Optimal Cut-off Points of the Standardized Continuous Metabolic Syndrome Severity Score (cMetS-S) for Predicting Cardiovascular Disease (CVD) and CVD Mortality in the Tehran Lipid and Glucose Study (TLGS).

IF 1.8 Q3 ENDOCRINOLOGY & METABOLISM
International Journal of Endocrinology and Metabolism Pub Date : 2024-12-18 eCollection Date: 2024-10-01 DOI:10.5812/ijem-154255
Maryam Adib, Ladan Mehran, Safdar Masoumi, Iman Vatanpoor, Fereidoun Azizi, Atieh Amouzegar
{"title":"Optimal Cut-off Points of the Standardized Continuous Metabolic Syndrome Severity Score (cMetS-S) for Predicting Cardiovascular Disease (CVD) and CVD Mortality in the Tehran Lipid and Glucose Study (TLGS).","authors":"Maryam Adib, Ladan Mehran, Safdar Masoumi, Iman Vatanpoor, Fereidoun Azizi, Atieh Amouzegar","doi":"10.5812/ijem-154255","DOIUrl":null,"url":null,"abstract":"<p><strong>Background: </strong>Metabolic Syndrome (MetS) is a prevalent condition associated with an increased risk of cardiovascular disease (CVD) and CVD mortality. Due to the limited clinical applicability of MetS, the standardized continuous metabolic syndrome severity score (cMetS-S) has the potential to provide continuous assessment of metabolic risk.</p><p><strong>Objectives: </strong>This study evaluated the optimal cMetS-S cut-off points in the Tehran Lipid and Glucose Study (TLGS) for predicting CVD and CVD mortality.</p><p><strong>Methods: </strong>The study included 7,776 participants over 30 years old at baseline, followed for 18 years. Sex-specific sensitivity (SS) and specificity (SP) of cMetS-S measures for predicting CVD and CVD mortality were evaluated using a receiver operating characteristic (ROC) curve, along with the area under the curve (AUC), employing a naive estimator and considering event failure status and MetS variables.</p><p><strong>Results: </strong>The cut-off point of cMetS-S for CVD was 0.13 (SS: 65.5%, SP: 59.6%) for the total population, 0.44 (SS: 49.6%, SP: 68.1%) for men, and 0.27 (SS: 64.2%, SP: 69.2%) for women. The cut-off point of cMetS-S for CVD mortality was 0.53 (SS: 51.3%, SP: 71.9%) for the total population, 0.76 (SS: 35.1%, SP: 76.2%) for men, and 0.28 (SS: 78.8%, SP: 66.4%) for women. The AUC (95% CI) of MetS based on the International Diabetes Federation (IDF) and Joint Interim Statement (JIS) definitions were 60.0 (65.3 - 56.8) and 61.1 (59.6 - 56.8) for CVD, and 59.3 (56.0 - 62.5) and 59.4 (56.3 - 62.6) for CVD mortality.</p><p><strong>Conclusions: </strong>The cut-off points of cMetS-S for CVD and CVD mortality differ between men and women. The cMetS-S could be a better predictive tool for CVD and CVD mortality than MetS.</p>","PeriodicalId":13969,"journal":{"name":"International Journal of Endocrinology and Metabolism","volume":"22 4","pages":"e154255"},"PeriodicalIF":1.8000,"publicationDate":"2024-12-18","publicationTypes":"Journal Article","fieldsOfStudy":null,"isOpenAccess":false,"openAccessPdf":"https://www.ncbi.nlm.nih.gov/pmc/articles/PMC11892520/pdf/","citationCount":"0","resultStr":null,"platform":"Semanticscholar","paperid":null,"PeriodicalName":"International Journal of Endocrinology and Metabolism","FirstCategoryId":"3","ListUrlMain":"https://doi.org/10.5812/ijem-154255","RegionNum":0,"RegionCategory":null,"ArticlePicture":[],"TitleCN":null,"AbstractTextCN":null,"PMCID":null,"EPubDate":"2024/10/1 0:00:00","PubModel":"eCollection","JCR":"Q3","JCRName":"ENDOCRINOLOGY & METABOLISM","Score":null,"Total":0}
引用次数: 0

Abstract

Background: Metabolic Syndrome (MetS) is a prevalent condition associated with an increased risk of cardiovascular disease (CVD) and CVD mortality. Due to the limited clinical applicability of MetS, the standardized continuous metabolic syndrome severity score (cMetS-S) has the potential to provide continuous assessment of metabolic risk.

Objectives: This study evaluated the optimal cMetS-S cut-off points in the Tehran Lipid and Glucose Study (TLGS) for predicting CVD and CVD mortality.

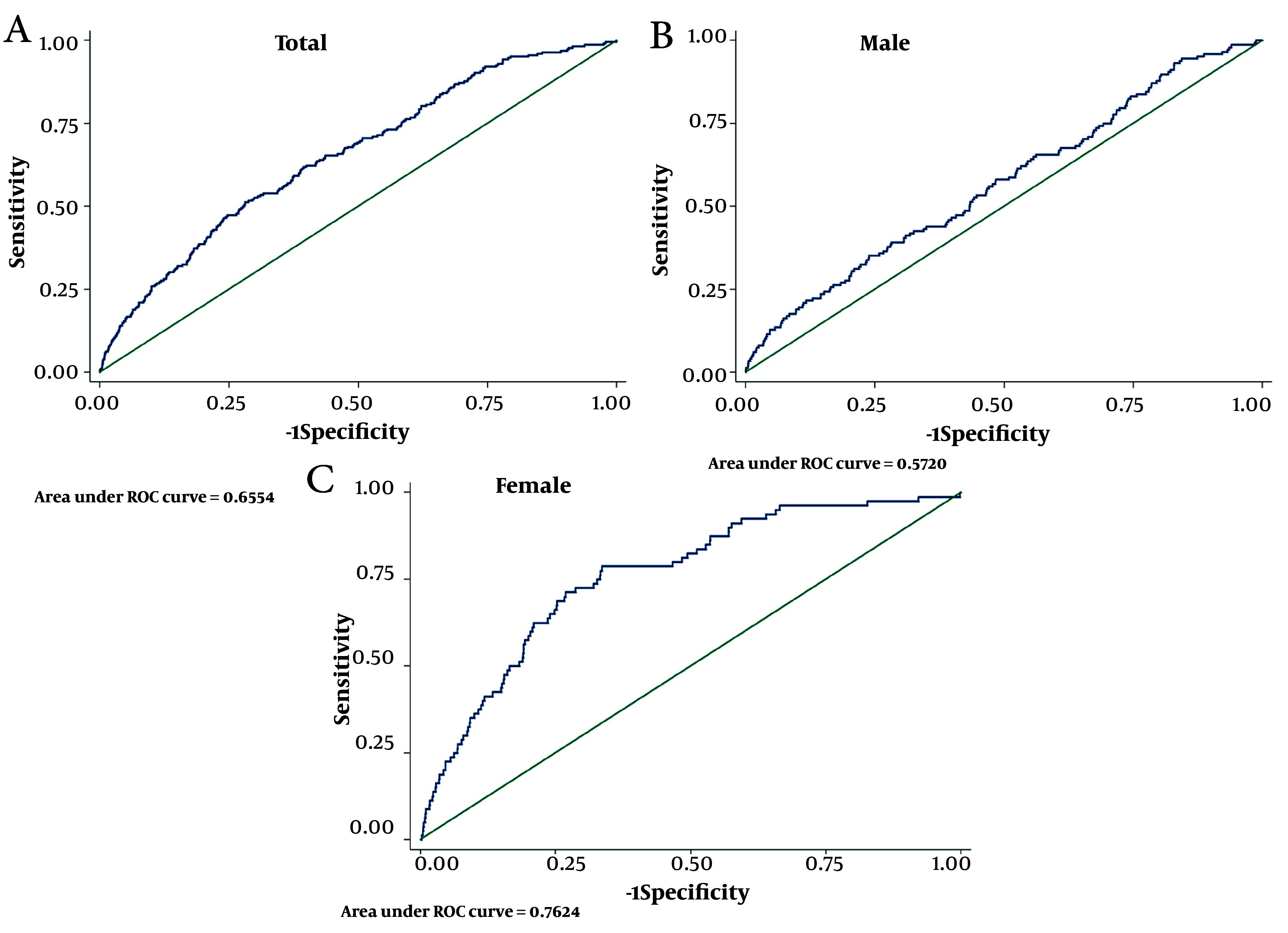
Methods: The study included 7,776 participants over 30 years old at baseline, followed for 18 years. Sex-specific sensitivity (SS) and specificity (SP) of cMetS-S measures for predicting CVD and CVD mortality were evaluated using a receiver operating characteristic (ROC) curve, along with the area under the curve (AUC), employing a naive estimator and considering event failure status and MetS variables.

Results: The cut-off point of cMetS-S for CVD was 0.13 (SS: 65.5%, SP: 59.6%) for the total population, 0.44 (SS: 49.6%, SP: 68.1%) for men, and 0.27 (SS: 64.2%, SP: 69.2%) for women. The cut-off point of cMetS-S for CVD mortality was 0.53 (SS: 51.3%, SP: 71.9%) for the total population, 0.76 (SS: 35.1%, SP: 76.2%) for men, and 0.28 (SS: 78.8%, SP: 66.4%) for women. The AUC (95% CI) of MetS based on the International Diabetes Federation (IDF) and Joint Interim Statement (JIS) definitions were 60.0 (65.3 - 56.8) and 61.1 (59.6 - 56.8) for CVD, and 59.3 (56.0 - 62.5) and 59.4 (56.3 - 62.6) for CVD mortality.

Conclusions: The cut-off points of cMetS-S for CVD and CVD mortality differ between men and women. The cMetS-S could be a better predictive tool for CVD and CVD mortality than MetS.

Abstract Image

Abstract Image

Abstract Image

德黑兰脂质和葡萄糖研究(TLGS)中预测心血管疾病(CVD)和CVD死亡率的标准化持续代谢综合征严重程度评分(cMetS-S)的最佳分界点。
背景:代谢综合征(MetS)是一种与心血管疾病(CVD)和CVD死亡率增加相关的普遍疾病。由于MetS的临床适用性有限,标准化连续代谢综合征严重程度评分(cMetS-S)具有提供持续评估代谢风险的潜力。目的:本研究评估德黑兰脂质和葡萄糖研究(TLGS)中预测CVD和CVD死亡率的最佳cmet - s分界点。方法:研究纳入7776名30岁以上的参与者,随访18年。使用受试者工作特征(ROC)曲线和曲线下面积(AUC),采用朴素估计量并考虑事件失败状态和MetS变量,评估cMetS-S方法预测CVD和CVD死亡率的性别特异性敏感性(SS)和特异性(SP)。结果:cmet - s对心血管疾病的分界点为总人口0.13 (SS: 65.5%, SP: 59.6%),男性0.44 (SS: 49.6%, SP: 68.1%),女性0.27 (SS: 64.2%, SP: 69.2%)。心血管疾病死亡率的cmet - s分界点为总人口0.53 (SS: 51.3%, SP: 71.9%),男性0.76 (SS: 35.1%, SP: 76.2%),女性0.28 (SS: 78.8%, SP: 66.4%)。基于国际糖尿病联合会(IDF)和联合中期声明(JIS)定义的MetS的AUC (95% CI)为CVD的60.0(65.3 - 56.8)和61.1 (59.6 - 56.8),CVD死亡率的59.3(56.0 - 62.5)和59.4(56.3 - 62.6)。结论:cmet - s对CVD和CVD死亡率的分界点在男性和女性之间存在差异。cMetS-S可能是比MetS更好的CVD和CVD死亡率预测工具。
本文章由计算机程序翻译,如有差异,请以英文原文为准。
求助全文
约1分钟内获得全文 求助全文
来源期刊
CiteScore
3.10
自引率
4.80%
发文量
0
期刊介绍: The aim of the International Journal of Endocrinology and Metabolism (IJEM) is to increase knowledge, stimulate research in the field of endocrinology, and promote better management of patients with endocrinological disorders. To achieve this goal, the journal publishes original research papers on human, animal and cell culture studies relevant to endocrinology.
×
引用
GB/T 7714-2015
复制
MLA
复制
APA
复制
导出至
BibTeX EndNote RefMan NoteFirst NoteExpress
×
提示
您的信息不完整,为了账户安全,请先补充。
现在去补充
×
提示
您因"违规操作"
具体请查看互助需知
我知道了
×
提示
确定
请完成安全验证×
copy
已复制链接
快去分享给好友吧!
我知道了
右上角分享
点击右上角分享
0
联系我们:info@booksci.cn Book学术提供免费学术资源搜索服务,方便国内外学者检索中英文文献。致力于提供最便捷和优质的服务体验。 Copyright © 2023 布克学术 All rights reserved.
京ICP备2023020795号-1
ghs 京公网安备 11010802042870号
Book学术文献互助
Book学术文献互助群
群 号:604180095
Book学术官方微信