Cost-effectiveness analysis of combination therapies involving novel agents for first/second-relapse patients with multiple myeloma: a Markov model approach with calibration techniques.

IF 3.3 3区 经济学 Q1 ECONOMICS
Weijia Wu, Fengyuan Tang, Yannan Wang, Wenqianzi Yang, Zixuan Zhao, Yuan Gao, Hengjin Dong
{"title":"Cost-effectiveness analysis of combination therapies involving novel agents for first/second-relapse patients with multiple myeloma: a Markov model approach with calibration techniques.","authors":"Weijia Wu, Fengyuan Tang, Yannan Wang, Wenqianzi Yang, Zixuan Zhao, Yuan Gao, Hengjin Dong","doi":"10.1186/s13561-025-00611-0","DOIUrl":null,"url":null,"abstract":"<p><strong>Background: </strong>As the number of randomized clinical trials (RCTs) demonstrating the survival benefits of combination therapies in previously treated multiple myeloma (MM) patients increases, it is essential to determine the most cost-effective treatment through robust economic evaluation. This study aims to assess the cost-effectiveness of combination therapies for first/second-relapse MM patients from the perspective of the Chinese healthcare system.</p><p><strong>Methods: </strong>A Markov model was developed to evaluate three combination therapy groups based on primary drugs (bortezomib, lenalidomide, and carfilzomib). The economic evaluation was conducted within each group individually, rather than across different groups. Clinical inputs for the model were derived from RCT reports, while healthcare costs were sourced from the Zhejiang Province bidding database and a retrospective analysis. Utility values were obtained through an on-site survey using the Chinese version of the EuroQoL Five-dimensional Five-level Questionnaire. One-way and probabilistic sensitivity analyses were performed to assess the robustness of the base-case results.</p><p><strong>Results: </strong>In the bortezomib group, bortezomib-dexamethasone (Vd) yielded 2.42 quality-adjusted life years (QALYs) at a cost of ¥783,775. With a willingness-to-pay (WTP) threshold of three times the 2023 per capita GDP in China (¥258,074), pomalidomide-bortezomib-dexamethasone was the most cost-effective therapy (¥86,129/QALY) in this group. In the lenalidomide group, lenalidomide-dexamethasone (Rd) resulted in 3.06 QALYs at a cost of ¥840,509. Compared to Rd, the incremental cost-effectiveness ratios (ICERs) of elotuzumab-lenalidomide-dexamethasone (¥5,095,300/QALY), ixazomib-lenalidomide-dexamethasone (¥1,605,712/QALY), carfilzomib-lenalidomide-dexamethasone (¥955,255/QALY), and daratumumab-lenalidomide-dexamethasone (¥851,933/QALY) all exceeded the WTP threshold. In the carfilzomib group, carfilzomib-dexamethasone (Kd) resulted in 3.19 QALYs at a cost of ¥1,961,624. Compared to Kd, the ICERs of daratumumab-carfilzomib-dexamethasone (¥2,250,821/QALY) and isatuximab-carfilzomib-dexamethasone (¥4,977,964/QALY) also exceeded the WTP. Sensitivity analyses confirmed the robustness of the base-case results.</p><p><strong>Conclusions: </strong>Although this study did not fully account for the heterogeneity of subsequent treatment regimens among first/second-relapse MM patients, it highlights that the substantial financial burden associated with combination therapies involving novel agents poses a significant challenge in justifying their economic value.</p>","PeriodicalId":46936,"journal":{"name":"Health Economics Review","volume":"15 1","pages":"21"},"PeriodicalIF":3.3000,"publicationDate":"2025-03-15","publicationTypes":"Journal Article","fieldsOfStudy":null,"isOpenAccess":false,"openAccessPdf":"https://www.ncbi.nlm.nih.gov/pmc/articles/PMC11909854/pdf/","citationCount":"0","resultStr":null,"platform":"Semanticscholar","paperid":null,"PeriodicalName":"Health Economics Review","FirstCategoryId":"96","ListUrlMain":"https://doi.org/10.1186/s13561-025-00611-0","RegionNum":3,"RegionCategory":"经济学","ArticlePicture":[],"TitleCN":null,"AbstractTextCN":null,"PMCID":null,"EPubDate":"","PubModel":"","JCR":"Q1","JCRName":"ECONOMICS","Score":null,"Total":0}
引用次数: 0

Abstract

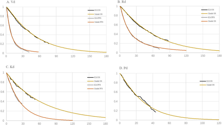
Background: As the number of randomized clinical trials (RCTs) demonstrating the survival benefits of combination therapies in previously treated multiple myeloma (MM) patients increases, it is essential to determine the most cost-effective treatment through robust economic evaluation. This study aims to assess the cost-effectiveness of combination therapies for first/second-relapse MM patients from the perspective of the Chinese healthcare system.

Methods: A Markov model was developed to evaluate three combination therapy groups based on primary drugs (bortezomib, lenalidomide, and carfilzomib). The economic evaluation was conducted within each group individually, rather than across different groups. Clinical inputs for the model were derived from RCT reports, while healthcare costs were sourced from the Zhejiang Province bidding database and a retrospective analysis. Utility values were obtained through an on-site survey using the Chinese version of the EuroQoL Five-dimensional Five-level Questionnaire. One-way and probabilistic sensitivity analyses were performed to assess the robustness of the base-case results.

Results: In the bortezomib group, bortezomib-dexamethasone (Vd) yielded 2.42 quality-adjusted life years (QALYs) at a cost of ¥783,775. With a willingness-to-pay (WTP) threshold of three times the 2023 per capita GDP in China (¥258,074), pomalidomide-bortezomib-dexamethasone was the most cost-effective therapy (¥86,129/QALY) in this group. In the lenalidomide group, lenalidomide-dexamethasone (Rd) resulted in 3.06 QALYs at a cost of ¥840,509. Compared to Rd, the incremental cost-effectiveness ratios (ICERs) of elotuzumab-lenalidomide-dexamethasone (¥5,095,300/QALY), ixazomib-lenalidomide-dexamethasone (¥1,605,712/QALY), carfilzomib-lenalidomide-dexamethasone (¥955,255/QALY), and daratumumab-lenalidomide-dexamethasone (¥851,933/QALY) all exceeded the WTP threshold. In the carfilzomib group, carfilzomib-dexamethasone (Kd) resulted in 3.19 QALYs at a cost of ¥1,961,624. Compared to Kd, the ICERs of daratumumab-carfilzomib-dexamethasone (¥2,250,821/QALY) and isatuximab-carfilzomib-dexamethasone (¥4,977,964/QALY) also exceeded the WTP. Sensitivity analyses confirmed the robustness of the base-case results.

Conclusions: Although this study did not fully account for the heterogeneity of subsequent treatment regimens among first/second-relapse MM patients, it highlights that the substantial financial burden associated with combination therapies involving novel agents poses a significant challenge in justifying their economic value.

Abstract Image

Abstract Image

Abstract Image

采用新型药物联合治疗多发性骨髓瘤首次/二次复发患者的成本-效果分析:带有校准技术的马尔可夫模型方法
背景:随着随机临床试验(rct)数量的增加,证明联合治疗对先前治疗过的多发性骨髓瘤(MM)患者的生存益处,通过强有力的经济评估来确定最具成本效益的治疗是至关重要的。本研究旨在从中国医疗保健系统的角度评估首次/二次复发MM患者联合治疗的成本-效果。方法:采用马尔可夫模型评价以硼替佐米、来那度胺和卡非佐米为主要药物的3个联合治疗组。经济评估是在每个小组内部单独进行的,而不是在不同的小组之间进行的。该模型的临床输入来自RCT报告,而医疗成本来自浙江省招标数据库和回顾性分析。使用中文版EuroQoL五维五层次问卷进行现场调查,获得效用值。进行单向和概率敏感性分析以评估基本情况结果的稳健性。结果:硼替佐米组硼替佐米-地塞米松(Vd)的质量调整生命年(QALYs)为2.42,成本为783,775元。支付意愿阈值(WTP)为中国人均GDP 2023的3倍(258,074元),泊马度胺-硼替佐米-地塞米松是该组最具成本效益的治疗方案(86,129元/QALY)。来那度胺组来那度胺-地塞米松(Rd)的qaly为3.06,成本为840509元。与Rd相比,elotuzumab-来那度胺-地塞米松的增量成本-效果比(ICERs)(¥5,095,300/QALY)、ixazomib-来那度胺-地塞米松(¥1,605,712/QALY)、carfilzomib-来那度胺-地塞米松(¥955,255/QALY)和daratumumab-来那度胺-地塞米松(¥851,933/QALY)均超过WTP阈值。在卡非佐米组,卡非佐米-地塞米松(Kd)导致3.19个qaly,成本为¥1,961,624。与Kd相比,达拉图单抗-卡非佐米-地塞米松ICERs(¥2,250,821/QALY)和isatuximab-卡非佐米-地塞米松ICERs(¥4,977,964/QALY)也超过WTP。敏感性分析证实了基本情况结果的稳健性。结论:尽管这项研究没有完全解释首次/二次复发MM患者后续治疗方案的异质性,但它强调了与新药物联合治疗相关的巨大经济负担,对证明其经济价值提出了重大挑战。
本文章由计算机程序翻译,如有差异,请以英文原文为准。
求助全文
约1分钟内获得全文 求助全文
来源期刊
CiteScore
3.90
自引率
4.20%
发文量
59
审稿时长
13 weeks
期刊介绍: Health Economics Review is an international high-quality journal covering all fields of Health Economics. A broad range of theoretical contributions, empirical studies and analyses of health policy with a health economic focus will be considered for publication. Its scope includes macro- and microeconomics of health care financing, health insurance and reimbursement as well as health economic evaluation, health services research and health policy analysis. Further research topics are the individual and institutional aspects of health care management and the growing importance of health care in developing countries.
×
引用
GB/T 7714-2015
复制
MLA
复制
APA
复制
导出至
BibTeX EndNote RefMan NoteFirst NoteExpress
×
提示
您的信息不完整,为了账户安全,请先补充。
现在去补充
×
提示
您因"违规操作"
具体请查看互助需知
我知道了
×
提示
确定
请完成安全验证×
copy
已复制链接
快去分享给好友吧!
我知道了
右上角分享
点击右上角分享
0
联系我们:info@booksci.cn Book学术提供免费学术资源搜索服务,方便国内外学者检索中英文文献。致力于提供最便捷和优质的服务体验。 Copyright © 2023 布克学术 All rights reserved.
京ICP备2023020795号-1
ghs 京公网安备 11010802042870号
Book学术文献互助
Book学术文献互助群
群 号:604180095
Book学术官方微信