Gender differences in exercise efficiency: the influence of adiposity during low-intensity cycling in healthy Lebanese university students.

IF 2.1 4区 医学 Q1 PHYSIOLOGY
Elie-Jacques Fares, Rédina Berkachy, Sarah Zaki
{"title":"Gender differences in exercise efficiency: the influence of adiposity during low-intensity cycling in healthy Lebanese university students.","authors":"Elie-Jacques Fares, Rédina Berkachy, Sarah Zaki","doi":"10.1186/s40101-025-00389-4","DOIUrl":null,"url":null,"abstract":"<p><strong>Introduction: </strong>Low-intensity physical activity plays a key role in weight regulation, and reduced engagement in such activities is associated with rising obesity rates. This study explored the relationship between body fat distribution and exercise efficiency during low-intensity cycling, comparable to everyday life, focusing on adiposity in men and women.</p><p><strong>Methods: </strong>Thirty participants (50% women and 50% men) underwent basal metabolic rate (BMR) measurements after an overnight fast. Following 500 ml water intake, they cycled at 60 rpm for 5 min at four intensities (20 W, 40 W, 60 W, 80 W), with respiratory parameters (i.e., energy expenditure (EE)) recorded using an indirect calorimeter system. Spearman correlations were used to assess the relationships among BMI, total body and trunk fat percentages, and delta efficiency (DE), which quantifies the energy cost associated with incremental work output during exercise.</p><p><strong>Results: </strong>A linear increase in EE with increasing power output was observed in both men and women, with men showing a slightly higher EE across all power levels. The linear regression equations for power between 20 and 80 W were highly predictive, with R<sup>2</sup> values of 0.999 for men and 0.995 for women. Additionally, significant positive correlations were observed between BMI, fat percentage, trunk and limb fat percentages, and delta efficiency (DE) in women, explaining 45.7%, 34.7%, 34.1%, and 29.7% of the variance in DE, respectively. No significant correlations were found between these variables in men.</p><p><strong>Conclusion: </strong>This study demonstrated that body fat distribution, particularly in women, is significantly associated with exercise efficiency during low-intensity cycling. These findings highlight the need for larger studies that incorporate gender-specific considerations in exercise and targeted interventions.</p>","PeriodicalId":48730,"journal":{"name":"Journal of Physiological Anthropology","volume":"44 1","pages":"9"},"PeriodicalIF":2.1000,"publicationDate":"2025-03-12","publicationTypes":"Journal Article","fieldsOfStudy":null,"isOpenAccess":false,"openAccessPdf":"https://www.ncbi.nlm.nih.gov/pmc/articles/PMC11900605/pdf/","citationCount":"0","resultStr":null,"platform":"Semanticscholar","paperid":null,"PeriodicalName":"Journal of Physiological Anthropology","FirstCategoryId":"3","ListUrlMain":"https://doi.org/10.1186/s40101-025-00389-4","RegionNum":4,"RegionCategory":"医学","ArticlePicture":[],"TitleCN":null,"AbstractTextCN":null,"PMCID":null,"EPubDate":"","PubModel":"","JCR":"Q1","JCRName":"PHYSIOLOGY","Score":null,"Total":0}
引用次数: 0

Abstract

Introduction: Low-intensity physical activity plays a key role in weight regulation, and reduced engagement in such activities is associated with rising obesity rates. This study explored the relationship between body fat distribution and exercise efficiency during low-intensity cycling, comparable to everyday life, focusing on adiposity in men and women.

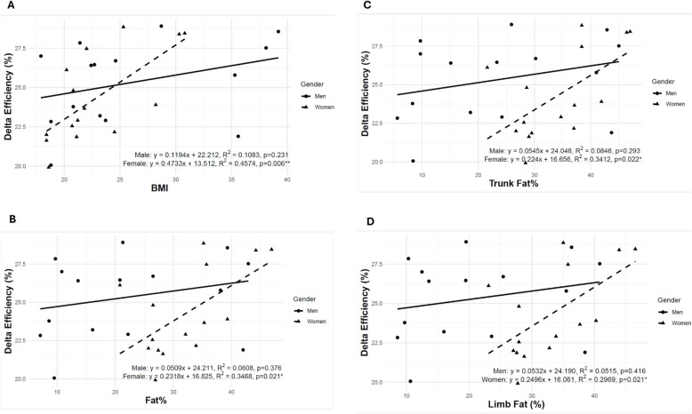
Methods: Thirty participants (50% women and 50% men) underwent basal metabolic rate (BMR) measurements after an overnight fast. Following 500 ml water intake, they cycled at 60 rpm for 5 min at four intensities (20 W, 40 W, 60 W, 80 W), with respiratory parameters (i.e., energy expenditure (EE)) recorded using an indirect calorimeter system. Spearman correlations were used to assess the relationships among BMI, total body and trunk fat percentages, and delta efficiency (DE), which quantifies the energy cost associated with incremental work output during exercise.

Results: A linear increase in EE with increasing power output was observed in both men and women, with men showing a slightly higher EE across all power levels. The linear regression equations for power between 20 and 80 W were highly predictive, with R2 values of 0.999 for men and 0.995 for women. Additionally, significant positive correlations were observed between BMI, fat percentage, trunk and limb fat percentages, and delta efficiency (DE) in women, explaining 45.7%, 34.7%, 34.1%, and 29.7% of the variance in DE, respectively. No significant correlations were found between these variables in men.

Conclusion: This study demonstrated that body fat distribution, particularly in women, is significantly associated with exercise efficiency during low-intensity cycling. These findings highlight the need for larger studies that incorporate gender-specific considerations in exercise and targeted interventions.

Abstract Image

Abstract Image

Abstract Image

运动效率的性别差异:健康黎巴嫩大学生低强度自行车运动中肥胖的影响。
导论:低强度体育活动在体重调节中起着关键作用,减少此类活动的参与与肥胖率上升有关。本研究探讨了低强度自行车运动中身体脂肪分布与运动效率之间的关系,与日常生活相当,重点关注男性和女性的肥胖问题。方法:30名参与者(50%的女性和50%的男性)在禁食一夜后进行了基础代谢率(BMR)测量。在摄入500毫升水后,他们在四种强度(20 W、40 W、60 W、80 W)下以60 rpm循环5分钟,并使用间接量热计系统记录呼吸参数(即能量消耗(EE))。Spearman相关性用于评估BMI、全身和躯干脂肪百分比以及δ效率(DE)之间的关系,δ效率量化了运动过程中与增量功输出相关的能量成本。结果:在男性和女性中观察到,随着功率输出的增加,情感表达呈线性增加,男性在所有功率水平上都表现出略高的情感表达。功率在20 ~ 80 W之间的线性回归方程具有很强的预测性,男性的R2值为0.999,女性为0.995。此外,女性BMI、脂肪百分比、躯干和四肢脂肪百分比和δ效率(DE)之间存在显著正相关,分别解释了DE方差的45.7%、34.7%、34.1%和29.7%。在男性中,这些变量之间没有发现显著的相关性。结论:这项研究表明,在低强度自行车运动中,身体脂肪分布,尤其是女性,与运动效率显著相关。这些发现强调需要进行更大规模的研究,在运动和有针对性的干预措施中纳入针对性别的考虑。
本文章由计算机程序翻译,如有差异,请以英文原文为准。
求助全文
约1分钟内获得全文 求助全文
来源期刊
自引率
6.50%
发文量
39
期刊介绍: Journal of Physiological Anthropology (JPA) is an open access, peer-reviewed journal that publishes research on the physiological functions of modern mankind, with an emphasis on the physical and bio-cultural effects on human adaptability to the current environment. The objective of JPA is to evaluate physiological adaptations to modern living environments, and to publish research from different scientific fields concerned with environmental impact on human life. Topic areas include, but are not limited to: environmental physiology bio-cultural environment living environment epigenetic adaptation development and growth age and sex differences nutrition and morphology physical fitness and health Journal of Physiological Anthropology is the official journal of the Japan Society of Physiological Anthropology.
×
引用
GB/T 7714-2015
复制
MLA
复制
APA
复制
导出至
BibTeX EndNote RefMan NoteFirst NoteExpress
×
提示
您的信息不完整,为了账户安全,请先补充。
现在去补充
×
提示
您因"违规操作"
具体请查看互助需知
我知道了
×
提示
确定
请完成安全验证×
copy
已复制链接
快去分享给好友吧!
我知道了
右上角分享
点击右上角分享
0
联系我们:info@booksci.cn Book学术提供免费学术资源搜索服务,方便国内外学者检索中英文文献。致力于提供最便捷和优质的服务体验。 Copyright © 2023 布克学术 All rights reserved.
京ICP备2023020795号-1
ghs 京公网安备 11010802042870号
Book学术文献互助
Book学术文献互助群
群 号:604180095
Book学术官方微信