Circulating CD34-positive cells are associated with prolonged time to fracture in people with Duchenne muscular dystrophy on chronic glucocorticoids.

IF 5.9 1区 医学 Q1 ENDOCRINOLOGY & METABOLISM
Angela Sadlowski, Julia See, Sonum Bharill, Weixin Zhang, Arryn Otte, Emely Loscalzo, Nazanin Yousefzadeh, Ethan Gough, Tricia Nilles, Sisir Barik, Malinda Wu, Janet L Crane
{"title":"Circulating CD34-positive cells are associated with prolonged time to fracture in people with Duchenne muscular dystrophy on chronic glucocorticoids.","authors":"Angela Sadlowski, Julia See, Sonum Bharill, Weixin Zhang, Arryn Otte, Emely Loscalzo, Nazanin Yousefzadeh, Ethan Gough, Tricia Nilles, Sisir Barik, Malinda Wu, Janet L Crane","doi":"10.1093/jbmr/zjaf041","DOIUrl":null,"url":null,"abstract":"<p><p>Glucocorticoids decrease preosteoclast (POC) platelet-derived-growth-factor-type-BB (PDGF-BB), reducing migration of endothelial and osteo-progenitor cells, impairing skeletal angiogenesis and osteogenesis in mice. To explore human translation, we conducted a case-control study on Duchenne muscular dystrophy (DMD) youth treated with chronic glucocorticoids (n=24) relative to healthy controls (n=13) to explore the association of PDGF-BB, VEGF, angiogenin concentration and peripheral blood mononuclear cell (PBMC) subpopulations as surrogates of POCs (CD14+/Stro-1-/CD105-), skeletal progenitor cells (SPCs: Stro-1+/CD105+/CD14-/CD45-), and endothelial/hematopoietic progenitor cells (CD34+/CD14-/Stro-1-/CD105-) and CE140b mean fluorescence intensity (MFI) to fracture. People with DMD (8-20 years), were stratified by prior and subsequent fractures relative to biospecimen collection. Healthy controls were age- and sex-matched. Differences between groups were assessed with one-way ANOVA with post-hoc Tukey's test, retrospective fractures by Kendall Tau correlation, and prospective fractures by bivariable and multivariable accelerated time failure models. Baseline characteristics between groups were similar, though people with DMD were shorter relative to healthy controls, and in the DMD groups, those with prior fractures had a longer duration of glucocorticoid therapy. We noted decreased PDGF-BB concentration and percentages of circulating POCs, SPCs, and CD34+ cells in people with DMD relative to healthy controls. Circulating CD34+ cell percentage positively correlated with PDGF-BB concentration, similar to murine models. Lower percentage of circulating SPCs and CD140b MFI was associated with increased number of retrospective fractures. After a mean follow-up of 2.23 yr, 79% of people with DMD sustained a subsequent fracture. Higher PDGF-BB concentration and percent of POC, SPCs, and CD34+ cells were associated with a longer time to next fracture. After controlling for covariates of fracture risk, increased percentage of CD34+ cells continued to be associated with prolonged time to fracture. Circulating CD34+ cells may thus be a potential biomarker to predict acute fracture risk in young people with DMD on chronic glucocorticoids.</p>","PeriodicalId":185,"journal":{"name":"Journal of Bone and Mineral Research","volume":" ","pages":"617-627"},"PeriodicalIF":5.9000,"publicationDate":"2025-05-24","publicationTypes":"Journal Article","fieldsOfStudy":null,"isOpenAccess":false,"openAccessPdf":"https://www.ncbi.nlm.nih.gov/pmc/articles/PMC12103721/pdf/","citationCount":"0","resultStr":null,"platform":"Semanticscholar","paperid":null,"PeriodicalName":"Journal of Bone and Mineral Research","FirstCategoryId":"3","ListUrlMain":"https://doi.org/10.1093/jbmr/zjaf041","RegionNum":1,"RegionCategory":"医学","ArticlePicture":[],"TitleCN":null,"AbstractTextCN":null,"PMCID":null,"EPubDate":"","PubModel":"","JCR":"Q1","JCRName":"ENDOCRINOLOGY & METABOLISM","Score":null,"Total":0}
引用次数: 0

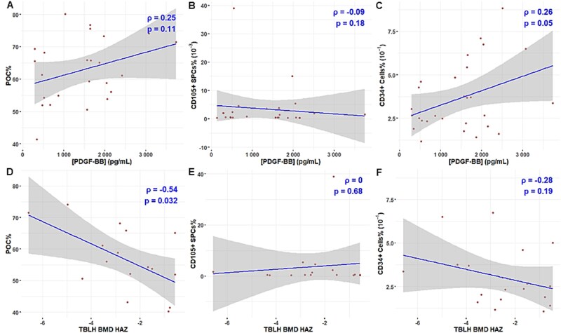
Abstract

Glucocorticoids decrease preosteoclast (POC) platelet-derived-growth-factor-type-BB (PDGF-BB), reducing migration of endothelial and osteo-progenitor cells, impairing skeletal angiogenesis and osteogenesis in mice. To explore human translation, we conducted a case-control study on Duchenne muscular dystrophy (DMD) youth treated with chronic glucocorticoids (n=24) relative to healthy controls (n=13) to explore the association of PDGF-BB, VEGF, angiogenin concentration and peripheral blood mononuclear cell (PBMC) subpopulations as surrogates of POCs (CD14+/Stro-1-/CD105-), skeletal progenitor cells (SPCs: Stro-1+/CD105+/CD14-/CD45-), and endothelial/hematopoietic progenitor cells (CD34+/CD14-/Stro-1-/CD105-) and CE140b mean fluorescence intensity (MFI) to fracture. People with DMD (8-20 years), were stratified by prior and subsequent fractures relative to biospecimen collection. Healthy controls were age- and sex-matched. Differences between groups were assessed with one-way ANOVA with post-hoc Tukey's test, retrospective fractures by Kendall Tau correlation, and prospective fractures by bivariable and multivariable accelerated time failure models. Baseline characteristics between groups were similar, though people with DMD were shorter relative to healthy controls, and in the DMD groups, those with prior fractures had a longer duration of glucocorticoid therapy. We noted decreased PDGF-BB concentration and percentages of circulating POCs, SPCs, and CD34+ cells in people with DMD relative to healthy controls. Circulating CD34+ cell percentage positively correlated with PDGF-BB concentration, similar to murine models. Lower percentage of circulating SPCs and CD140b MFI was associated with increased number of retrospective fractures. After a mean follow-up of 2.23 yr, 79% of people with DMD sustained a subsequent fracture. Higher PDGF-BB concentration and percent of POC, SPCs, and CD34+ cells were associated with a longer time to next fracture. After controlling for covariates of fracture risk, increased percentage of CD34+ cells continued to be associated with prolonged time to fracture. Circulating CD34+ cells may thus be a potential biomarker to predict acute fracture risk in young people with DMD on chronic glucocorticoids.

Abstract Image

Abstract Image

Abstract Image

循环 CD34 阳性细胞与长期使用糖皮质激素的杜氏肌营养不良症患者骨折时间延长有关。
在小鼠模型中,糖皮质激素降低破骨前细胞(POC)血小板衍生生长因子型BB (PDGF-BB),减少内皮前体和成骨细胞的迁移,损害骨骼血管生成和成骨。为了探索对人类的翻译,我们对Duchenne肌营养不良(DMD)青少年进行了一项病例对照研究,与健康对照相比,慢性糖皮质激素治疗伴有或不伴有骨质疏松症。我们通过ELISA定量血清因子(PDGF-BB、VEGF、血管生成素)和外周血单核细胞(PBMC)亚群作为POCs (CD14+/Stro-1-/CD105-)、骨祖细胞(Stro-1+/CD105+/CD14-/CD45-)和内皮/造血祖细胞(CD34+/CD14-/Stro-1-/CD105-)的代物,通过流式细胞术确定与骨折的关系。测定PDGF受体- CD140b的平均荧光强度(MFI)。年龄8-20岁的DMD患者按骨折进行分层,包括与生物标本收集日期相关的先前和随后的骨折。健康对照组的年龄和性别匹配。采用事后Tukey检验的单因素方差分析、各因素之间的简单线性回归相关性、Kendall Tau相关的回顾性骨折、双变量和多变量加速时间失效(AFT)模型的前瞻性骨折进行评估。各组之间的基线特征相似,尽管DMD患者相对于健康对照者较短,并且在DMD组中,先前骨折的患者接受糖皮质激素治疗的时间较长。我们注意到,与健康对照相比,接受慢性糖皮质激素治疗的DMD患者血清PDGF-BB浓度和循环POCs、SPCs和CD34+细胞百分比降低。循环CD34+细胞百分比与PDGF-BB浓度呈正相关,与小鼠模型相似。通过Kendall Tau相关性分析,循环SPCs和CD140b MFI百分比较低与回顾性骨折数量增加相关。在平均2.23年的随访后,24名DMD患者中有19人随后发生骨折。在AFT双变量模型中,较高的PDGF-BB浓度以及POC、SPCs和CD34+细胞的百分比与较长的下一次骨折时间相关。在控制了可能与骨折风险相关的协变量后,CD34+细胞的百分比继续与下一次骨折的时间延长相关。因此,循环CD34+细胞可能是预测慢性糖皮质激素治疗的年轻DMD患者急性骨折风险的潜在生物标志物。
本文章由计算机程序翻译,如有差异,请以英文原文为准。
求助全文
约1分钟内获得全文 求助全文
来源期刊
Journal of Bone and Mineral Research
Journal of Bone and Mineral Research 医学-内分泌学与代谢
CiteScore
11.30
自引率
6.50%
发文量
257
审稿时长
2 months
期刊介绍: The Journal of Bone and Mineral Research (JBMR) publishes highly impactful original manuscripts, reviews, and special articles on basic, translational and clinical investigations relevant to the musculoskeletal system and mineral metabolism. Specifically, the journal is interested in original research on the biology and physiology of skeletal tissues, interdisciplinary research spanning the musculoskeletal and other systems, including but not limited to immunology, hematology, energy metabolism, cancer biology, and neurology, and systems biology topics using large scale “-omics” approaches. The journal welcomes clinical research on the pathophysiology, treatment and prevention of osteoporosis and fractures, as well as sarcopenia, disorders of bone and mineral metabolism, and rare or genetically determined bone diseases.
×
引用
GB/T 7714-2015
复制
MLA
复制
APA
复制
导出至
BibTeX EndNote RefMan NoteFirst NoteExpress
×
提示
您的信息不完整,为了账户安全,请先补充。
现在去补充
×
提示
您因"违规操作"
具体请查看互助需知
我知道了
×
提示
确定
请完成安全验证×
copy
已复制链接
快去分享给好友吧!
我知道了
右上角分享
点击右上角分享
0
联系我们:info@booksci.cn Book学术提供免费学术资源搜索服务,方便国内外学者检索中英文文献。致力于提供最便捷和优质的服务体验。 Copyright © 2023 布克学术 All rights reserved.
京ICP备2023020795号-1
ghs 京公网安备 11010802042870号
Book学术文献互助
Book学术文献互助群
群 号:604180095
Book学术官方微信