Soluble alpha-klotho and 25-hydroxivitamin D are not associated with brown adipose tissue metabolism in young healthy adults.

IF 4.3 3区 生物学 Q2 BIOCHEMISTRY & MOLECULAR BIOLOGY
Journal of physiology and biochemistry Pub Date : 2025-05-01 Epub Date: 2025-03-11 DOI:10.1007/s13105-025-01072-z
Francisco J Amaro-Gahete, Héctor Vázquez-Lorente, Guillermo Sanchez-Delgado, Jonatan R Ruiz
{"title":"Soluble alpha-klotho and 25-hydroxivitamin D are not associated with brown adipose tissue metabolism in young healthy adults.","authors":"Francisco J Amaro-Gahete, Héctor Vázquez-Lorente, Guillermo Sanchez-Delgado, Jonatan R Ruiz","doi":"10.1007/s13105-025-01072-z","DOIUrl":null,"url":null,"abstract":"<p><strong>Background: </strong>Soluble Alpha-Klotho (S-αklotho) protein and 25-Hydroxyvitamin D (25-OH-D) have emerged as potential modulators for activating and recruiting Brown Adipose Tissue (BAT). The present study aimed to investigate whether circulating S-αklotho and 25-OH-D levels are related to BAT volume, <sup>18</sup>Fluorine-Fluorodeoxyglucose (<sup>18</sup>F-FDG) uptake, and BAT radiodensity in young healthy adults.</p><p><strong>Methods: </strong>A total of 128 participants (68% women) aged 18-25 years old participated in this cross-sectional study. Serum levels of S-αklotho were determined by a solid-phase sandwich enzyme-linked immunosorbent assay kit and 25-OH-D serum levels were analyzed using a competitive chemiluminescence immunoassay, both in blood samples collected after an overnight fast. All participants underwent a personalized cold exposure to determine their BAT volume, <sup>18</sup>F-FDG uptake, and radiodensity, using a static positron emission tomography combined with computed tomography scan.</p><p><strong>Results: </strong>After adjusting for multiple covariates, serum levels of S-αklotho (all R<sup>2</sup> ≤ 0.228 and P ≥ 0.364), 25-OH-D as continuous (all R<sup>2</sup> ≤ 0.242 and P ≥ 0.088) or by vitamin D status (all R<sup>2</sup> ≤ 0.767 and P ≥ 0.061) were not associated with either BAT volume and <sup>18</sup>F-FDG uptake, or BAT radiodensity.</p><p><strong>Conclusion: </strong>Serum S-αklotho and 25-OH-D levels within the physiological range are not related to BAT-related variables in young healthy adults. Further studies are needed to fully understand the underlying mechanisms involved in BAT metabolism in humans. (ACTIBATE; ClinicalTrials.gov identifier: not applicable).</p>","PeriodicalId":16779,"journal":{"name":"Journal of physiology and biochemistry","volume":" ","pages":"291-298"},"PeriodicalIF":4.3000,"publicationDate":"2025-05-01","publicationTypes":"Journal Article","fieldsOfStudy":null,"isOpenAccess":false,"openAccessPdf":"https://www.ncbi.nlm.nih.gov/pmc/articles/PMC12279559/pdf/","citationCount":"0","resultStr":null,"platform":"Semanticscholar","paperid":null,"PeriodicalName":"Journal of physiology and biochemistry","FirstCategoryId":"99","ListUrlMain":"https://doi.org/10.1007/s13105-025-01072-z","RegionNum":3,"RegionCategory":"生物学","ArticlePicture":[],"TitleCN":null,"AbstractTextCN":null,"PMCID":null,"EPubDate":"2025/3/11 0:00:00","PubModel":"Epub","JCR":"Q2","JCRName":"BIOCHEMISTRY & MOLECULAR BIOLOGY","Score":null,"Total":0}
引用次数: 0

Abstract

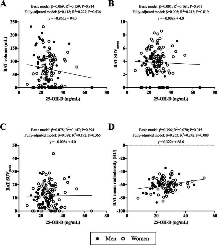
Background: Soluble Alpha-Klotho (S-αklotho) protein and 25-Hydroxyvitamin D (25-OH-D) have emerged as potential modulators for activating and recruiting Brown Adipose Tissue (BAT). The present study aimed to investigate whether circulating S-αklotho and 25-OH-D levels are related to BAT volume, 18Fluorine-Fluorodeoxyglucose (18F-FDG) uptake, and BAT radiodensity in young healthy adults.

Methods: A total of 128 participants (68% women) aged 18-25 years old participated in this cross-sectional study. Serum levels of S-αklotho were determined by a solid-phase sandwich enzyme-linked immunosorbent assay kit and 25-OH-D serum levels were analyzed using a competitive chemiluminescence immunoassay, both in blood samples collected after an overnight fast. All participants underwent a personalized cold exposure to determine their BAT volume, 18F-FDG uptake, and radiodensity, using a static positron emission tomography combined with computed tomography scan.

Results: After adjusting for multiple covariates, serum levels of S-αklotho (all R2 ≤ 0.228 and P ≥ 0.364), 25-OH-D as continuous (all R2 ≤ 0.242 and P ≥ 0.088) or by vitamin D status (all R2 ≤ 0.767 and P ≥ 0.061) were not associated with either BAT volume and 18F-FDG uptake, or BAT radiodensity.

Conclusion: Serum S-αklotho and 25-OH-D levels within the physiological range are not related to BAT-related variables in young healthy adults. Further studies are needed to fully understand the underlying mechanisms involved in BAT metabolism in humans. (ACTIBATE; ClinicalTrials.gov identifier: not applicable).

Abstract Image

Abstract Image

在年轻健康成人中,可溶性α -克罗索和25-羟基维生素D与棕色脂肪组织代谢无关。
背景:可溶性α - klotho (S-αklotho)蛋白和25-羟基维生素D (25-OH-D)已被发现是激活和募集棕色脂肪组织(BAT)的潜在调节剂。本研究旨在探讨健康青年循环S-α -氯氧托和25-OH-D水平是否与BAT体积、18氟-氟脱氧葡萄糖(18F-FDG)摄取和BAT放射密度有关。方法:共有128名年龄在18-25岁的参与者(68%为女性)参与了这项横断面研究。采用固相三明治酶联免疫吸附测定试剂盒检测血清S-α - klotho水平,采用竞争性化学发光免疫分析法分析血清25-OH-D水平,均为禁食过夜后采集的血液样本。所有参与者都进行了个性化的冷暴露,以确定他们的BAT体积,18F-FDG摄取和辐射密度,使用静态正电子发射断层扫描结合计算机断层扫描。结果:在调整多个协变量后,血清S-α - klotho (R2≤0.228,P≥0.364)、25-OH-D (R2≤0.242,P≥0.088)或维生素D状态(R2≤0.767,P≥0.061)水平与BAT体积和18F-FDG摄取或BAT放射密度均无相关性。结论:健康青壮年血清S-αklotho和25-OH-D水平在生理范围内与bat相关变量无关。需要进一步的研究来充分了解人类BAT代谢的潜在机制。(ACTIBATE;ClinicalTrials.gov标识符:不适用)。
本文章由计算机程序翻译,如有差异,请以英文原文为准。
求助全文
约1分钟内获得全文 求助全文
来源期刊
Journal of physiology and biochemistry
Journal of physiology and biochemistry 生物-生化与分子生物学
CiteScore
6.60
自引率
0.00%
发文量
86
审稿时长
6-12 weeks
期刊介绍: The Journal of Physiology and Biochemistry publishes original research articles and reviews describing relevant new observations on molecular, biochemical and cellular mechanisms involved in human physiology. All areas of the physiology are covered. Special emphasis is placed on the integration of those levels in the whole-organism. The Journal of Physiology and Biochemistry also welcomes articles on molecular nutrition and metabolism studies, and works related to the genomic or proteomic bases of the physiological functions. Descriptive manuscripts about physiological/biochemical processes or clinical manuscripts will not be considered. The journal will not accept manuscripts testing effects of animal or plant extracts.
×
引用
GB/T 7714-2015
复制
MLA
复制
APA
复制
导出至
BibTeX EndNote RefMan NoteFirst NoteExpress
×
提示
您的信息不完整,为了账户安全,请先补充。
现在去补充
×
提示
您因"违规操作"
具体请查看互助需知
我知道了
×
提示
确定
请完成安全验证×
copy
已复制链接
快去分享给好友吧!
我知道了
右上角分享
点击右上角分享
0
联系我们:info@booksci.cn Book学术提供免费学术资源搜索服务,方便国内外学者检索中英文文献。致力于提供最便捷和优质的服务体验。 Copyright © 2023 布克学术 All rights reserved.
京ICP备2023020795号-1
ghs 京公网安备 11010802042870号
Book学术文献互助
Book学术文献互助群
群 号:604180095
Book学术官方微信