Associations of Obesity and Prognostic Nutritional Index on 1-Year Mortality in Patients with Acute Heart Failure.

IF 5.7 Q1 CARDIAC & CARDIOVASCULAR SYSTEMS
Cardiac Failure Review Pub Date : 2025-02-19 eCollection Date: 2025-01-01 DOI:10.15420/cfr.2024.35
Mohammed El-Sheikh, Nora Olsen El Caidi, Aginsha Kandiah, Sandra Henriette Tonning, Ida Arentz Taraldsen, Frederik Dencker Wisborg, Ove Andersen, Jens Dahlgaard Hove, Johannes Grand
{"title":"Associations of Obesity and Prognostic Nutritional Index on 1-Year Mortality in Patients with Acute Heart Failure.","authors":"Mohammed El-Sheikh, Nora Olsen El Caidi, Aginsha Kandiah, Sandra Henriette Tonning, Ida Arentz Taraldsen, Frederik Dencker Wisborg, Ove Andersen, Jens Dahlgaard Hove, Johannes Grand","doi":"10.15420/cfr.2024.35","DOIUrl":null,"url":null,"abstract":"<p><strong>Background: </strong>Increased BMI is paradoxically associated with improved survival among patients with acute heart failure (AHF). However, the impact of different nutritional status on this obesity paradox on 1-year mortality is underreported. The prognostic nutritional index is a simple tool to assess nutrition status.</p><p><strong>Methods: </strong>From 10,027 emergency department admissions at the Amager and Hvidovre Hospital, Copenhagen University Hospital in Denmark, all patients with AHF were identified. Patients were categorised by BMI (normal: 18.5-24.9 kg/m<sup>2</sup>, overweight: 25-29.9 kg/m<sup>2</sup>, obese: ≥30 kg/m<sup>2</sup>) and nutritional status using the prognostic nutritional index (malnourished: <38, well-nourished: ≥38). Kaplan- Meier curves analysed cumulative survival, and Cox regression examined associations between BMI, nutritional status and outcomes, expressed as HR and 95% CI.</p><p><strong>Results: </strong>Among 383 AHF patients (median age 76 years), 41.3% were malnourished and 58.7% well nourished. In the well-nourished group, obesity was inversely associated with 1-year mortality (adjusted HR 0.48; 95% CI [0.24-0.95]; p=0.035). However, this correlation disappeared in the malnourished group (adjusted HR 1.08; 95% CI [0.59-2.00]; p=0.798). Mortality rates were significantly lower in the well-nourished group among patients with overweight and obesity.</p><p><strong>Conclusion: </strong>Obesity was associated with reduced 1-year mortality only in AHF patients with good nutritional status, while in malnourished patients, obesity was not associated with 1-year mortality. The prognosis in patients with AHF depends on both the presence of obesity and their nutritional status, highlighting the need for nutritional assessment for risk stratification.</p>","PeriodicalId":33741,"journal":{"name":"Cardiac Failure Review","volume":"11 ","pages":"e03"},"PeriodicalIF":5.7000,"publicationDate":"2025-02-19","publicationTypes":"Journal Article","fieldsOfStudy":null,"isOpenAccess":false,"openAccessPdf":"https://www.ncbi.nlm.nih.gov/pmc/articles/PMC11904423/pdf/","citationCount":"0","resultStr":null,"platform":"Semanticscholar","paperid":null,"PeriodicalName":"Cardiac Failure Review","FirstCategoryId":"1085","ListUrlMain":"https://doi.org/10.15420/cfr.2024.35","RegionNum":0,"RegionCategory":null,"ArticlePicture":[],"TitleCN":null,"AbstractTextCN":null,"PMCID":null,"EPubDate":"2025/1/1 0:00:00","PubModel":"eCollection","JCR":"Q1","JCRName":"CARDIAC & CARDIOVASCULAR SYSTEMS","Score":null,"Total":0}
引用次数: 0

Abstract

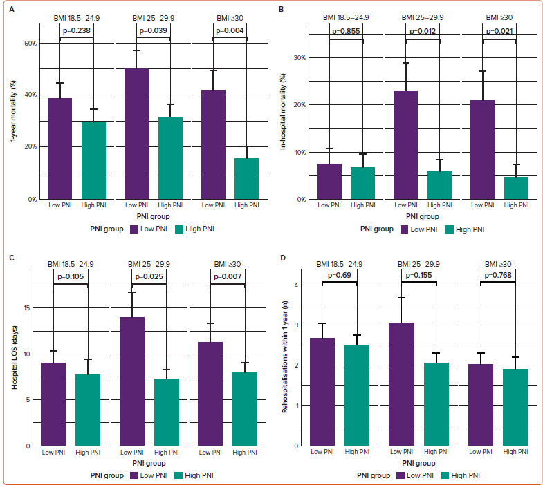
Background: Increased BMI is paradoxically associated with improved survival among patients with acute heart failure (AHF). However, the impact of different nutritional status on this obesity paradox on 1-year mortality is underreported. The prognostic nutritional index is a simple tool to assess nutrition status.

Methods: From 10,027 emergency department admissions at the Amager and Hvidovre Hospital, Copenhagen University Hospital in Denmark, all patients with AHF were identified. Patients were categorised by BMI (normal: 18.5-24.9 kg/m2, overweight: 25-29.9 kg/m2, obese: ≥30 kg/m2) and nutritional status using the prognostic nutritional index (malnourished: <38, well-nourished: ≥38). Kaplan- Meier curves analysed cumulative survival, and Cox regression examined associations between BMI, nutritional status and outcomes, expressed as HR and 95% CI.

Results: Among 383 AHF patients (median age 76 years), 41.3% were malnourished and 58.7% well nourished. In the well-nourished group, obesity was inversely associated with 1-year mortality (adjusted HR 0.48; 95% CI [0.24-0.95]; p=0.035). However, this correlation disappeared in the malnourished group (adjusted HR 1.08; 95% CI [0.59-2.00]; p=0.798). Mortality rates were significantly lower in the well-nourished group among patients with overweight and obesity.

Conclusion: Obesity was associated with reduced 1-year mortality only in AHF patients with good nutritional status, while in malnourished patients, obesity was not associated with 1-year mortality. The prognosis in patients with AHF depends on both the presence of obesity and their nutritional status, highlighting the need for nutritional assessment for risk stratification.

Abstract Image

Abstract Image

Abstract Image

肥胖和预后营养指数与急性心力衰竭患者1年死亡率的关系
背景:在急性心力衰竭(AHF)患者中,BMI的增加与生存率的提高存在矛盾的关系。然而,不同营养状况对肥胖悖论的影响对1年死亡率的影响被低估了。预后营养指数是评估营养状况的简单工具。方法:从丹麦哥本哈根大学医院Amager and Hvidovre医院急诊科收治的10027例AHF患者中确定所有AHF患者。根据BMI(正常:18.5-24.9 kg/m2,超重:25-29.9 kg/m2,肥胖:≥30 kg/m2)和预后营养指数(营养不良:结果:383例AHF患者(中位年龄76岁)中,41.3%营养不良,58.7%营养良好。在营养良好的组中,肥胖与1年死亡率呈负相关(调整后HR 0.48;95% ci [0.24-0.95];p = 0.035)。然而,这种相关性在营养不良组中消失(调整后的HR为1.08;95% ci [0.59-2.00];p = 0.798)。在超重和肥胖患者中,营养良好组的死亡率明显较低。结论:肥胖仅在营养状况良好的AHF患者中与1年死亡率降低相关,而在营养不良患者中,肥胖与1年死亡率无相关性。AHF患者的预后取决于肥胖的存在和他们的营养状况,强调了对风险分层进行营养评估的必要性。
本文章由计算机程序翻译,如有差异,请以英文原文为准。
求助全文
约1分钟内获得全文 求助全文
来源期刊
CiteScore
5.60
自引率
0.00%
发文量
31
审稿时长
9 weeks
×
引用
GB/T 7714-2015
复制
MLA
复制
APA
复制
导出至
BibTeX EndNote RefMan NoteFirst NoteExpress
×
提示
您的信息不完整,为了账户安全,请先补充。
现在去补充
×
提示
您因"违规操作"
具体请查看互助需知
我知道了
×
提示
确定
请完成安全验证×
copy
已复制链接
快去分享给好友吧!
我知道了
右上角分享
点击右上角分享
0
联系我们:info@booksci.cn Book学术提供免费学术资源搜索服务,方便国内外学者检索中英文文献。致力于提供最便捷和优质的服务体验。 Copyright © 2023 布克学术 All rights reserved.
京ICP备2023020795号-1
ghs 京公网安备 11010802042870号
Book学术文献互助
Book学术文献互助群
群 号:604180095
Book学术官方微信