Gestational weight trajectory and early offspring growth differed by gestational diabetes: a population-based cohort study.

IF 5.2 2区 医学 Q1 ENDOCRINOLOGY & METABOLISM
Ye Huang, Diliyaer Ainiwan, Yiwen Qiu, Libi Zhang, Xialidan Alifu, Haoyue Cheng, Haibo Zhou, Nuo Xu, Boya Wang, Shuhui Wang, Hui Liu, Danqing Chen, Yunxian Yu
{"title":"Gestational weight trajectory and early offspring growth differed by gestational diabetes: a population-based cohort study.","authors":"Ye Huang, Diliyaer Ainiwan, Yiwen Qiu, Libi Zhang, Xialidan Alifu, Haoyue Cheng, Haibo Zhou, Nuo Xu, Boya Wang, Shuhui Wang, Hui Liu, Danqing Chen, Yunxian Yu","doi":"10.1038/s41387-025-00365-y","DOIUrl":null,"url":null,"abstract":"<p><strong>Aims: </strong>To investigate the association of gestational weight gain (GWG) trajectory with early children growth, and explore whether this association varies by gestational diabetes mellitus (GDM) status.</p><p><strong>Methods: </strong>Maternal weight and offspring anthropometric outcomes before 36 months were extracted from Electronic Medical Record of Zhoushan, China. GWG trajectory was modeled using latent-class trajectory analysis. Multiple generalized estimating equations models were applied to analyze associations of GWG trajectory categories with early children growth.</p><p><strong>Results: </strong>Three GWG trajectory classes were identified in all participants (n = 13 424), the non-GDM (n = 10 984) and GDM (n = 2440) groups, respectively. In all participants, the Slow-Rapid pattern was significantly associated with lower length z-scores of offspring (β = -0.084; se = 0.015), compared to the Moderate pattern, while the Rapid-Slow pattern was significantly associated with higher length z-scores (β = 0.083; se = 0.022), with no significant effects on other anthropometric outcomes. Similar results were also observed in the non-GDM group. However, in the GDM group, offspring of mothers with the Rapid-Slow pattern showed significantly higher weight z-scores (β = 0.093; se = 0.046), BMI z-scores (β = 0.113; se = 0.052), and risk of overweight/obesity (OR = 1.40, 95%CI: 1.11, 1.76).</p><p><strong>Conclusion: </strong>GWG trajectory significantly impacted offspring growth before 36 months, with different effects observed based on GDM status. GWG trajectory primarily affected offspring length in the non-GDM group, whereas earlier high weight gain appeared to increase offspring weight, BMI, and risk of overweight/obesity in the GDM group.</p>","PeriodicalId":19339,"journal":{"name":"Nutrition & Diabetes","volume":"15 1","pages":"10"},"PeriodicalIF":5.2000,"publicationDate":"2025-03-12","publicationTypes":"Journal Article","fieldsOfStudy":null,"isOpenAccess":false,"openAccessPdf":"https://www.ncbi.nlm.nih.gov/pmc/articles/PMC11904208/pdf/","citationCount":"0","resultStr":null,"platform":"Semanticscholar","paperid":null,"PeriodicalName":"Nutrition & Diabetes","FirstCategoryId":"3","ListUrlMain":"https://doi.org/10.1038/s41387-025-00365-y","RegionNum":2,"RegionCategory":"医学","ArticlePicture":[],"TitleCN":null,"AbstractTextCN":null,"PMCID":null,"EPubDate":"","PubModel":"","JCR":"Q1","JCRName":"ENDOCRINOLOGY & METABOLISM","Score":null,"Total":0}
引用次数: 0

Abstract

Aims: To investigate the association of gestational weight gain (GWG) trajectory with early children growth, and explore whether this association varies by gestational diabetes mellitus (GDM) status.

Methods: Maternal weight and offspring anthropometric outcomes before 36 months were extracted from Electronic Medical Record of Zhoushan, China. GWG trajectory was modeled using latent-class trajectory analysis. Multiple generalized estimating equations models were applied to analyze associations of GWG trajectory categories with early children growth.

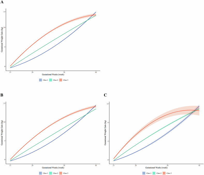
Results: Three GWG trajectory classes were identified in all participants (n = 13 424), the non-GDM (n = 10 984) and GDM (n = 2440) groups, respectively. In all participants, the Slow-Rapid pattern was significantly associated with lower length z-scores of offspring (β = -0.084; se = 0.015), compared to the Moderate pattern, while the Rapid-Slow pattern was significantly associated with higher length z-scores (β = 0.083; se = 0.022), with no significant effects on other anthropometric outcomes. Similar results were also observed in the non-GDM group. However, in the GDM group, offspring of mothers with the Rapid-Slow pattern showed significantly higher weight z-scores (β = 0.093; se = 0.046), BMI z-scores (β = 0.113; se = 0.052), and risk of overweight/obesity (OR = 1.40, 95%CI: 1.11, 1.76).

Conclusion: GWG trajectory significantly impacted offspring growth before 36 months, with different effects observed based on GDM status. GWG trajectory primarily affected offspring length in the non-GDM group, whereas earlier high weight gain appeared to increase offspring weight, BMI, and risk of overweight/obesity in the GDM group.

Abstract Image

妊娠期糖尿病对妊娠体重轨迹和早期后代生长的影响:一项基于人群的队列研究。
目的:探讨妊娠期体重增加(GWG)轨迹与儿童早期生长发育的关系,并探讨这种关系是否因妊娠期糖尿病(GDM)状况而异。方法:从舟山电子病历中提取36个月前的母亲体重和子代人体测量结果。采用潜级弹道分析对GWG弹道进行建模。应用多元广义估计方程模型分析了GWG轨迹类别与幼儿生长发育的关系。结果:在所有参与者(n = 13 424)、非GDM组(n = 10 984)和GDM组(n = 2440)中分别确定了三种GWG轨迹类别。在所有参与者中,慢速模式与后代较低的长度z分数显著相关(β = -0.084;se = 0.015),而快速-缓慢模式与较高的长度z分数显著相关(β = 0.083;Se = 0.022),对其他人体测量结果无显著影响。在非gdm组中也观察到类似的结果。然而,在GDM组中,快-慢模式母亲的后代体重z分数显著高于GDM组(β = 0.093;se = 0.046), BMI z-评分(β = 0.113;se = 0.052),超重/肥胖风险(OR = 1.40, 95%CI: 1.11, 1.76)。结论:GWG轨迹对36月龄前子代生长有显著影响,不同GDM状态对子代生长有不同影响。在非GDM组中,GWG轨迹主要影响后代长度,而在GDM组中,早期的高体重增加似乎增加了后代体重、BMI和超重/肥胖的风险。
本文章由计算机程序翻译,如有差异,请以英文原文为准。
求助全文
约1分钟内获得全文 求助全文
来源期刊
Nutrition & Diabetes
Nutrition & Diabetes ENDOCRINOLOGY & METABOLISM-NUTRITION & DIETETICS
CiteScore
9.20
自引率
0.00%
发文量
50
审稿时长
>12 weeks
期刊介绍: Nutrition & Diabetes is a peer-reviewed, online, open access journal bringing to the fore outstanding research in the areas of nutrition and chronic disease, including diabetes, from the molecular to the population level.
×
引用
GB/T 7714-2015
复制
MLA
复制
APA
复制
导出至
BibTeX EndNote RefMan NoteFirst NoteExpress
×
提示
您的信息不完整,为了账户安全,请先补充。
现在去补充
×
提示
您因"违规操作"
具体请查看互助需知
我知道了
×
提示
确定
请完成安全验证×
copy
已复制链接
快去分享给好友吧!
我知道了
右上角分享
点击右上角分享
0
联系我们:info@booksci.cn Book学术提供免费学术资源搜索服务,方便国内外学者检索中英文文献。致力于提供最便捷和优质的服务体验。 Copyright © 2023 布克学术 All rights reserved.
京ICP备2023020795号-1
ghs 京公网安备 11010802042870号
Book学术文献互助
Book学术文献互助群
群 号:604180095
Book学术官方微信