Mycophenolic acid trough level assessment in patients with lupus nephritis; does it make a difference?

IF 2.3 3区 医学 Q1 PEDIATRICS
Ahmed E Abdulgalil, Noha H Elnagdy, Nehal M Ramadan, Eman Hamza, Ayman Hammad, Mai S Korkor, Atef Elmougy, Ali Sobh, Marwa H Elnagdy
{"title":"Mycophenolic acid trough level assessment in patients with lupus nephritis; does it make a difference?","authors":"Ahmed E Abdulgalil, Noha H Elnagdy, Nehal M Ramadan, Eman Hamza, Ayman Hammad, Mai S Korkor, Atef Elmougy, Ali Sobh, Marwa H Elnagdy","doi":"10.1186/s12969-025-01074-7","DOIUrl":null,"url":null,"abstract":"<p><strong>Introduction: </strong>Mycophenolate Mofetil (MMF) has become one of the cornerstone treatments of lupus nephritis (LN). It is converted into mycophenolic acid (MPA), an active metabolite, that displays high inter- and intra-individual pharmacokinetic variability. However, the routine monitoring of MPA trough level is still debatable.</p><p><strong>Objectives: </strong>The present study aims to evaluate the relationship between MPA trough levels and both clinical outcomes and drug-related adverse effects during the maintenance phase of LN in Egyptian patients.</p><p><strong>Methods: </strong>We included thirty-five adults and twenty-nine children with biopsy-proven class III and IV LN, who had been maintained on steroid and MMF as maintenance therapy for more than six months. Clinical and laboratory markers of lupus activity as well as MMF adverse events were reported. MPA trough levels were measured by High-Performance Liquid Chromatography (HPLC).</p><p><strong>Results: </strong>There was a significant association between low MPA trough levels and both flares and SLEDAI scores in the adult group (P = 0.027 and 0.019, respectively). Moreover, high MPA trough levels were associated with higher risk of gastritis in the same age group (P = 0.007). There was no significant association with any of the parameters studied in the pediatric group. Gastritis was the most frequent side effect in both age groups.</p><p><strong>Conclusion: </strong>MPA trough levels correlated with disease activity and gastritis in adult LN patients, and this may help to optimize MMF dosage in these patients. However, MPA concentration-effect relationships were not observed in pediatric patients.</p>","PeriodicalId":54630,"journal":{"name":"Pediatric Rheumatology","volume":"23 1","pages":"26"},"PeriodicalIF":2.3000,"publicationDate":"2025-03-12","publicationTypes":"Journal Article","fieldsOfStudy":null,"isOpenAccess":false,"openAccessPdf":"https://www.ncbi.nlm.nih.gov/pmc/articles/PMC11905544/pdf/","citationCount":"0","resultStr":null,"platform":"Semanticscholar","paperid":null,"PeriodicalName":"Pediatric Rheumatology","FirstCategoryId":"3","ListUrlMain":"https://doi.org/10.1186/s12969-025-01074-7","RegionNum":3,"RegionCategory":"医学","ArticlePicture":[],"TitleCN":null,"AbstractTextCN":null,"PMCID":null,"EPubDate":"","PubModel":"","JCR":"Q1","JCRName":"PEDIATRICS","Score":null,"Total":0}
引用次数: 0

Abstract

Introduction: Mycophenolate Mofetil (MMF) has become one of the cornerstone treatments of lupus nephritis (LN). It is converted into mycophenolic acid (MPA), an active metabolite, that displays high inter- and intra-individual pharmacokinetic variability. However, the routine monitoring of MPA trough level is still debatable.

Objectives: The present study aims to evaluate the relationship between MPA trough levels and both clinical outcomes and drug-related adverse effects during the maintenance phase of LN in Egyptian patients.

Methods: We included thirty-five adults and twenty-nine children with biopsy-proven class III and IV LN, who had been maintained on steroid and MMF as maintenance therapy for more than six months. Clinical and laboratory markers of lupus activity as well as MMF adverse events were reported. MPA trough levels were measured by High-Performance Liquid Chromatography (HPLC).

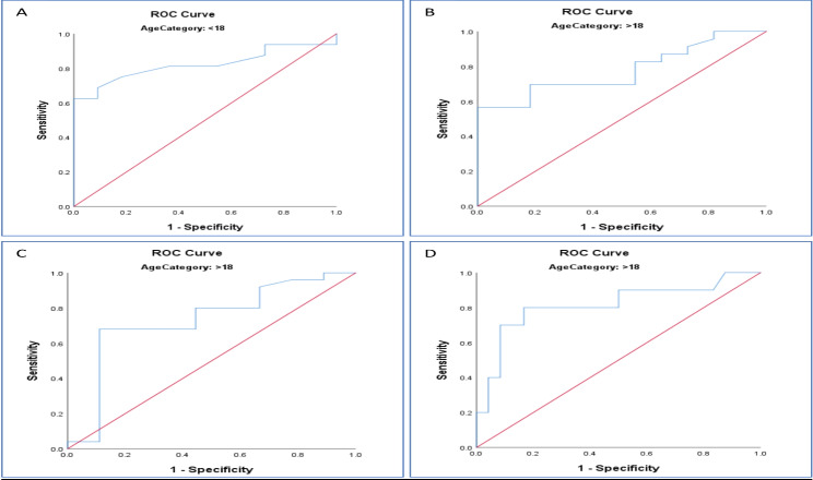
Results: There was a significant association between low MPA trough levels and both flares and SLEDAI scores in the adult group (P = 0.027 and 0.019, respectively). Moreover, high MPA trough levels were associated with higher risk of gastritis in the same age group (P = 0.007). There was no significant association with any of the parameters studied in the pediatric group. Gastritis was the most frequent side effect in both age groups.

Conclusion: MPA trough levels correlated with disease activity and gastritis in adult LN patients, and this may help to optimize MMF dosage in these patients. However, MPA concentration-effect relationships were not observed in pediatric patients.

Abstract Image

Abstract Image

狼疮性肾炎患者霉酚酸槽水平的评价这有什么区别吗?
霉酚酸酯(MMF)已成为治疗狼疮性肾炎(LN)的基础药物之一。它被转化为霉酚酸(MPA),一种活性代谢物,表现出高度的个体间和个体内药代动力学变异性。然而,常规监测MPA波谷水平仍存在争议。目的:本研究旨在评估埃及LN患者维持期MPA谷底水平与临床结局和药物相关不良反应之间的关系。方法:我们纳入35名成人和29名经活检证实为III级和IV级LN的儿童,他们使用类固醇和MMF作为维持治疗超过6个月。报告了狼疮活动的临床和实验室标志物以及MMF不良事件。采用高效液相色谱法测定MPA波谷水平。结果:成年组低MPA波谷水平与耀斑和SLEDAI评分均有显著相关性(P分别为0.027和0.019)。此外,在同一年龄组中,高MPA谷底水平与胃炎的高风险相关(P = 0.007)。在儿科组中,与所研究的任何参数均无显著关联。胃炎是两个年龄组中最常见的副作用。结论:成人LN患者的MPA谷值与疾病活动度和胃炎相关,这可能有助于优化这些患者的MMF剂量。然而,在儿科患者中未观察到MPA浓度-效应关系。
本文章由计算机程序翻译,如有差异,请以英文原文为准。
求助全文
约1分钟内获得全文 求助全文
来源期刊
Pediatric Rheumatology
Pediatric Rheumatology PEDIATRICS-RHEUMATOLOGY
CiteScore
4.10
自引率
8.00%
发文量
95
审稿时长
>12 weeks
期刊介绍: Pediatric Rheumatology is an open access, peer-reviewed, online journal encompassing all aspects of clinical and basic research related to pediatric rheumatology and allied subjects. The journal’s scope of diseases and syndromes include musculoskeletal pain syndromes, rheumatic fever and post-streptococcal syndromes, juvenile idiopathic arthritis, systemic lupus erythematosus, juvenile dermatomyositis, local and systemic scleroderma, Kawasaki disease, Henoch-Schonlein purpura and other vasculitides, sarcoidosis, inherited musculoskeletal syndromes, autoinflammatory syndromes, and others.
×
引用
GB/T 7714-2015
复制
MLA
复制
APA
复制
导出至
BibTeX EndNote RefMan NoteFirst NoteExpress
×
提示
您的信息不完整,为了账户安全,请先补充。
现在去补充
×
提示
您因"违规操作"
具体请查看互助需知
我知道了
×
提示
确定
请完成安全验证×
copy
已复制链接
快去分享给好友吧!
我知道了
右上角分享
点击右上角分享
0
联系我们:info@booksci.cn Book学术提供免费学术资源搜索服务,方便国内外学者检索中英文文献。致力于提供最便捷和优质的服务体验。 Copyright © 2023 布克学术 All rights reserved.
京ICP备2023020795号-1
ghs 京公网安备 11010802042870号
Book学术文献互助
Book学术文献互助群
群 号:604180095
Book学术官方微信