Incidence and prevalence of multiple sclerosis during eras of evolving diagnostic criteria-a nationwide population-based registry study over five decades.

IF 2.3 Q2 CLINICAL NEUROLOGY
Anna Maunula, Sini M Laakso, Matias Viitala, Merja Soilu-Hänninen, Marja-Liisa Sumelahti, Sari Atula
{"title":"Incidence and prevalence of multiple sclerosis during eras of evolving diagnostic criteria-a nationwide population-based registry study over five decades.","authors":"Anna Maunula, Sini M Laakso, Matias Viitala, Merja Soilu-Hänninen, Marja-Liisa Sumelahti, Sari Atula","doi":"10.1177/20552173251326173","DOIUrl":null,"url":null,"abstract":"<p><strong>Background: </strong>Impact of changing diagnostic criteria for the population-based incidence of multiple sclerosis (MS) has not been investigated.</p><p><strong>Objective: </strong>To assess the effect of changing diagnostic criteria on national MS incidence and prevalence in Finland from 1974 to 2021.</p><p><strong>Methods: </strong>We identified patients with MS (pwMS) through the National MS registry and the national Care Register for Healthcare and divided them into four groups based on the year of MS diagnosis: 1) Schumacher criteria (1974-1982), 2) Poser criteria (1983-2000), 3) Earlier McDonald criteria (2001-2016), and 4) Current McDonald criteria (2017-2021). Age-adjusted incidence and prevalence were calculated.</p><p><strong>Results: </strong>Age-adjusted incidence per 10<sup>5</sup> person years increased from 3.7 (95% CI 3.5-3.8) during the Schumacher criteria period to 9.2 (95% CI 9.0-9.4) during the earlier McDonald criteria. During the Current McDonald criteria incidence stabilized to 8.6 (95% CI 8.3-9.0). Prevalence increased from 24.3 (95% CI 22.8-25.8) to 241.5 (95% CI 237.3-245.6) per 10<sup>5</sup> person years.</p><p><strong>Conclusion: </strong>Both incidence and prevalence of MS increased significantly. Incidence showed a sharp increase when entering the twenty-first century, after which it stabilized. Increasing incidence was likely related to incorporation of MRI in the diagnostic criteria. Current diagnostic criteria did not further increase the incidence.</p>","PeriodicalId":18961,"journal":{"name":"Multiple Sclerosis Journal - Experimental, Translational and Clinical","volume":"11 1","pages":"20552173251326173"},"PeriodicalIF":2.3000,"publicationDate":"2025-03-16","publicationTypes":"Journal Article","fieldsOfStudy":null,"isOpenAccess":false,"openAccessPdf":"https://www.ncbi.nlm.nih.gov/pmc/articles/PMC11912163/pdf/","citationCount":"0","resultStr":null,"platform":"Semanticscholar","paperid":null,"PeriodicalName":"Multiple Sclerosis Journal - Experimental, Translational and Clinical","FirstCategoryId":"1085","ListUrlMain":"https://doi.org/10.1177/20552173251326173","RegionNum":0,"RegionCategory":null,"ArticlePicture":[],"TitleCN":null,"AbstractTextCN":null,"PMCID":null,"EPubDate":"2025/1/1 0:00:00","PubModel":"eCollection","JCR":"Q2","JCRName":"CLINICAL NEUROLOGY","Score":null,"Total":0}
引用次数: 0

Abstract

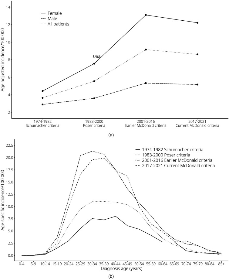
Background: Impact of changing diagnostic criteria for the population-based incidence of multiple sclerosis (MS) has not been investigated.

Objective: To assess the effect of changing diagnostic criteria on national MS incidence and prevalence in Finland from 1974 to 2021.

Methods: We identified patients with MS (pwMS) through the National MS registry and the national Care Register for Healthcare and divided them into four groups based on the year of MS diagnosis: 1) Schumacher criteria (1974-1982), 2) Poser criteria (1983-2000), 3) Earlier McDonald criteria (2001-2016), and 4) Current McDonald criteria (2017-2021). Age-adjusted incidence and prevalence were calculated.

Results: Age-adjusted incidence per 105 person years increased from 3.7 (95% CI 3.5-3.8) during the Schumacher criteria period to 9.2 (95% CI 9.0-9.4) during the earlier McDonald criteria. During the Current McDonald criteria incidence stabilized to 8.6 (95% CI 8.3-9.0). Prevalence increased from 24.3 (95% CI 22.8-25.8) to 241.5 (95% CI 237.3-245.6) per 105 person years.

Conclusion: Both incidence and prevalence of MS increased significantly. Incidence showed a sharp increase when entering the twenty-first century, after which it stabilized. Increasing incidence was likely related to incorporation of MRI in the diagnostic criteria. Current diagnostic criteria did not further increase the incidence.

Abstract Image

Abstract Image

Abstract Image

在不断发展的诊断标准时期多发性硬化症的发病率和患病率——一项超过50年的全国人口登记研究。
背景:改变诊断标准对以人群为基础的多发性硬化症(MS)发病率的影响尚未被调查。目的:评估1974年至2021年芬兰国家多发性硬化症发病率和患病率变化的诊断标准的影响。方法:我们通过国家多发性硬化症登记处和国家医疗保健护理登记处确定多发性硬化症(pwMS)患者,并根据多发性硬化症诊断年份将其分为四组:1)舒马赫标准(1974-1982),2)Poser标准(1983-2000),3)早期麦当劳标准(2001-2016)和4)当前麦当劳标准(2017-2021)。计算年龄调整后的发病率和患病率。结果:年龄调整后的发病率每105人年从舒马赫标准期间的3.7 (95% CI 3.5-3.8)增加到早期麦当劳标准期间的9.2 (95% CI 9.0-9.4)。在目前的麦当劳标准中,发病率稳定在8.6 (95% CI 8.3-9.0)。患病率从每105人年24.3例(95% CI 22.8-25.8)增加到241.5例(95% CI 237.3-245.6)。结论:MS的发病率和患病率均明显增高。进入21世纪后发病率急剧上升,此后趋于稳定。发病率增加可能与MRI纳入诊断标准有关。目前的诊断标准并没有进一步增加发病率。
本文章由计算机程序翻译,如有差异,请以英文原文为准。
求助全文
约1分钟内获得全文 求助全文
来源期刊
CiteScore
4.70
自引率
0.00%
发文量
54
审稿时长
15 weeks
×
引用
GB/T 7714-2015
复制
MLA
复制
APA
复制
导出至
BibTeX EndNote RefMan NoteFirst NoteExpress
×
提示
您的信息不完整,为了账户安全,请先补充。
现在去补充
×
提示
您因"违规操作"
具体请查看互助需知
我知道了
×
提示
确定
请完成安全验证×
copy
已复制链接
快去分享给好友吧!
我知道了
右上角分享
点击右上角分享
0
联系我们:info@booksci.cn Book学术提供免费学术资源搜索服务,方便国内外学者检索中英文文献。致力于提供最便捷和优质的服务体验。 Copyright © 2023 布克学术 All rights reserved.
京ICP备2023020795号-1
ghs 京公网安备 11010802042870号
Book学术文献互助
Book学术文献互助群
群 号:604180095
Book学术官方微信