First results of direct selective laser trabeculoplasty for the treatment of glaucoma.

IF 2.2 Q2 OPHTHALMOLOGY
Michele Lanza, Luigi Serra, Rosa Boccia, Teresa Cangiano, Italo Fattore, Salvatore Ambrosio, Francesca Simonelli
{"title":"First results of direct selective laser trabeculoplasty for the treatment of glaucoma.","authors":"Michele Lanza, Luigi Serra, Rosa Boccia, Teresa Cangiano, Italo Fattore, Salvatore Ambrosio, Francesca Simonelli","doi":"10.1136/bmjophth-2024-001922","DOIUrl":null,"url":null,"abstract":"<p><strong>Aim: </strong>To evaluate the efficacy and safety of direct selective laser trabeculoplasty (DSLT) on eyes with primary open-angle glaucoma (POAG) and on primary angle closure glaucoma (PACG) eyes at 1 year follow-up.</p><p><strong>Methods: </strong>In this study, 54 patients affected by POAG (76) or PACG (28) undergoing DSLT were enrolled, for a total of 104 eyes. Before each treatment and at each follow-up visit, all subjects underwent a complete eye visit, including the collection of data regarding the number and type of topical medications prescribed for glaucoma. The patients treated underwent 30-2 standardised automated perimetries prior to DSLT, at 6 months and 12 months post DSLT procedure. Each patient was checked at 1 week and subsequently at 1, 3, 6 and 12 months.</p><p><strong>Results: </strong>At 1 month follow-up, both the eyes affected by POAG and those affected by PACG showed significantly (p<0.01) lower mean intraocular pressure (IOP) (-3.67±2.95 mm Hg and -3.93±2.36 mm Hg, respectively) and lower mean number of IOP-lowering topical drugs taken (-0.62±0.57 and -0.78±0.64, respectively) after DSLT. These reductions remained significant until the 1 year follow-up, both for IOP (-3.76±2.84 mm Hg and 3.67±2.46 mm Hg, respectively) and for drugs assumed (-0.79±0.53 and 0.96±0.47, respectively). The mean deviation mean values showed perimetry stability both in POAG and in PACG eyes at 1 year follow-up. No major complications were observed in the eyes included in this study.</p><p><strong>Conclusions: </strong>Although this study has some limitations such as the retrospective design, the lack of comparison with standard selective laser trabeculoplasty (SLT) and the relatively short follow-up, the results observed require confirmation through further studies, with extended follow-up and larger cohorts. This study suggests that DSLT would be a useful tool for the management of patients with glaucoma.</p>","PeriodicalId":9286,"journal":{"name":"BMJ Open Ophthalmology","volume":"10 1","pages":""},"PeriodicalIF":2.2000,"publicationDate":"2025-03-15","publicationTypes":"Journal Article","fieldsOfStudy":null,"isOpenAccess":false,"openAccessPdf":"https://www.ncbi.nlm.nih.gov/pmc/articles/PMC11911663/pdf/","citationCount":"0","resultStr":null,"platform":"Semanticscholar","paperid":null,"PeriodicalName":"BMJ Open Ophthalmology","FirstCategoryId":"1085","ListUrlMain":"https://doi.org/10.1136/bmjophth-2024-001922","RegionNum":0,"RegionCategory":null,"ArticlePicture":[],"TitleCN":null,"AbstractTextCN":null,"PMCID":null,"EPubDate":"","PubModel":"","JCR":"Q2","JCRName":"OPHTHALMOLOGY","Score":null,"Total":0}
引用次数: 0

Abstract

Aim: To evaluate the efficacy and safety of direct selective laser trabeculoplasty (DSLT) on eyes with primary open-angle glaucoma (POAG) and on primary angle closure glaucoma (PACG) eyes at 1 year follow-up.

Methods: In this study, 54 patients affected by POAG (76) or PACG (28) undergoing DSLT were enrolled, for a total of 104 eyes. Before each treatment and at each follow-up visit, all subjects underwent a complete eye visit, including the collection of data regarding the number and type of topical medications prescribed for glaucoma. The patients treated underwent 30-2 standardised automated perimetries prior to DSLT, at 6 months and 12 months post DSLT procedure. Each patient was checked at 1 week and subsequently at 1, 3, 6 and 12 months.

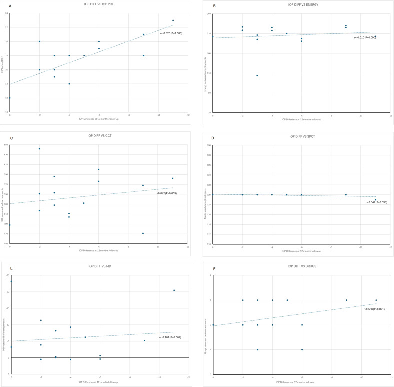
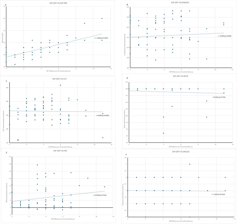
Results: At 1 month follow-up, both the eyes affected by POAG and those affected by PACG showed significantly (p<0.01) lower mean intraocular pressure (IOP) (-3.67±2.95 mm Hg and -3.93±2.36 mm Hg, respectively) and lower mean number of IOP-lowering topical drugs taken (-0.62±0.57 and -0.78±0.64, respectively) after DSLT. These reductions remained significant until the 1 year follow-up, both for IOP (-3.76±2.84 mm Hg and 3.67±2.46 mm Hg, respectively) and for drugs assumed (-0.79±0.53 and 0.96±0.47, respectively). The mean deviation mean values showed perimetry stability both in POAG and in PACG eyes at 1 year follow-up. No major complications were observed in the eyes included in this study.

Conclusions: Although this study has some limitations such as the retrospective design, the lack of comparison with standard selective laser trabeculoplasty (SLT) and the relatively short follow-up, the results observed require confirmation through further studies, with extended follow-up and larger cohorts. This study suggests that DSLT would be a useful tool for the management of patients with glaucoma.

Abstract Image

Abstract Image

Abstract Image

直接选择性激光小梁成形术治疗青光眼的初步结果。
目的:评价直接选择性激光小梁成形术(DSLT)治疗原发性开角型青光眼(POAG)和原发性闭角型青光眼(PACG) 1年的疗效和安全性。方法:本研究纳入54例POAG(76例)或PACG(28例)行DSLT的患者,共104眼。在每次治疗前和每次随访时,所有受试者都进行了一次完整的眼科检查,包括收集有关青光眼局部药物的数量和类型的数据。接受治疗的患者在DSLT手术前、DSLT手术后6个月和12个月分别进行了30-2次标准化自动围周检查。每个患者在第1周,随后在第1、3、6和12个月进行检查。结果:在随访1个月时,POAG和PACG的影响眼均有显著性变化(p)。结论:虽然本研究存在回顾性设计、缺乏与标准选择性激光小梁成形术(SLT)的比较、随访时间较短等局限性,但观察到的结果需要进一步的研究来证实,随访时间更长,队列更大。本研究提示DSLT将是治疗青光眼的有效工具。
本文章由计算机程序翻译,如有差异,请以英文原文为准。
求助全文
约1分钟内获得全文 求助全文
来源期刊
BMJ Open Ophthalmology
BMJ Open Ophthalmology OPHTHALMOLOGY-
CiteScore
3.40
自引率
4.20%
发文量
104
审稿时长
20 weeks
×
引用
GB/T 7714-2015
复制
MLA
复制
APA
复制
导出至
BibTeX EndNote RefMan NoteFirst NoteExpress
×
提示
您的信息不完整,为了账户安全,请先补充。
现在去补充
×
提示
您因"违规操作"
具体请查看互助需知
我知道了
×
提示
确定
请完成安全验证×
copy
已复制链接
快去分享给好友吧!
我知道了
右上角分享
点击右上角分享
0
联系我们:info@booksci.cn Book学术提供免费学术资源搜索服务,方便国内外学者检索中英文文献。致力于提供最便捷和优质的服务体验。 Copyright © 2023 布克学术 All rights reserved.
京ICP备2023020795号-1
ghs 京公网安备 11010802042870号
Book学术文献互助
Book学术文献互助群
群 号:604180095
Book学术官方微信