Ulcerative colitis-associated colorectal neoplasm is increasing as a surgical indication in the biologics era: a retrospective observational study of 20 years of experience in a single tertiary center.

IF 1.6 4区 医学 Q3 SURGERY
Hyo Jun Kim, Seung-Bum Ryoo, Jin Sun Choi, Han-Ki Lim, Min Jung Kim, Ji Won Park, Seung-Yong Jeong, Kyu Joo Park
{"title":"Ulcerative colitis-associated colorectal neoplasm is increasing as a surgical indication in the biologics era: a retrospective observational study of 20 years of experience in a single tertiary center.","authors":"Hyo Jun Kim, Seung-Bum Ryoo, Jin Sun Choi, Han-Ki Lim, Min Jung Kim, Ji Won Park, Seung-Yong Jeong, Kyu Joo Park","doi":"10.4174/astr.2025.108.3.150","DOIUrl":null,"url":null,"abstract":"<p><strong>Purpose: </strong>We aimed to identify changes in surgical indications in patients with ulcerative colitis (UC) in the biologics era in a single tertiary center.</p><p><strong>Methods: </strong>In this retrospective observational study, 108 patients with UC who underwent abdominal surgery for UC at Seoul National University Hospital from 2000 to 2021 were included. We compared the total number of patients undergoing UC before and after the introduction of biologic therapy.</p><p><strong>Results: </strong>Of the 108 patients with UC (male, 59 and female, 49; mean age, 46.8 years), 30 (27.8%) underwent surgery for neoplasms and 78 (72.2%) for medical intractability without neoplasms. The duration between diagnosis and surgery varied significantly (126.00 months <i>vs.</i> 60.50 months, P = 0.001). A significant difference was also noted in the surgical indications according to time (P = 0.02). Between 2000 and 2010, 12 patients (19.4%) underwent surgery for UC with neoplasms and 50 (80.6%) for UC without neoplasms, while between 2011 and 2021, 18 (39.1%) and 28 patients (60.9%) underwent surgery for UC with and without neoplasms, respectively.</p><p><strong>Conclusion: </strong>Since 2011, when biological agents were covered by insurance in South Korea, there has been a relative increase in the incidence of surgical indications for neoplasia cases. Focusing on closely monitoring individuals with long-term UC for neoplasms is necessary.</p>","PeriodicalId":8071,"journal":{"name":"Annals of Surgical Treatment and Research","volume":"108 3","pages":"150-157"},"PeriodicalIF":1.6000,"publicationDate":"2025-03-01","publicationTypes":"Journal Article","fieldsOfStudy":null,"isOpenAccess":false,"openAccessPdf":"https://www.ncbi.nlm.nih.gov/pmc/articles/PMC11896760/pdf/","citationCount":"0","resultStr":null,"platform":"Semanticscholar","paperid":null,"PeriodicalName":"Annals of Surgical Treatment and Research","FirstCategoryId":"3","ListUrlMain":"https://doi.org/10.4174/astr.2025.108.3.150","RegionNum":4,"RegionCategory":"医学","ArticlePicture":[],"TitleCN":null,"AbstractTextCN":null,"PMCID":null,"EPubDate":"2025/2/28 0:00:00","PubModel":"Epub","JCR":"Q3","JCRName":"SURGERY","Score":null,"Total":0}
引用次数: 0

Abstract

Purpose: We aimed to identify changes in surgical indications in patients with ulcerative colitis (UC) in the biologics era in a single tertiary center.

Methods: In this retrospective observational study, 108 patients with UC who underwent abdominal surgery for UC at Seoul National University Hospital from 2000 to 2021 were included. We compared the total number of patients undergoing UC before and after the introduction of biologic therapy.

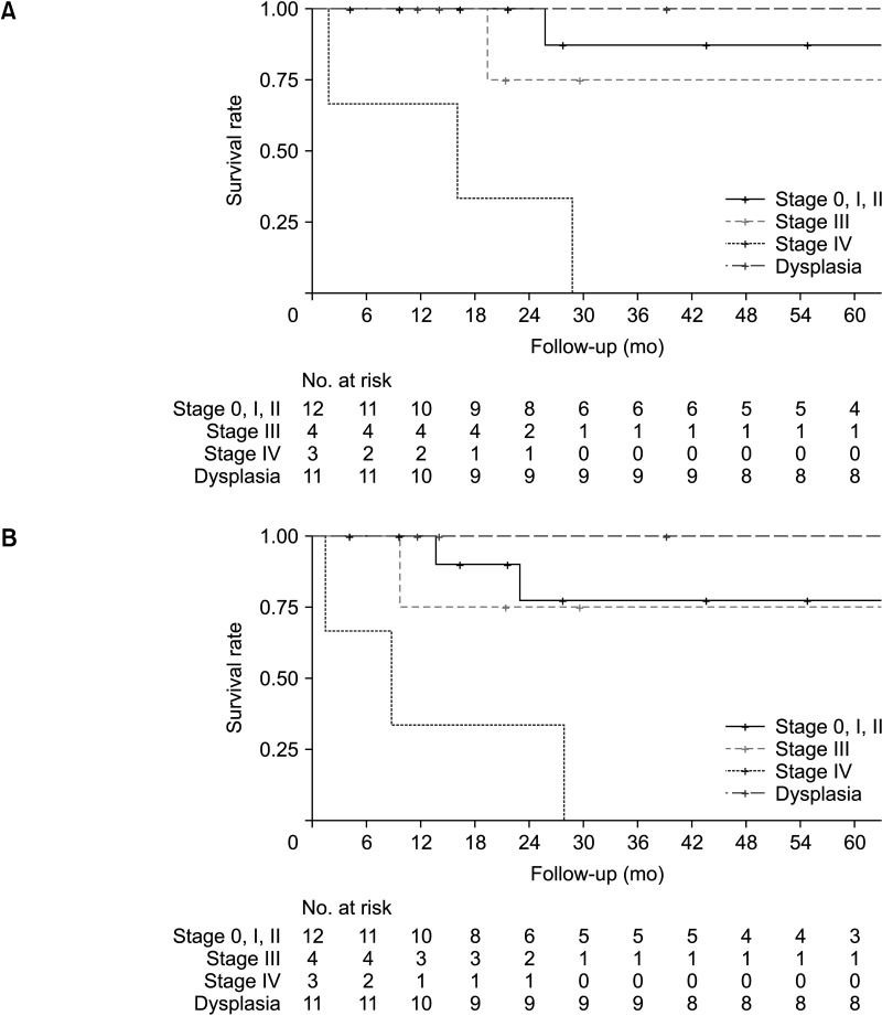
Results: Of the 108 patients with UC (male, 59 and female, 49; mean age, 46.8 years), 30 (27.8%) underwent surgery for neoplasms and 78 (72.2%) for medical intractability without neoplasms. The duration between diagnosis and surgery varied significantly (126.00 months vs. 60.50 months, P = 0.001). A significant difference was also noted in the surgical indications according to time (P = 0.02). Between 2000 and 2010, 12 patients (19.4%) underwent surgery for UC with neoplasms and 50 (80.6%) for UC without neoplasms, while between 2011 and 2021, 18 (39.1%) and 28 patients (60.9%) underwent surgery for UC with and without neoplasms, respectively.

Conclusion: Since 2011, when biological agents were covered by insurance in South Korea, there has been a relative increase in the incidence of surgical indications for neoplasia cases. Focusing on closely monitoring individuals with long-term UC for neoplasms is necessary.

Abstract Image

Abstract Image

Abstract Image

在生物制剂时代,溃疡性结肠炎相关的结直肠肿瘤作为手术指征正在增加:一项对单一三级中心20年经验的回顾性观察研究。
目的:我们的目的是在单一三级中心确定生物制剂时代溃疡性结肠炎(UC)患者手术指征的变化。方法:在这项回顾性观察性研究中,纳入了2000年至2021年在首尔国立大学医院接受腹部手术治疗UC的108例UC患者。我们比较了引入生物治疗前后接受UC的患者总数。结果:108例UC患者(男59例,女49例;平均年龄46.8岁,因肿瘤手术30例(27.8%),无肿瘤手术78例(72.2%)。诊断和手术之间的时间差异显著(126.00个月vs 60.50个月,P = 0.001)。不同时间的手术指征差异有统计学意义(P = 0.02)。2000年至2010年,有肿瘤的UC手术12例(19.4%),无肿瘤的UC手术50例(80.6%),而2011年至2021年,有肿瘤的UC手术18例(39.1%),无肿瘤的UC手术28例(60.9%)。结论:自2011年韩国将生物制剂纳入保险范围以来,肿瘤病例的手术指征发生率相对增加。密切监测长期UC患者的肿瘤是必要的。
本文章由计算机程序翻译,如有差异,请以英文原文为准。
求助全文
约1分钟内获得全文 求助全文
来源期刊
CiteScore
2.30
自引率
7.10%
发文量
75
期刊介绍: Manuscripts to the Annals of Surgical Treatment and Research (Ann Surg Treat Res) should be written in English according to the instructions for authors. If the details are not described below, the style should follow the Uniform Requirements for Manuscripts Submitted to Biomedical Journals: Writing and Editing for Biomedical Publications available at International Committee of Medical Journal Editors (ICMJE) website (http://www.icmje.org).
×
引用
GB/T 7714-2015
复制
MLA
复制
APA
复制
导出至
BibTeX EndNote RefMan NoteFirst NoteExpress
×
提示
您的信息不完整,为了账户安全,请先补充。
现在去补充
×
提示
您因"违规操作"
具体请查看互助需知
我知道了
×
提示
确定
请完成安全验证×
copy
已复制链接
快去分享给好友吧!
我知道了
右上角分享
点击右上角分享
0
联系我们:info@booksci.cn Book学术提供免费学术资源搜索服务,方便国内外学者检索中英文文献。致力于提供最便捷和优质的服务体验。 Copyright © 2023 布克学术 All rights reserved.
京ICP备2023020795号-1
ghs 京公网安备 11010802042870号
Book学术文献互助
Book学术文献互助群
群 号:604180095
Book学术官方微信