Identification and validation of transcriptome-wide association study-derived genes as potential druggable targets for osteoarthritis.

IF 5.1 2区 医学 Q2 CELL & TISSUE ENGINEERING
Xindie Zhou, Xinjian Ye, Jiapei Yao, Xiaolong Lin, Yiping Weng, Yong Huang, Yaojun Lu, JingJing Shang, Luming Nong
{"title":"Identification and validation of transcriptome-wide association study-derived genes as potential druggable targets for osteoarthritis.","authors":"Xindie Zhou, Xinjian Ye, Jiapei Yao, Xiaolong Lin, Yiping Weng, Yong Huang, Yaojun Lu, JingJing Shang, Luming Nong","doi":"10.1302/2046-3758.143.BJR-2024-0251.R1","DOIUrl":null,"url":null,"abstract":"<p><strong>Aims: </strong>Osteoarthritis (OA) is a widespread chronic degenerative joint disease with an increasing global impact. The pathogenesis of OA involves complex interactions between genetic and environmental factors. Despite this, the specific genetic mechanisms underlying OA remain only partially understood, hindering the development of targeted therapeutic strategies.</p><p><strong>Methods: </strong>A transcriptome-wide association study (TWAS) was conducted for site-specific OA phenotypes using functional summary-based imputation (FUSION). High-confidence candidate genes were identified through rigorous quality control measures, including joint/conditional analysis, permutation tests, best model evaluation, and colocalization analysis. Co-expression network analysis was performed to elucidate the functional biology of these candidate genes. Druggable gene targets and their structural models were retrieved from the DrugBank and SWISS-MODEL databases. Finally, the enrichment of mitogen-activated protein kinase 3 (<i>MAPK3</i>) and <i>SMAD3</i> in OA was validated biochemically using in vitro and in vivo OA models, as well as human histological sections.</p><p><strong>Results: </strong>Utilizing the FUSION algorithm, TWAS identified 794 candidate genes for OA. After quality control, 14 genes were classified as high-confidence genes, with seven recognized as potential drug targets including <i>GCAT, MAPK3, MST1R, PFKM, RAD9A, SMAD3,</i> and <i>USAP8</i>. Co-expression analysis revealed a strong biological association between <i>SMAD3</i> and <i>MAPK3</i>. Both in vitro and in vivo experiments demonstrated high activity and enriched expression of these two genes in OA.</p><p><strong>Conclusion: </strong>The present study identified tissue-specific candidate genes and validated high-confidence druggable targets for OA, providing new insights into the genetic landscape and biological processes involved in OA. Further functional studies are warranted to confirm these findings.</p>","PeriodicalId":9074,"journal":{"name":"Bone & Joint Research","volume":"14 3","pages":"224-235"},"PeriodicalIF":5.1000,"publicationDate":"2025-03-13","publicationTypes":"Journal Article","fieldsOfStudy":null,"isOpenAccess":false,"openAccessPdf":"https://www.ncbi.nlm.nih.gov/pmc/articles/PMC11904851/pdf/","citationCount":"0","resultStr":null,"platform":"Semanticscholar","paperid":null,"PeriodicalName":"Bone & Joint Research","FirstCategoryId":"3","ListUrlMain":"https://doi.org/10.1302/2046-3758.143.BJR-2024-0251.R1","RegionNum":2,"RegionCategory":"医学","ArticlePicture":[],"TitleCN":null,"AbstractTextCN":null,"PMCID":null,"EPubDate":"","PubModel":"","JCR":"Q2","JCRName":"CELL & TISSUE ENGINEERING","Score":null,"Total":0}
引用次数: 0

Abstract

Aims: Osteoarthritis (OA) is a widespread chronic degenerative joint disease with an increasing global impact. The pathogenesis of OA involves complex interactions between genetic and environmental factors. Despite this, the specific genetic mechanisms underlying OA remain only partially understood, hindering the development of targeted therapeutic strategies.

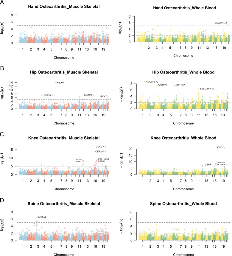
Methods: A transcriptome-wide association study (TWAS) was conducted for site-specific OA phenotypes using functional summary-based imputation (FUSION). High-confidence candidate genes were identified through rigorous quality control measures, including joint/conditional analysis, permutation tests, best model evaluation, and colocalization analysis. Co-expression network analysis was performed to elucidate the functional biology of these candidate genes. Druggable gene targets and their structural models were retrieved from the DrugBank and SWISS-MODEL databases. Finally, the enrichment of mitogen-activated protein kinase 3 (MAPK3) and SMAD3 in OA was validated biochemically using in vitro and in vivo OA models, as well as human histological sections.

Results: Utilizing the FUSION algorithm, TWAS identified 794 candidate genes for OA. After quality control, 14 genes were classified as high-confidence genes, with seven recognized as potential drug targets including GCAT, MAPK3, MST1R, PFKM, RAD9A, SMAD3, and USAP8. Co-expression analysis revealed a strong biological association between SMAD3 and MAPK3. Both in vitro and in vivo experiments demonstrated high activity and enriched expression of these two genes in OA.

Conclusion: The present study identified tissue-specific candidate genes and validated high-confidence druggable targets for OA, providing new insights into the genetic landscape and biological processes involved in OA. Further functional studies are warranted to confirm these findings.

Abstract Image

Abstract Image

Abstract Image

鉴定和验证转录组关联研究衍生的基因作为骨关节炎的潜在药物靶点。
目的:骨关节炎(OA)是一种广泛存在的慢性退行性关节疾病,在全球的影响越来越大。骨性关节炎的发病机制涉及遗传和环境因素之间复杂的相互作用。尽管如此,骨性关节炎的特定遗传机制仍然只被部分理解,阻碍了靶向治疗策略的发展。方法:使用基于功能汇总的imputation (FUSION)对位点特异性OA表型进行转录组全关联研究(TWAS)。通过严格的质量控制措施,包括联合/条件分析、排列测试、最佳模型评估和共定位分析,确定了高置信度的候选基因。通过共表达网络分析来阐明这些候选基因的功能生物学。可药物基因靶点及其结构模型从DrugBank和SWISS-MODEL数据库中检索。最后,通过体外和体内OA模型以及人体组织学切片,对OA中有丝裂原活化蛋白激酶3 (MAPK3)和SMAD3的富集进行了生化验证。结果:利用FUSION算法,TWAS鉴定出794个OA候选基因。经质量控制,14个基因被归为高信度基因,其中7个基因被确定为潜在药物靶点,包括GCAT、MAPK3、MST1R、PFKM、RAD9A、SMAD3和USAP8。共表达分析显示SMAD3和MAPK3之间存在很强的生物学关联。体外和体内实验均表明,这两个基因在OA中具有较高的活性和丰富的表达。结论:本研究确定了组织特异性候选基因,并验证了OA的高可信度药物靶点,为OA的遗传景观和生物学过程提供了新的见解。需要进一步的功能研究来证实这些发现。
本文章由计算机程序翻译,如有差异,请以英文原文为准。
求助全文
约1分钟内获得全文 求助全文
来源期刊
Bone & Joint Research
Bone & Joint Research CELL & TISSUE ENGINEERING-ORTHOPEDICS
CiteScore
7.40
自引率
23.90%
发文量
156
审稿时长
12 weeks
期刊介绍: The gold open access journal for the musculoskeletal sciences. Included in PubMed and available in PubMed Central.
×
引用
GB/T 7714-2015
复制
MLA
复制
APA
复制
导出至
BibTeX EndNote RefMan NoteFirst NoteExpress
×
提示
您的信息不完整,为了账户安全,请先补充。
现在去补充
×
提示
您因"违规操作"
具体请查看互助需知
我知道了
×
提示
确定
请完成安全验证×
copy
已复制链接
快去分享给好友吧!
我知道了
右上角分享
点击右上角分享
0
联系我们:info@booksci.cn Book学术提供免费学术资源搜索服务,方便国内外学者检索中英文文献。致力于提供最便捷和优质的服务体验。 Copyright © 2023 布克学术 All rights reserved.
京ICP备2023020795号-1
ghs 京公网安备 11010802042870号
Book学术文献互助
Book学术文献互助群
群 号:604180095
Book学术官方微信