A systematic review and meta-analysis of follicle-stimulating hormone levels among men with type 2 diabetes.

IF 2 3区 医学 Q2 ANDROLOGY
Fahimeh Ramezani Tehrani, Vida Ghasemi, Marzieh Saei Ghare Naz
{"title":"A systematic review and meta-analysis of follicle-stimulating hormone levels among men with type 2 diabetes.","authors":"Fahimeh Ramezani Tehrani, Vida Ghasemi, Marzieh Saei Ghare Naz","doi":"10.1186/s12610-025-00257-2","DOIUrl":null,"url":null,"abstract":"<p><strong>Background: </strong>There are some studies with inconsistent results regarding the association between follicle stimulating hormone (FSH) levels and type 2 diabetes (T2DM) among men. We performed a systematic review and meta-analysis that explored the FSH levels among men with and without T2DM.</p><p><strong>Results: </strong>Twenty studies with a total sample size of 4,208 (2167diabetic men and 2041 control) were included in this meta-analysis. The standardized mean differences (SMD) in men who had T2DM compared to control group were -0,237 (CI95%: -0,582 to 0,108; P = 0.17; I<sup>2</sup>: 95,83%; Egger's test: 0.06; Begg's test: 0.15). This finding was significant after sensitivity analysis. Among Asian studies SDM was -0,955 (CI95%: -1,630 to -0,279; p = 0.006; I2: 96.91%; Egger's test: 0.03; Begg's test: 0.01), with diabetic men had lower FSH than control group. African diabetic males the FSH levels was not different than non-diabetics (SMD: 0,386; CI95%: -0,0401 to 0,813; p = 0.07; I2: 94.26%; Egger's test: 0.31; Begg's test: 0.21). Also, among European men the FSH levels was significantly different than non-diabetics (SMD: 0,273; CI95%:0,0960 to 0,450; p = 0.003; I2: 18.41%; Egger's test: P < 0,0001; Begg's test: 0.31).</p><p><strong>Conclusion: </strong>Our meta-analysis of the current literature suggests that serum FSH levels are significantly lower in Asian men diagnosed with T2DM compared to their non-diabetic counterparts. This finding highlights a potential association between altered FSH concentrations and the pathogenesis of T2DM. Future studies should aim to unravel these mechanistic pathways and to assess the clinical utility of FSH as a biomarker for T2DM risk assessment and management in the male population.</p>","PeriodicalId":8730,"journal":{"name":"Basic and Clinical Andrology","volume":"35 1","pages":"11"},"PeriodicalIF":2.0000,"publicationDate":"2025-03-14","publicationTypes":"Journal Article","fieldsOfStudy":null,"isOpenAccess":false,"openAccessPdf":"https://www.ncbi.nlm.nih.gov/pmc/articles/PMC11908071/pdf/","citationCount":"0","resultStr":null,"platform":"Semanticscholar","paperid":null,"PeriodicalName":"Basic and Clinical Andrology","FirstCategoryId":"3","ListUrlMain":"https://doi.org/10.1186/s12610-025-00257-2","RegionNum":3,"RegionCategory":"医学","ArticlePicture":[],"TitleCN":null,"AbstractTextCN":null,"PMCID":null,"EPubDate":"","PubModel":"","JCR":"Q2","JCRName":"ANDROLOGY","Score":null,"Total":0}
引用次数: 0

Abstract

Background: There are some studies with inconsistent results regarding the association between follicle stimulating hormone (FSH) levels and type 2 diabetes (T2DM) among men. We performed a systematic review and meta-analysis that explored the FSH levels among men with and without T2DM.

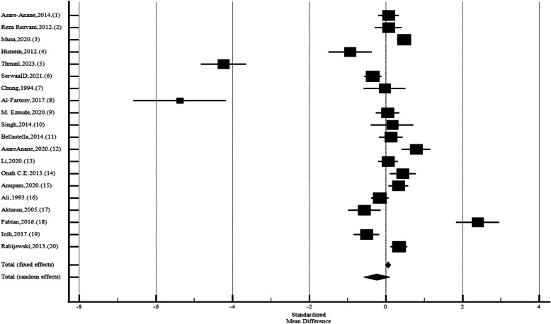
Results: Twenty studies with a total sample size of 4,208 (2167diabetic men and 2041 control) were included in this meta-analysis. The standardized mean differences (SMD) in men who had T2DM compared to control group were -0,237 (CI95%: -0,582 to 0,108; P = 0.17; I2: 95,83%; Egger's test: 0.06; Begg's test: 0.15). This finding was significant after sensitivity analysis. Among Asian studies SDM was -0,955 (CI95%: -1,630 to -0,279; p = 0.006; I2: 96.91%; Egger's test: 0.03; Begg's test: 0.01), with diabetic men had lower FSH than control group. African diabetic males the FSH levels was not different than non-diabetics (SMD: 0,386; CI95%: -0,0401 to 0,813; p = 0.07; I2: 94.26%; Egger's test: 0.31; Begg's test: 0.21). Also, among European men the FSH levels was significantly different than non-diabetics (SMD: 0,273; CI95%:0,0960 to 0,450; p = 0.003; I2: 18.41%; Egger's test: P < 0,0001; Begg's test: 0.31).

Conclusion: Our meta-analysis of the current literature suggests that serum FSH levels are significantly lower in Asian men diagnosed with T2DM compared to their non-diabetic counterparts. This finding highlights a potential association between altered FSH concentrations and the pathogenesis of T2DM. Future studies should aim to unravel these mechanistic pathways and to assess the clinical utility of FSH as a biomarker for T2DM risk assessment and management in the male population.

Abstract Image

Abstract Image

Abstract Image

2型糖尿病男性促卵泡激素水平的系统回顾和荟萃分析。
背景:有一些关于促卵泡激素(FSH)水平与男性2型糖尿病(T2DM)之间关系的研究结果不一致。我们进行了系统回顾和荟萃分析,探讨了有和没有2型糖尿病的男性的FSH水平。结果:本荟萃分析纳入了20项研究,总样本量为4208例(男性糖尿病患者2167例,对照组2041例)。与对照组相比,T2DM患者的标准化平均差异(SMD)为-0,237 (CI95%: -0,582至0,108;p = 0.17;I2: 95起,83%。艾格检验:0.06;贝格测试值:0.15)。经过敏感性分析,这一发现具有重要意义。在亚洲研究中,SDM为-0,955 (CI95%: -1,630至-0,279;p = 0.006;I2: 96.91%;艾格检验:0.03;Begg’s检验:0.01),糖尿病患者的卵泡刺激素低于对照组。非洲男性糖尿病患者FSH水平与非糖尿病患者无显著差异(SMD: 0,386;CI95%: -0,0401 ~ 0,813;p = 0.07;I2: 94.26%;艾格检验:0.31;贝格检验:0.21)。此外,在欧洲男性中,FSH水平与非糖尿病患者显著不同(SMD: 0,273;CI95%:0,0960 - 0,450;p = 0.003;I2: 18.41%;结论:我们对当前文献的荟萃分析表明,诊断为2型糖尿病的亚洲男性血清FSH水平明显低于非糖尿病患者。这一发现强调了FSH浓度改变与T2DM发病机制之间的潜在关联。未来的研究应旨在揭示这些机制途径,并评估FSH作为男性人群中T2DM风险评估和管理的生物标志物的临床应用。
本文章由计算机程序翻译,如有差异,请以英文原文为准。
求助全文
约1分钟内获得全文 求助全文
来源期刊
Basic and Clinical Andrology
Basic and Clinical Andrology Medicine-Urology
CiteScore
3.50
自引率
0.00%
发文量
21
审稿时长
22 weeks
期刊介绍: Basic and Clinical Andrology is an open access journal in the domain of andrology covering all aspects of male reproductive and sexual health in both human and animal models. The journal aims to bring to light the various clinical advancements and research developments in andrology from the international community.
×
引用
GB/T 7714-2015
复制
MLA
复制
APA
复制
导出至
BibTeX EndNote RefMan NoteFirst NoteExpress
×
提示
您的信息不完整,为了账户安全,请先补充。
现在去补充
×
提示
您因"违规操作"
具体请查看互助需知
我知道了
×
提示
确定
请完成安全验证×
copy
已复制链接
快去分享给好友吧!
我知道了
右上角分享
点击右上角分享
0
联系我们:info@booksci.cn Book学术提供免费学术资源搜索服务,方便国内外学者检索中英文文献。致力于提供最便捷和优质的服务体验。 Copyright © 2023 布克学术 All rights reserved.
京ICP备2023020795号-1
ghs 京公网安备 11010802042870号
Book学术文献互助
Book学术文献互助群
群 号:604180095
Book学术官方微信