Investigating Metrics of Discrete-Individual Repeatability of the Stress Response.

IF 1.9 4区 生物学 Q2 BIOLOGY
Integrative Organismal Biology Pub Date : 2025-02-24 eCollection Date: 2025-01-01 DOI:10.1093/iob/obaf005
U K Beattie, L M Romero, J M Reed
{"title":"Investigating Metrics of Discrete-Individual Repeatability of the Stress Response.","authors":"U K Beattie, L M Romero, J M Reed","doi":"10.1093/iob/obaf005","DOIUrl":null,"url":null,"abstract":"<p><p>There is currently no consensus on the most biologically meaningful way to calculate discrete-individual repeatability of stress response curves. In the current study, we compared three metrics of discrete-individual repeatability that incorporate the whole stress response curve: profile repeatability, Kullback-Leibler (KL) divergence, and hypothalamic-pituitary-adrenal (HPA) flexibility. As part of this work, we present a new R package for computing profile repeatability, \"profrep.\" Using three datasets (one synthetic and two corticosterone datasets from live birds), our objectives were (1) to compare how these metrics correlate with one another and (2) to determine how representative repeatability scores of fewer replicates were to the \"consensus\" score (i.e., the score of the full dataset). We found that (1) these three discrete-individual repeatability metrics do not consistently correlate with one another; (2) KL divergence and HPA flexibility are poor at distinguishing individuals from each other (i.e., they give similar scores for each individual regardless of perceived repeatability); and (3) profile repeatability tends to overestimate repeatability when fewer replicates are available, and the consensus score is low. Despite this drawback of profile repeatability, we suggest that it may be the most well-suited metric for assessing discrete-individual repeatability.</p>","PeriodicalId":13666,"journal":{"name":"Integrative Organismal Biology","volume":"7 1","pages":"obaf005"},"PeriodicalIF":1.9000,"publicationDate":"2025-02-24","publicationTypes":"Journal Article","fieldsOfStudy":null,"isOpenAccess":false,"openAccessPdf":"https://www.ncbi.nlm.nih.gov/pmc/articles/PMC11894371/pdf/","citationCount":"0","resultStr":null,"platform":"Semanticscholar","paperid":null,"PeriodicalName":"Integrative Organismal Biology","FirstCategoryId":"99","ListUrlMain":"https://doi.org/10.1093/iob/obaf005","RegionNum":4,"RegionCategory":"生物学","ArticlePicture":[],"TitleCN":null,"AbstractTextCN":null,"PMCID":null,"EPubDate":"2025/1/1 0:00:00","PubModel":"eCollection","JCR":"Q2","JCRName":"BIOLOGY","Score":null,"Total":0}
引用次数: 0

Abstract

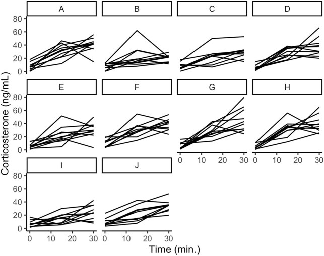
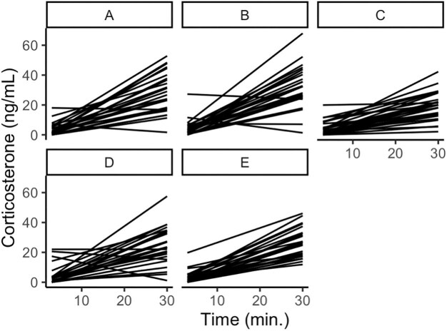
There is currently no consensus on the most biologically meaningful way to calculate discrete-individual repeatability of stress response curves. In the current study, we compared three metrics of discrete-individual repeatability that incorporate the whole stress response curve: profile repeatability, Kullback-Leibler (KL) divergence, and hypothalamic-pituitary-adrenal (HPA) flexibility. As part of this work, we present a new R package for computing profile repeatability, "profrep." Using three datasets (one synthetic and two corticosterone datasets from live birds), our objectives were (1) to compare how these metrics correlate with one another and (2) to determine how representative repeatability scores of fewer replicates were to the "consensus" score (i.e., the score of the full dataset). We found that (1) these three discrete-individual repeatability metrics do not consistently correlate with one another; (2) KL divergence and HPA flexibility are poor at distinguishing individuals from each other (i.e., they give similar scores for each individual regardless of perceived repeatability); and (3) profile repeatability tends to overestimate repeatability when fewer replicates are available, and the consensus score is low. Despite this drawback of profile repeatability, we suggest that it may be the most well-suited metric for assessing discrete-individual repeatability.

Abstract Image

Abstract Image

Abstract Image

研究应力反应的离散个体可重复性指标。
目前,对于计算应力响应曲线离散个体可重复性的最有生物学意义的方法,还没有达成共识。在当前的研究中,我们比较了包含整个应激反应曲线的三个离散个体重复性指标:剖面重复性、Kullback-Leibler (KL)散度和下丘脑-垂体-肾上腺(HPA)灵活性。作为这项工作的一部分,我们提出了一个用于计算概要文件可重复性的新R包“profrep”。使用三个数据集(一个合成数据集和两个来自活鸟的皮质酮数据集),我们的目标是(1)比较这些指标如何相互关联,(2)确定较少重复的代表性可重复性得分与“共识”得分(即完整数据集的得分)的关系。我们发现(1)这三个离散的个体可重复性指标并不一致地相互关联;(2) KL散度和HPA灵活性在区分个体方面较差(即无论感知可重复性如何,它们对每个个体的得分相似);(3)当可获得的重复较少时,剖面可重复性倾向于高估可重复性,一致性得分较低。尽管轮廓可重复性有这个缺点,但我们认为它可能是评估离散个体可重复性的最合适的度量。
本文章由计算机程序翻译,如有差异,请以英文原文为准。
求助全文
约1分钟内获得全文 求助全文
来源期刊
CiteScore
3.70
自引率
6.70%
发文量
48
审稿时长
20 weeks
×
引用
GB/T 7714-2015
复制
MLA
复制
APA
复制
导出至
BibTeX EndNote RefMan NoteFirst NoteExpress
×
提示
您的信息不完整,为了账户安全,请先补充。
现在去补充
×
提示
您因"违规操作"
具体请查看互助需知
我知道了
×
提示
确定
请完成安全验证×
copy
已复制链接
快去分享给好友吧!
我知道了
右上角分享
点击右上角分享
0
联系我们:info@booksci.cn Book学术提供免费学术资源搜索服务,方便国内外学者检索中英文文献。致力于提供最便捷和优质的服务体验。 Copyright © 2023 布克学术 All rights reserved.
京ICP备2023020795号-1
ghs 京公网安备 11010802042870号
Book学术文献互助
Book学术文献互助群
群 号:604180095
Book学术官方微信