Postnatal growth and metabolic blood biomarkers in preterm infants developing reversible retinopathy of prematurity.

IF 2.2 Q2 OPHTHALMOLOGY
Dorte Aalund Olsen, Aneta Aleksandra Nielsen, Frederik Sørensen, Julie Lyng Forman, Ivan Brandslund, Gorm Greisen, Carina Slidsborg
{"title":"Postnatal growth and metabolic blood biomarkers in preterm infants developing reversible retinopathy of prematurity.","authors":"Dorte Aalund Olsen, Aneta Aleksandra Nielsen, Frederik Sørensen, Julie Lyng Forman, Ivan Brandslund, Gorm Greisen, Carina Slidsborg","doi":"10.1136/bmjophth-2024-001975","DOIUrl":null,"url":null,"abstract":"<p><strong>Purpose: </strong>To investigate predictive potential of growth and metabolic blood biomarkers in the development of milder, reversible retinopathy of prematurity (ROP) stages.</p><p><strong>Methods: </strong>Biomarkers were obtained from blood samples collected every second postnatal week in a prospective, longitudinal cohort study including 108 infants born with a gestational age (GA) <32 weeks in four hospitals in the Capital Region of Denmark, 2018-2019. ROP diagnoses were obtained from the electronic medical record system together with demographic, clinical and laboratory data. Measurement of glucose was summarised as mean and SD for every postnatal week and growth was summarised as increment in weight, head circumference (biparietal diameter) and length every postnatal week. The predictive potential of each biomarker and each marker of growth in turn were evaluated in univariate receiver operating characteristics curve analyses and in multivariate analyses including GA and small for gestational age (SGA) as known predictors.</p><p><strong>Results: </strong>The strongest isolated postnatal predictor of ROP was weight gain at the second postnatal week with an area under the curve (AUC) of 0.80 (95% CI: 0.70 to 0.89). However, it only added insignificantly to the AUC (0.85; 95% CI: 0.76 to 0.93, adj. p=0.89) compared with GA and SGA alone (AUC=0.80, 95% CI: 0.70 to 0.90). Mean glucose in PNA weeks 1-4, glycaemic variability as measured by glucose SD weeks 1-3 PNA, and concentrations of adiponectin/glucose (mean) ratio were also associated with ROP diagnosis (AUCs ranging from 0.679 to 0.77) but did also not contribute significantly to the AUC compared with GA and SGA alone.</p><p><strong>Conclusions: </strong>Postnatal growth and metabolic blood biomarkers were significantly associated with milder, reversible ROP, but none of these gave prediction over and above GA and SGA. Due to the small sample sizes, potential predictors could only be investigated in univariate analyses. Larger studies are needed to fully explore the predictive potential of all the biomarkers.</p>","PeriodicalId":9286,"journal":{"name":"BMJ Open Ophthalmology","volume":"10 1","pages":""},"PeriodicalIF":2.2000,"publicationDate":"2025-03-13","publicationTypes":"Journal Article","fieldsOfStudy":null,"isOpenAccess":false,"openAccessPdf":"https://www.ncbi.nlm.nih.gov/pmc/articles/PMC11907033/pdf/","citationCount":"0","resultStr":null,"platform":"Semanticscholar","paperid":null,"PeriodicalName":"BMJ Open Ophthalmology","FirstCategoryId":"1085","ListUrlMain":"https://doi.org/10.1136/bmjophth-2024-001975","RegionNum":0,"RegionCategory":null,"ArticlePicture":[],"TitleCN":null,"AbstractTextCN":null,"PMCID":null,"EPubDate":"","PubModel":"","JCR":"Q2","JCRName":"OPHTHALMOLOGY","Score":null,"Total":0}
引用次数: 0

Abstract

Purpose: To investigate predictive potential of growth and metabolic blood biomarkers in the development of milder, reversible retinopathy of prematurity (ROP) stages.

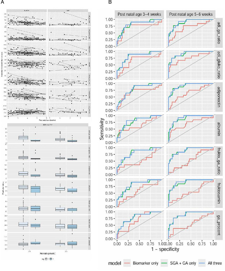
Methods: Biomarkers were obtained from blood samples collected every second postnatal week in a prospective, longitudinal cohort study including 108 infants born with a gestational age (GA) <32 weeks in four hospitals in the Capital Region of Denmark, 2018-2019. ROP diagnoses were obtained from the electronic medical record system together with demographic, clinical and laboratory data. Measurement of glucose was summarised as mean and SD for every postnatal week and growth was summarised as increment in weight, head circumference (biparietal diameter) and length every postnatal week. The predictive potential of each biomarker and each marker of growth in turn were evaluated in univariate receiver operating characteristics curve analyses and in multivariate analyses including GA and small for gestational age (SGA) as known predictors.

Results: The strongest isolated postnatal predictor of ROP was weight gain at the second postnatal week with an area under the curve (AUC) of 0.80 (95% CI: 0.70 to 0.89). However, it only added insignificantly to the AUC (0.85; 95% CI: 0.76 to 0.93, adj. p=0.89) compared with GA and SGA alone (AUC=0.80, 95% CI: 0.70 to 0.90). Mean glucose in PNA weeks 1-4, glycaemic variability as measured by glucose SD weeks 1-3 PNA, and concentrations of adiponectin/glucose (mean) ratio were also associated with ROP diagnosis (AUCs ranging from 0.679 to 0.77) but did also not contribute significantly to the AUC compared with GA and SGA alone.

Conclusions: Postnatal growth and metabolic blood biomarkers were significantly associated with milder, reversible ROP, but none of these gave prediction over and above GA and SGA. Due to the small sample sizes, potential predictors could only be investigated in univariate analyses. Larger studies are needed to fully explore the predictive potential of all the biomarkers.

Abstract Image

Abstract Image

Abstract Image

发生可逆性早产儿视网膜病变的早产儿的产后生长和代谢血液生物标志物。
目的:探讨生长和代谢血液生物标志物在轻度、可逆性早产儿视网膜病变(ROP)发展中的预测潜力。方法:在一项包括108名胎龄(GA)婴儿的前瞻性纵向队列研究中,从出生后每两周采集的血液样本中获得生物标志物。结果:出生后第二周体重增加是ROP最强的独立预测因子,曲线下面积(AUC)为0.80 (95% CI: 0.70至0.89)。但对AUC的影响不显著(0.85;95% CI: 0.76 ~ 0.93, adj. p=0.89),与单纯GA和SGA相比(AUC=0.80, 95% CI: 0.70 ~ 0.90)。PNA 1-4周的平均葡萄糖、1-3周葡萄糖SD测量的血糖变变性以及脂联素/葡萄糖浓度(平均)比也与ROP诊断相关(AUC范围为0.679至0.77),但与单独的GA和SGA相比,对AUC也没有显著贡献。结论:出生后生长和代谢性血液生物标志物与轻度可逆性ROP显著相关,但这些指标均不能预测高于GA和SGA的ROP。由于样本量小,潜在的预测因子只能在单变量分析中进行调查。需要更大规模的研究来充分探索所有生物标志物的预测潜力。
本文章由计算机程序翻译,如有差异,请以英文原文为准。
求助全文
约1分钟内获得全文 求助全文
来源期刊
BMJ Open Ophthalmology
BMJ Open Ophthalmology OPHTHALMOLOGY-
CiteScore
3.40
自引率
4.20%
发文量
104
审稿时长
20 weeks
×
引用
GB/T 7714-2015
复制
MLA
复制
APA
复制
导出至
BibTeX EndNote RefMan NoteFirst NoteExpress
×
提示
您的信息不完整,为了账户安全,请先补充。
现在去补充
×
提示
您因"违规操作"
具体请查看互助需知
我知道了
×
提示
确定
请完成安全验证×
copy
已复制链接
快去分享给好友吧!
我知道了
右上角分享
点击右上角分享
0
联系我们:info@booksci.cn Book学术提供免费学术资源搜索服务,方便国内外学者检索中英文文献。致力于提供最便捷和优质的服务体验。 Copyright © 2023 布克学术 All rights reserved.
京ICP备2023020795号-1
ghs 京公网安备 11010802042870号
Book学术文献互助
Book学术文献互助群
群 号:604180095
Book学术官方微信