Does the Restoration Design and Material Affect Indirect Restorations' Marginal and Internal Gap, Interfacial Volume, and Fatigue Behavior?

IF 2.1 Q1 Dentistry
European Journal of Dentistry Pub Date : 2025-10-01 Epub Date: 2025-03-12 DOI:10.1055/s-0045-1802569
Gabriel Kalil Rocha Pereira, Rafaela Oliveira Pilecco, Lucas Saldanha da Rosa, Renan Vaz Machry, Andrea Baldi, Nicola Scotti, Luiz Felipe Valandro, João Paulo Mendes Tribst, Cornelis Johannes Kleverlaan
{"title":"Does the Restoration Design and Material Affect Indirect Restorations' Marginal and Internal Gap, Interfacial Volume, and Fatigue Behavior?","authors":"Gabriel Kalil Rocha Pereira, Rafaela Oliveira Pilecco, Lucas Saldanha da Rosa, Renan Vaz Machry, Andrea Baldi, Nicola Scotti, Luiz Felipe Valandro, João Paulo Mendes Tribst, Cornelis Johannes Kleverlaan","doi":"10.1055/s-0045-1802569","DOIUrl":null,"url":null,"abstract":"<p><p>This article evaluates the marginal and internal gap, interfacial volume, and fatigue behavior in computer-aided design-computer-aided manufacturing (CAD-CAM) restorations with different designs (crowns or endocrowns) made from lithium disilicate-based ceramic (LD, IPS e.max CAD, Ivoclar AG) or resin composite (RC, Tetric CAD, Ivoclar AG).Simplified LD and RC crowns (-C) and endocrowns (-E) were produced (<i>n</i> = 10) using CAD-CAM technology, through scanning (CEREC Primescan, Dentsply Sirona) and milling (CEREC MC XL, Dentsply Sirona), and then adhesively bonded to fiberglass-reinforced epoxy resin. Computed microtomography was used to assess the marginal and internal gap and interfacial volume. A cyclic fatigue test (20 Hz, initial load = 100 N/5,000 cycles; step-size = 50 N/10,000 cycles until 1,500 N, if specimens survived, the step-size = 100 N/10,000 cycles until failure) was performed. Topography, finite element analysis (FEA), and fractography were also executed.Two-way analysis of variance and Tukey's post hoc tests were employed (<i>α</i> = 0.05) for marginal and internal gap and interfacial volume. Survival analysis based on Kaplan-Meier and Mantel-Cox tests (<i>α</i> = 0.05) was used for fatigue data.RC crowns demonstrated the smallest marginal gap, LD crowns the largest. Endocrowns presented intermediary marginal gap values. Internal gaps were all above the planned 120 µm space. The lowest gap was seen at the cervical-axial angle at crowns, regardless of material. At the axio-occlusal angle, LD crowns presented a lower gap than RC; meanwhile, there was no difference among endocrowns. When comparing occlusal/pulpal space, LD crowns showed the lowest values, and RC-C, LD-E, and RC-E were statistically similar. Fatigue testing revealed superior behavior for RC restorations, withstanding higher loads and more cycles before failure compared to LD. FEA indicated that the crowns required higher stress concentration to unleash their failure than endocrowns. Fractographic features confirm failure origin at surface defects located at the restoration/cement intaglio surface, where it concentrated the highest maximum principal stress.RC crowns and endocrowns presented lower marginal gaps than LD ones. Differences in other internal gap outcomes exist but within a nonclinically relevant threshold. The restoration fatigue behavior was influenced by the CAD-CAM material, but not by its design.</p>","PeriodicalId":12028,"journal":{"name":"European Journal of Dentistry","volume":" ","pages":"935-947"},"PeriodicalIF":2.1000,"publicationDate":"2025-10-01","publicationTypes":"Journal Article","fieldsOfStudy":null,"isOpenAccess":false,"openAccessPdf":"https://www.ncbi.nlm.nih.gov/pmc/articles/PMC12494424/pdf/","citationCount":"0","resultStr":null,"platform":"Semanticscholar","paperid":null,"PeriodicalName":"European Journal of Dentistry","FirstCategoryId":"1085","ListUrlMain":"https://doi.org/10.1055/s-0045-1802569","RegionNum":0,"RegionCategory":null,"ArticlePicture":[],"TitleCN":null,"AbstractTextCN":null,"PMCID":null,"EPubDate":"2025/3/12 0:00:00","PubModel":"Epub","JCR":"Q1","JCRName":"Dentistry","Score":null,"Total":0}
引用次数: 0

Abstract

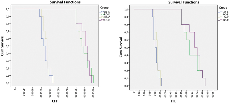
This article evaluates the marginal and internal gap, interfacial volume, and fatigue behavior in computer-aided design-computer-aided manufacturing (CAD-CAM) restorations with different designs (crowns or endocrowns) made from lithium disilicate-based ceramic (LD, IPS e.max CAD, Ivoclar AG) or resin composite (RC, Tetric CAD, Ivoclar AG).Simplified LD and RC crowns (-C) and endocrowns (-E) were produced (n = 10) using CAD-CAM technology, through scanning (CEREC Primescan, Dentsply Sirona) and milling (CEREC MC XL, Dentsply Sirona), and then adhesively bonded to fiberglass-reinforced epoxy resin. Computed microtomography was used to assess the marginal and internal gap and interfacial volume. A cyclic fatigue test (20 Hz, initial load = 100 N/5,000 cycles; step-size = 50 N/10,000 cycles until 1,500 N, if specimens survived, the step-size = 100 N/10,000 cycles until failure) was performed. Topography, finite element analysis (FEA), and fractography were also executed.Two-way analysis of variance and Tukey's post hoc tests were employed (α = 0.05) for marginal and internal gap and interfacial volume. Survival analysis based on Kaplan-Meier and Mantel-Cox tests (α = 0.05) was used for fatigue data.RC crowns demonstrated the smallest marginal gap, LD crowns the largest. Endocrowns presented intermediary marginal gap values. Internal gaps were all above the planned 120 µm space. The lowest gap was seen at the cervical-axial angle at crowns, regardless of material. At the axio-occlusal angle, LD crowns presented a lower gap than RC; meanwhile, there was no difference among endocrowns. When comparing occlusal/pulpal space, LD crowns showed the lowest values, and RC-C, LD-E, and RC-E were statistically similar. Fatigue testing revealed superior behavior for RC restorations, withstanding higher loads and more cycles before failure compared to LD. FEA indicated that the crowns required higher stress concentration to unleash their failure than endocrowns. Fractographic features confirm failure origin at surface defects located at the restoration/cement intaglio surface, where it concentrated the highest maximum principal stress.RC crowns and endocrowns presented lower marginal gaps than LD ones. Differences in other internal gap outcomes exist but within a nonclinically relevant threshold. The restoration fatigue behavior was influenced by the CAD-CAM material, but not by its design.

Abstract Image

Abstract Image

Abstract Image

修复体的设计和材料是否影响间接修复体的边缘和内部间隙、界面体积和疲劳行为?
目的:评价计算机辅助设计-计算机辅助制造(CAD- cam)由二酸锂基陶瓷(LD, IPS e.max CAD, Ivoclar AG)或树脂复合材料(RC, Tetric CAD, Ivoclar AG)制成的不同设计(冠或内冠)修复体的边缘和内部间隙、界面体积和疲劳行为。材料和方法:采用CAD-CAM技术,通过扫描(CEREC Primescan, Dentsply Sirona)和铣削(CEREC MC XL, Dentsply Sirona),制作简化LD和RC冠(c)和内冠(-E) (n = 10),然后粘接在玻璃纤维增强环氧树脂上。计算机显微断层扫描用于评估边缘和内部间隙和界面体积。循环疲劳试验(20 Hz,初始载荷= 100 N/ 5000次);步长= 50 N/10,000循环,直到1,500 N,如果样品存活,则步长= 100 N/10,000循环,直到失效)。形貌、有限元分析(FEA)和断口分析也被执行。统计学分析:边缘间隙、内部间隙、界面体积采用双向方差分析和Tukey事后检验(α = 0.05)。疲劳数据采用Kaplan-Meier检验和Mantel-Cox检验(α = 0.05)进行生存分析。结果:RC冠边缘间隙最小,LD冠边缘间隙最大。内冠呈中间边缘间隙值。内部间隙均大于规划的120µm空间。在冠的颈轴角处,无论材料如何,间隙最小。在轴向咬合角上,LD冠的间隙小于RC冠;不同冠层间无差异。对比牙合/牙髓间隙,LD冠值最低,RC-C、LD- e、RC-E差异有统计学意义。疲劳测试表明,与LD相比,RC修复体具有更好的性能,可以承受更高的载荷和更多的破坏循环。有限元分析表明,冠比内冠需要更高的应力集中才能释放其破坏。断口特征证实了破坏的起源是位于修复/水泥凹痕表面的表面缺陷,在那里它集中了最大主应力。结论:RC冠和内冠的边缘间隙小于LD冠。其他内部差距结果存在差异,但在非临床相关阈值内。修复疲劳行为受CAD-CAM材料的影响,而不受其设计的影响。
本文章由计算机程序翻译,如有差异,请以英文原文为准。
求助全文
约1分钟内获得全文 求助全文
来源期刊
European Journal of Dentistry
European Journal of Dentistry Dentistry-Dentistry (all)
CiteScore
5.10
自引率
0.00%
发文量
161
期刊介绍: The European Journal of Dentistry is the official journal of the Dental Investigations Society, based in Turkey. It is a double-blinded peer-reviewed, Open Access, multi-disciplinary international journal addressing various aspects of dentistry. The journal''s board consists of eminent investigators in dentistry from across the globe and presents an ideal international composition. The journal encourages its authors to submit original investigations, reviews, and reports addressing various divisions of dentistry including oral pathology, prosthodontics, endodontics, orthodontics etc. It is available both online and in print.
×
引用
GB/T 7714-2015
复制
MLA
复制
APA
复制
导出至
BibTeX EndNote RefMan NoteFirst NoteExpress
×
提示
您的信息不完整,为了账户安全,请先补充。
现在去补充
×
提示
您因"违规操作"
具体请查看互助需知
我知道了
×
提示
确定
请完成安全验证×
copy
已复制链接
快去分享给好友吧!
我知道了
右上角分享
点击右上角分享
0
联系我们:info@booksci.cn Book学术提供免费学术资源搜索服务,方便国内外学者检索中英文文献。致力于提供最便捷和优质的服务体验。 Copyright © 2023 布克学术 All rights reserved.
京ICP备2023020795号-1
ghs 京公网安备 11010802042870号
Book学术文献互助
Book学术文献互助群
群 号:604180095
Book学术官方微信