Treatment Goals for Prevention of Vertebral Fractures in Patients with Rheumatoid Arthritis.

Q2 Medicine
Journal of Bone Metabolism Pub Date : 2025-02-01 Epub Date: 2025-02-28 DOI:10.11005/jbm.24.811
Takeshi Mochizuki, Mari Ando, Koichiro Yano, Ryo Hiroshima, Katsunori Ikari, Ken Okazaki
{"title":"Treatment Goals for Prevention of Vertebral Fractures in Patients with Rheumatoid Arthritis.","authors":"Takeshi Mochizuki, Mari Ando, Koichiro Yano, Ryo Hiroshima, Katsunori Ikari, Ken Okazaki","doi":"10.11005/jbm.24.811","DOIUrl":null,"url":null,"abstract":"<p><strong>Background: </strong>Patients with rheumatoid arthritis (RA) are at an increased risk of osteoporosis and vertebral fractures. This study aimed to investigate factors associated with vertebral fractures and treatment goals to prevent new vertebral fractures in patients with RA.</p><p><strong>Methods: </strong>The database used in this study included outpatient data of RA patients at the authors' hospital of RA patients taken from 2018 to 2022. The patients underwent annual imaging evaluations to assess parameters, including bone mineral density of the lumbar spine (LS; L2-4), total hip, and femoral neck, as well as vertebral fractures. Vertebral fractures were evaluated using radiographic images of the T8 to L5 vertebrae.</p><p><strong>Results: </strong>The prevalence rates of new vertebral fractures in 2018-2019, 2019-2020, 2020- 2021, and 2021-2022 were 2.0%, 1.3%, 2.3%, and 2.0%, respectively. The presence of existing vertebral fractures was associated with new vertebral fractures (p=0.003; odds ratio, 0.241; 95% confidence interval, 0.093-0.624). The cut-off T-score values for the LS for new vertebral fractures in patients with or without pre-existing vertebral fractures were -0.7 (sensitivity, 40.9%; specificity, 100%) and -1.4 (sensitivity, 69.0%; specificity, 62.5%), respectively.</p><p><strong>Conclusions: </strong>The presence of pre-existing vertebral fractures is an independent factor associated with new vertebral fractures. It is important to tailor treatment goals based on the presence or absence of vertebral fractures to effectively prevent new fractures.</p>","PeriodicalId":15070,"journal":{"name":"Journal of Bone Metabolism","volume":"32 1","pages":"49-56"},"PeriodicalIF":0.0000,"publicationDate":"2025-02-01","publicationTypes":"Journal Article","fieldsOfStudy":null,"isOpenAccess":false,"openAccessPdf":"https://www.ncbi.nlm.nih.gov/pmc/articles/PMC11960298/pdf/","citationCount":"0","resultStr":null,"platform":"Semanticscholar","paperid":null,"PeriodicalName":"Journal of Bone Metabolism","FirstCategoryId":"1085","ListUrlMain":"https://doi.org/10.11005/jbm.24.811","RegionNum":0,"RegionCategory":null,"ArticlePicture":[],"TitleCN":null,"AbstractTextCN":null,"PMCID":null,"EPubDate":"2025/2/28 0:00:00","PubModel":"Epub","JCR":"Q2","JCRName":"Medicine","Score":null,"Total":0}
引用次数: 0

Abstract

Background: Patients with rheumatoid arthritis (RA) are at an increased risk of osteoporosis and vertebral fractures. This study aimed to investigate factors associated with vertebral fractures and treatment goals to prevent new vertebral fractures in patients with RA.

Methods: The database used in this study included outpatient data of RA patients at the authors' hospital of RA patients taken from 2018 to 2022. The patients underwent annual imaging evaluations to assess parameters, including bone mineral density of the lumbar spine (LS; L2-4), total hip, and femoral neck, as well as vertebral fractures. Vertebral fractures were evaluated using radiographic images of the T8 to L5 vertebrae.

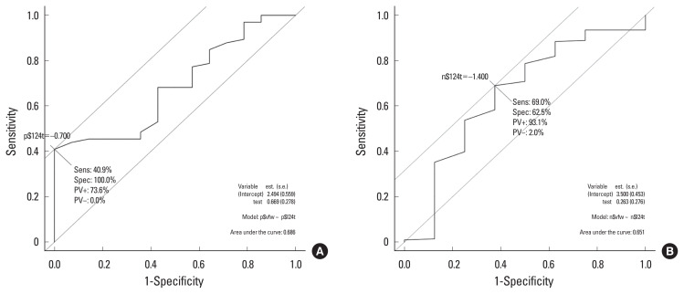
Results: The prevalence rates of new vertebral fractures in 2018-2019, 2019-2020, 2020- 2021, and 2021-2022 were 2.0%, 1.3%, 2.3%, and 2.0%, respectively. The presence of existing vertebral fractures was associated with new vertebral fractures (p=0.003; odds ratio, 0.241; 95% confidence interval, 0.093-0.624). The cut-off T-score values for the LS for new vertebral fractures in patients with or without pre-existing vertebral fractures were -0.7 (sensitivity, 40.9%; specificity, 100%) and -1.4 (sensitivity, 69.0%; specificity, 62.5%), respectively.

Conclusions: The presence of pre-existing vertebral fractures is an independent factor associated with new vertebral fractures. It is important to tailor treatment goals based on the presence or absence of vertebral fractures to effectively prevent new fractures.

Abstract Image

Abstract Image

Abstract Image

类风湿关节炎患者椎体骨折预防的治疗目标。
背景:类风湿性关节炎(RA)患者骨质疏松和椎体骨折的风险增加。本研究旨在探讨与RA患者椎体骨折相关的因素及治疗目标,以预防RA患者发生新的椎体骨折。方法:本研究使用的数据库包括作者所在医院2018 - 2022年RA患者的门诊数据。患者每年接受影像学评估以评估参数,包括腰椎骨矿物质密度(LS;L2-4),全髋关节和股骨颈,以及椎体骨折。椎体骨折采用T8至L5椎体的x线图像进行评估。结果:2018-2019年、2019-2020年、2020- 2021年和2021-2022年椎体新发骨折患病率分别为2.0%、1.3%、2.3%和2.0%。已有椎体骨折与新发椎体骨折相关(p=0.003;优势比0.241;95%置信区间为0.093-0.624)。对于存在或不存在椎体骨折的患者,LS的截点t评分值为-0.7(敏感性为40.9%;特异性,100%)和-1.4(敏感性,69.0%;特异性为62.5%)。结论:先前存在的椎体骨折是与新的椎体骨折相关的独立因素。重要的是根据有无椎体骨折来调整治疗目标,以有效预防新的骨折。
本文章由计算机程序翻译,如有差异,请以英文原文为准。
求助全文
约1分钟内获得全文 求助全文
来源期刊
Journal of Bone Metabolism
Journal of Bone Metabolism Medicine-Endocrinology, Diabetes and Metabolism
CiteScore
3.70
自引率
0.00%
发文量
23
×
引用
GB/T 7714-2015
复制
MLA
复制
APA
复制
导出至
BibTeX EndNote RefMan NoteFirst NoteExpress
×
提示
您的信息不完整,为了账户安全,请先补充。
现在去补充
×
提示
您因"违规操作"
具体请查看互助需知
我知道了
×
提示
确定
请完成安全验证×
copy
已复制链接
快去分享给好友吧!
我知道了
右上角分享
点击右上角分享
0
联系我们:info@booksci.cn Book学术提供免费学术资源搜索服务,方便国内外学者检索中英文文献。致力于提供最便捷和优质的服务体验。 Copyright © 2023 布克学术 All rights reserved.
京ICP备2023020795号-1
ghs 京公网安备 11010802042870号
Book学术文献互助
Book学术文献互助群
群 号:604180095
Book学术官方微信