The behavioural effects of the serotonin 1A receptor agonist buspirone on cognition and emotional processing in healthy volunteers.

IF 3.3 3区 医学 Q2 NEUROSCIENCES
Psychopharmacology Pub Date : 2025-08-01 Epub Date: 2025-03-14 DOI:10.1007/s00213-025-06770-6
Alexander L W Smith, Sorcha Hamilton, Susannah E Murphy, Philip J Cowen, Catherine J Harmer
{"title":"The behavioural effects of the serotonin 1A receptor agonist buspirone on cognition and emotional processing in healthy volunteers.","authors":"Alexander L W Smith, Sorcha Hamilton, Susannah E Murphy, Philip J Cowen, Catherine J Harmer","doi":"10.1007/s00213-025-06770-6","DOIUrl":null,"url":null,"abstract":"<p><strong>Rationale: </strong>The 5-HT<sub>1A</sub> receptor is expressed widely across the brain and is implicated in the mechanism of action of several therapeutics for mood disorders. However, there is limited and contradictory evidence about the role of this receptor in emotional processing and cognition.</p><p><strong>Objectives: </strong>The current study tested the acute effects of a single dose of the 5-HT<sub>1A</sub> agonist buspirone (20 mg), on a range of emotional processing (Emotional Test Battery) and cognitive (Auditory Verbal Learning Task (AVLT) and N-back) tasks in healthy, male and female volunteers (N = 62). The study was a randomised, double-blind, placebo controlled, parallel group design.</p><p><strong>Results: </strong>Buspirone reduced accuracy for detection of facial expressions of disgust and increased misclassification of negative facial emotions. It had no significant effects on categorisation or recall of emotionally-valanced words. Buspirone also reduced recall accuracy in the AVLT but had no significant effect in the N-back task. Participants receiving buspirone were more likely to experience nausea, light-headedness and sleepiness.</p><p><strong>Conclusions: </strong>Acute buspirone administration produced a mild impairment in verbal memory and a subtle negative bias in emotional processing in healthy volunteers. These effects are consistent with the mixed effects of buspirone on pre- and post-synaptic 5-HT<sub>1A</sub> receptors.</p>","PeriodicalId":20783,"journal":{"name":"Psychopharmacology","volume":" ","pages":"1859-1873"},"PeriodicalIF":3.3000,"publicationDate":"2025-08-01","publicationTypes":"Journal Article","fieldsOfStudy":null,"isOpenAccess":false,"openAccessPdf":"https://www.ncbi.nlm.nih.gov/pmc/articles/PMC12296846/pdf/","citationCount":"0","resultStr":null,"platform":"Semanticscholar","paperid":null,"PeriodicalName":"Psychopharmacology","FirstCategoryId":"3","ListUrlMain":"https://doi.org/10.1007/s00213-025-06770-6","RegionNum":3,"RegionCategory":"医学","ArticlePicture":[],"TitleCN":null,"AbstractTextCN":null,"PMCID":null,"EPubDate":"2025/3/14 0:00:00","PubModel":"Epub","JCR":"Q2","JCRName":"NEUROSCIENCES","Score":null,"Total":0}
引用次数: 0

Abstract

Rationale: The 5-HT1A receptor is expressed widely across the brain and is implicated in the mechanism of action of several therapeutics for mood disorders. However, there is limited and contradictory evidence about the role of this receptor in emotional processing and cognition.

Objectives: The current study tested the acute effects of a single dose of the 5-HT1A agonist buspirone (20 mg), on a range of emotional processing (Emotional Test Battery) and cognitive (Auditory Verbal Learning Task (AVLT) and N-back) tasks in healthy, male and female volunteers (N = 62). The study was a randomised, double-blind, placebo controlled, parallel group design.

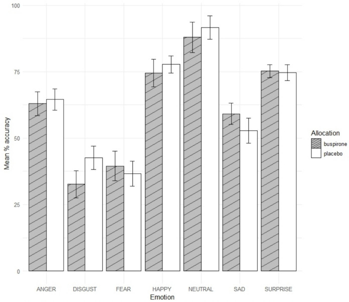
Results: Buspirone reduced accuracy for detection of facial expressions of disgust and increased misclassification of negative facial emotions. It had no significant effects on categorisation or recall of emotionally-valanced words. Buspirone also reduced recall accuracy in the AVLT but had no significant effect in the N-back task. Participants receiving buspirone were more likely to experience nausea, light-headedness and sleepiness.

Conclusions: Acute buspirone administration produced a mild impairment in verbal memory and a subtle negative bias in emotional processing in healthy volunteers. These effects are consistent with the mixed effects of buspirone on pre- and post-synaptic 5-HT1A receptors.

Abstract Image

Abstract Image

Abstract Image

血清素1A受体激动剂丁螺环酮对健康志愿者认知和情绪加工的行为影响。
原理:5-HT1A受体在整个大脑中广泛表达,并与几种情绪障碍疗法的作用机制有关。然而,关于这种受体在情绪处理和认知中的作用,证据有限且相互矛盾。目的:本研究测试了单剂量5-HT1A激动剂丁螺环酮(20mg)对健康男性和女性志愿者(N = 62)一系列情绪处理(情绪测试电池)和认知(听觉言语学习任务(AVLT)和N-back)任务的急性影响。该研究采用随机、双盲、安慰剂对照、平行组设计。结果:丁螺环酮降低了厌恶面部表情检测的准确性,增加了对负面面部情绪的错误分类。它对分类和回忆情绪性词汇没有显著影响。丁螺环酮也降低了AVLT的回忆准确性,但在N-back任务中没有显著影响。服用丁螺环酮的参与者更有可能感到恶心、头晕和困倦。结论:急性丁螺环酮给药对健康志愿者的言语记忆有轻度损害,对情绪加工有轻微的负向偏倚。这些作用与丁螺环酮对突触前和突触后5-HT1A受体的混合作用一致。
本文章由计算机程序翻译,如有差异,请以英文原文为准。
求助全文
约1分钟内获得全文 求助全文
来源期刊
Psychopharmacology
Psychopharmacology 医学-精神病学
CiteScore
7.10
自引率
5.90%
发文量
257
审稿时长
2-4 weeks
期刊介绍: Official Journal of the European Behavioural Pharmacology Society (EBPS) Psychopharmacology is an international journal that covers the broad topic of elucidating mechanisms by which drugs affect behavior. The scope of the journal encompasses the following fields: Human Psychopharmacology: Experimental This section includes manuscripts describing the effects of drugs on mood, behavior, cognition and physiology in humans. The journal encourages submissions that involve brain imaging, genetics, neuroendocrinology, and developmental topics. Usually manuscripts in this section describe studies conducted under controlled conditions, but occasionally descriptive or observational studies are also considered. Human Psychopharmacology: Clinical and Translational This section comprises studies addressing the broad intersection of drugs and psychiatric illness. This includes not only clinical trials and studies of drug usage and metabolism, drug surveillance, and pharmacoepidemiology, but also work utilizing the entire range of clinically relevant methodologies, including neuroimaging, pharmacogenetics, cognitive science, biomarkers, and others. Work directed toward the translation of preclinical to clinical knowledge is especially encouraged. The key feature of submissions to this section is that they involve a focus on clinical aspects. Preclinical psychopharmacology: Behavioral and Neural This section considers reports on the effects of compounds with defined chemical structures on any aspect of behavior, in particular when correlated with neurochemical effects, in species other than humans. Manuscripts containing neuroscientific techniques in combination with behavior are welcome. We encourage reports of studies that provide insight into the mechanisms of drug action, at the behavioral and molecular levels. Preclinical Psychopharmacology: Translational This section considers manuscripts that enhance the confidence in a central mechanism that could be of therapeutic value for psychiatric or neurological patients, using disease-relevant preclinical models and tests, or that report on preclinical manipulations and challenges that have the potential to be translated to the clinic. Studies aiming at the refinement of preclinical models based upon clinical findings (back-translation) will also be considered. The journal particularly encourages submissions that integrate measures of target tissue exposure, activity on the molecular target and/or modulation of the targeted biochemical pathways. Preclinical Psychopharmacology: Molecular, Genetic and Epigenetic This section focuses on the molecular and cellular actions of neuropharmacological agents / drugs, and the identification / validation of drug targets affecting the CNS in health and disease. We particularly encourage studies that provide insight into the mechanisms of drug action at the molecular level. Manuscripts containing evidence for genetic or epigenetic effects on neurochemistry or behavior are welcome.
×
引用
GB/T 7714-2015
复制
MLA
复制
APA
复制
导出至
BibTeX EndNote RefMan NoteFirst NoteExpress
×
提示
您的信息不完整,为了账户安全,请先补充。
现在去补充
×
提示
您因"违规操作"
具体请查看互助需知
我知道了
×
提示
确定
请完成安全验证×
copy
已复制链接
快去分享给好友吧!
我知道了
右上角分享
点击右上角分享
0
联系我们:info@booksci.cn Book学术提供免费学术资源搜索服务,方便国内外学者检索中英文文献。致力于提供最便捷和优质的服务体验。 Copyright © 2023 布克学术 All rights reserved.
京ICP备2023020795号-1
ghs 京公网安备 11010802042870号
Book学术文献互助
Book学术文献互助群
群 号:604180095
Book学术官方微信