Sensory and behavioral responses of braconid parasitoids to changes in volatile emissions induced by wheat stem sawfly (Hymenoptera: Cephidae) larval feeding in winter wheat and smooth brome.

IF 2 3区 农林科学 Q1 ENTOMOLOGY
Jackson R Strand, Oscar G Perez Moya, Robert K D Peterson, Tracy M Sterling, David K Weaver
{"title":"Sensory and behavioral responses of braconid parasitoids to changes in volatile emissions induced by wheat stem sawfly (Hymenoptera: Cephidae) larval feeding in winter wheat and smooth brome.","authors":"Jackson R Strand, Oscar G Perez Moya, Robert K D Peterson, Tracy M Sterling, David K Weaver","doi":"10.1093/jisesa/ieaf016","DOIUrl":null,"url":null,"abstract":"<p><p>The wheat stem sawfly, Cephus cinctus Norton, is a major pest of cultivated wheat (Triticum aestivum L.) and other cereals in North America. The native congeneric parasitoids Bracon cephi (Gahan) and B. lissogaster Muesebeck are important biocontrol agents and play a crucial role in managing wheat stem sawfly outbreaks and damage. Smooth brome grass (Bromus inermis Leyss) has been found to be an effective wheat stem sawfly sink and parasitoid source when grown in areas neighboring wheat fields in Montana. To better understand the ecology of the system, we investigated both the wheat stem sawfly-induced volatile organic compounds produced by smooth brome and winter wheat, and the electrophysiological and behavioral response of B. cephi and B. lissogaster to the collected volatiles via coupled electroantennography and gas chromatography-flame ionization detection. Volatile concentration analysis indicated significantly increased production of (Z)-3-hexenyl acetate, 6-methyl-5-hepten-2-one, and (E)-2-hexenal in wheat stem sawfly-infested smooth brome, and elevated production of 6-methyl-5-hepten-2-one in infested smooth brome and winter wheat when compared to their uninfested counterparts. Both B. cephi and B. lissogaster exhibited significant electrophysiological and behavioral response to (Z)-3-hexenyl acetate, 6-methyl-5-hepten-2-one, and hexahydrofarnesyl acetone. Our results provide important evidence supporting habitat management recommendations that will enhance the effectiveness of biological control, contributing to more sustainable agricultural practices and the preservation of vital ecological functions.</p>","PeriodicalId":16156,"journal":{"name":"Journal of Insect Science","volume":"25 2","pages":""},"PeriodicalIF":2.0000,"publicationDate":"2025-03-14","publicationTypes":"Journal Article","fieldsOfStudy":null,"isOpenAccess":false,"openAccessPdf":"https://www.ncbi.nlm.nih.gov/pmc/articles/PMC11908414/pdf/","citationCount":"0","resultStr":null,"platform":"Semanticscholar","paperid":null,"PeriodicalName":"Journal of Insect Science","FirstCategoryId":"97","ListUrlMain":"https://doi.org/10.1093/jisesa/ieaf016","RegionNum":3,"RegionCategory":"农林科学","ArticlePicture":[],"TitleCN":null,"AbstractTextCN":null,"PMCID":null,"EPubDate":"","PubModel":"","JCR":"Q1","JCRName":"ENTOMOLOGY","Score":null,"Total":0}
引用次数: 0

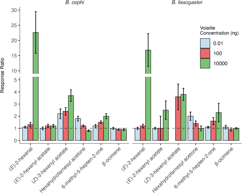
Abstract

The wheat stem sawfly, Cephus cinctus Norton, is a major pest of cultivated wheat (Triticum aestivum L.) and other cereals in North America. The native congeneric parasitoids Bracon cephi (Gahan) and B. lissogaster Muesebeck are important biocontrol agents and play a crucial role in managing wheat stem sawfly outbreaks and damage. Smooth brome grass (Bromus inermis Leyss) has been found to be an effective wheat stem sawfly sink and parasitoid source when grown in areas neighboring wheat fields in Montana. To better understand the ecology of the system, we investigated both the wheat stem sawfly-induced volatile organic compounds produced by smooth brome and winter wheat, and the electrophysiological and behavioral response of B. cephi and B. lissogaster to the collected volatiles via coupled electroantennography and gas chromatography-flame ionization detection. Volatile concentration analysis indicated significantly increased production of (Z)-3-hexenyl acetate, 6-methyl-5-hepten-2-one, and (E)-2-hexenal in wheat stem sawfly-infested smooth brome, and elevated production of 6-methyl-5-hepten-2-one in infested smooth brome and winter wheat when compared to their uninfested counterparts. Both B. cephi and B. lissogaster exhibited significant electrophysiological and behavioral response to (Z)-3-hexenyl acetate, 6-methyl-5-hepten-2-one, and hexahydrofarnesyl acetone. Our results provide important evidence supporting habitat management recommendations that will enhance the effectiveness of biological control, contributing to more sustainable agricultural practices and the preservation of vital ecological functions.

Abstract Image

Abstract Image

Abstract Image

麦秆锯蝇(膜翅目:蚜科)取食冬小麦和麦穗诱导的挥发物排放变化对小蜂类寄生蜂的感觉和行为反应
麦秆锯蝇是北美栽培小麦(Triticum aestivum L.)和其他谷物的主要害虫。原生同源拟寄生物小檗(bron cephi, Gahan)和麦秆锯蝇(B. lissogaster Muesebeck)是重要的生物防治剂,在防治麦秆锯蝇暴发和危害方面发挥着重要作用。在美国蒙大拿州麦地附近种植的雀麦草(Bromus inermis Leyss)是一种有效的麦秆锯蝇汇和寄生蜂源。为了更好地了解该系统的生态学,本研究通过耦合电天线和气相色谱-火焰电离检测技术,研究了麦秆松蝇诱导的麦秆松蝇和冬小麦产生的挥发性有机化合物,以及麦秆松蝇和麦秆松蝇对收集到的挥发性有机化合物的电生理和行为反应。挥发物浓度分析表明,麦秆锯蝇侵染后的光腐麦中(Z)-3-己烯乙酸酯、6-甲基-5-庚烯-2- 1和(E)-2-己烯醛的产量显著高于未侵染的光腐麦和冬小麦,6-甲基-5-庚烯-2- 1的产量也显著高于未侵染小麦。对(Z)-3-己烯乙酸酯、6-甲基-5-庚烯-2- 1和六氢法尼酯丙酮均表现出显著的电生理和行为反应。我们的研究结果为生境管理建议提供了重要证据,这些建议将提高生物控制的有效性,促进更可持续的农业实践和重要生态功能的保护。
本文章由计算机程序翻译,如有差异,请以英文原文为准。
求助全文
约1分钟内获得全文 求助全文
来源期刊
Journal of Insect Science
Journal of Insect Science 生物-昆虫学
CiteScore
3.70
自引率
0.00%
发文量
80
审稿时长
7.5 months
期刊介绍: The Journal of Insect Science was founded with support from the University of Arizona library in 2001 by Dr. Henry Hagedorn, who served as editor-in-chief until his death in January 2014. The Entomological Society of America was very pleased to add the Journal of Insect Science to its publishing portfolio in 2014. The fully open access journal publishes papers in all aspects of the biology of insects and other arthropods from the molecular to the ecological, and their agricultural and medical impact.
×
引用
GB/T 7714-2015
复制
MLA
复制
APA
复制
导出至
BibTeX EndNote RefMan NoteFirst NoteExpress
×
提示
您的信息不完整,为了账户安全,请先补充。
现在去补充
×
提示
您因"违规操作"
具体请查看互助需知
我知道了
×
提示
确定
请完成安全验证×
copy
已复制链接
快去分享给好友吧!
我知道了
右上角分享
点击右上角分享
0
联系我们:info@booksci.cn Book学术提供免费学术资源搜索服务,方便国内外学者检索中英文文献。致力于提供最便捷和优质的服务体验。 Copyright © 2023 布克学术 All rights reserved.
京ICP备2023020795号-1
ghs 京公网安备 11010802042870号
Book学术文献互助
Book学术文献互助群
群 号:604180095
Book学术官方微信