin sialophosphoprotein (DSPP) is the most abundant non-collagenous protein in the dentin matrix. DSPP's expression extends to multiple tissues, including dentin, cementum, and bone. However, the role of DSPP is not yet clear in the development of human tooth.</p><p><strong>Purpose: </strong>The current study aimed to examine the DSPP expression profile during the development of human primary tooth structures with a sufficiently large sample size.</p><p><strong>Materials and method: </strong>In this experimental study, a total of 33 samples of aborted human fetuses were divided into three age groups <16 weeks, <19 weeks and ≥19 weeks. Immunohistochemistry (IHC) was performed with Anti-DSPP rabbit polyclonal antibody. A two-way ANOVA analysis was conducted to examine the differences between the groups (<i>p</i>< 0.05).</p><p><strong>Results: </strong>An increase in DSPP expression was observed with the progression of gestational weeks in different histological structures of developing human primary teeth.</p><p><strong>Conclusion: </strong>An increase in the expression level of DSPP with the progression of gestational weeks may confirm that reciprocal interactions between the enamel organ (EO) and dental pulp cells contribute to tooth formation.</p>","PeriodicalId":73702,"journal":{"name":"Journal of dentistry (Shiraz, Iran)","volume":"26 1","pages":"55-60"},"PeriodicalIF":0.0000,"publicationDate":"2025-03-01","publicationTypes":"Journal Article","fieldsOfStudy":null,"isOpenAccess":false,"openAccessPdf":"https://www.ncbi.nlm.nih.gov/pmc/articles/PMC11909408/pdf/","citationCount":"0","resultStr":null,"platform":"Semanticscholar","paperid":null,"PeriodicalName":"Journal of dentistry (Shiraz, Iran)","FirstCategoryId":"1085","ListUrlMain":"https://doi.org/10.30476/dentjods.2024.100219.2202","RegionNum":0,"RegionCategory":null,"ArticlePicture":[],"TitleCN":null,"AbstractTextCN":null,"PMCID":null,"EPubDate":"","PubModel":"","JCR":"","JCRName":"","Score":null,"Total":0}
引用次数: 0

Abstract

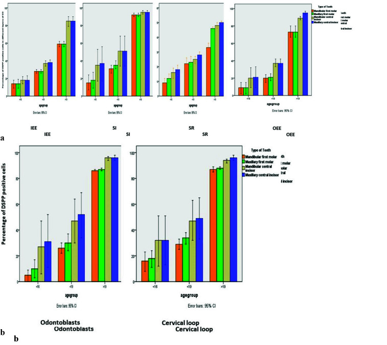
Statement of the problem: Tooth development is initiated by localized thickenings of the primary epithelial bands. Dentin sialophosphoprotein (DSPP) is the most abundant non-collagenous protein in the dentin matrix. DSPP's expression extends to multiple tissues, including dentin, cementum, and bone. However, the role of DSPP is not yet clear in the development of human tooth.

Purpose: The current study aimed to examine the DSPP expression profile during the development of human primary tooth structures with a sufficiently large sample size.

Materials and method: In this experimental study, a total of 33 samples of aborted human fetuses were divided into three age groups <16 weeks, <19 weeks and ≥19 weeks. Immunohistochemistry (IHC) was performed with Anti-DSPP rabbit polyclonal antibody. A two-way ANOVA analysis was conducted to examine the differences between the groups (p< 0.05).

Results: An increase in DSPP expression was observed with the progression of gestational weeks in different histological structures of developing human primary teeth.

Conclusion: An increase in the expression level of DSPP with the progression of gestational weeks may confirm that reciprocal interactions between the enamel organ (EO) and dental pulp cells contribute to tooth formation.

Abstract Image

Abstract Image

Abstract Image

乳牙发育过程中牙本质涎磷蛋白表达谱的实验研究。
问题陈述:牙齿的发育始于初级上皮带的局部增厚。牙本质硅磷蛋白(DSPP)是牙本质基质中最丰富的非胶原蛋白。DSPP 的表达延伸到多种组织,包括牙本质、骨水泥和骨。目的:本研究旨在以足够大的样本量研究人类原牙结构发育过程中 DSPP 的表达谱:在这项实验研究中,共有 33 份流产人类胎儿样本被分为三个年龄组(P< 0.05):结果:在发育中的人类乳牙的不同组织学结构中,观察到 DSPP 的表达随着孕周的增加而增加:结论:DSPP的表达水平随着孕周的增加而增加,这可能证实了釉质器官(EO)和牙髓细胞之间的相互作用有助于牙齿的形成。
本文章由计算机程序翻译,如有差异,请以英文原文为准。
求助全文
约1分钟内获得全文 求助全文
来源期刊
CiteScore
0.50
自引率
0.00%
发文量
0
×
引用
GB/T 7714-2015
复制
MLA
复制
APA
复制
导出至
BibTeX EndNote RefMan NoteFirst NoteExpress
×
提示
您的信息不完整,为了账户安全,请先补充。
现在去补充
×
提示
您因"违规操作"
具体请查看互助需知
我知道了
×
提示
确定
请完成安全验证×
copy
已复制链接
快去分享给好友吧!
我知道了
右上角分享
点击右上角分享
0
联系我们:info@booksci.cn Book学术提供免费学术资源搜索服务,方便国内外学者检索中英文文献。致力于提供最便捷和优质的服务体验。 Copyright © 2023 布克学术 All rights reserved.
京ICP备2023020795号-1
ghs 京公网安备 11010802042870号
Book学术文献互助
Book学术文献互助群
群 号:604180095
Book学术官方微信