Modulating the Biliverdin Reductase (BVR)/ERK1/2 Axis to Attenuate Oxidative Stress in Rat Arterial Rings.

IF 1.8 4区 医学 Q3 PHARMACOLOGY & PHARMACY
Iranian Journal of Pharmaceutical Research Pub Date : 2024-12-04 eCollection Date: 2024-01-01 DOI:10.5812/ijpr-156828
Kuldeepak Sharma, Mateja Skufca Sterle, Hugon Mozina
{"title":"Modulating the Biliverdin Reductase (BVR)/ERK1/2 Axis to Attenuate Oxidative Stress in Rat Arterial Rings.","authors":"Kuldeepak Sharma, Mateja Skufca Sterle, Hugon Mozina","doi":"10.5812/ijpr-156828","DOIUrl":null,"url":null,"abstract":"<p><strong>Background: </strong>Biliverdin reductase (BVR) plays a central role in bile pigment metabolism by reducing biliverdin (BV) to bilirubin (BR), a potent antioxidant that scavenges reactive oxygen species (ROS) under normal and pathological conditions. Elevated oxidative stress activates extracellular signal-regulated protein kinases 1/2 (ERK1/2) signaling, which strongly interacts with BVR's C and D motifs, forming the BVR/ERK1/2 axis. In pathological states, increased ERK1/2 activity inhibits BVR's ability to convert BV to BR, exacerbating oxidative damage and contributing to cardiovascular disease. Therefore, the interaction between BVR and ERK1/2 is critical in modulating oxidative stress.</p><p><strong>Objectives: </strong>This study aimed to evaluate the effects of BR and the ERK1/2 inhibitor PD-98059, both individually and in combination, on ROS levels, ERK1/2 activity, and vascular responses under normoxic and hypoxia-reoxygenation (H-R) injury conditions.</p><p><strong>Methods: </strong>Aortic rings from rats were subjected to equal distending pressure after oxidative stress induction using 22'-Azobis (2-amidinopropane) dihydrochloride (ABAP) in an organ bath. Different doses of BR were administered in combination with the ERK1/2 inhibitor PD-98059 to assess their impact on ROS depletion, vascular relaxation, and maximal effect (Emax).</p><p><strong>Results: </strong>The combination of BR and PD-98059 significantly enhanced aortic relaxation and Emax under both normoxic and H/R conditions compared to either treatment alone. Inhibiting ERK1/2 with PD-98059 appeared to upregulate BVR activity, increasing BR synthesis and reducing oxidative damage in aortic rings.</p><p><strong>Conclusions: </strong>Biliverdin reductase plays a vital role in defending against oxidative stress and endothelial dysfunction through its dual-specificity kinase activity and interaction with ERK1/2. ERK1/2 inhibition further enhances BR's ROS-scavenging ability and vascular protective effects. Targeting the interaction between BVR and ERK1/2 holds potential as an effective therapeutic strategy for conditions characterized by excessive ROS levels, such as cardiovascular diseases.</p>","PeriodicalId":14595,"journal":{"name":"Iranian Journal of Pharmaceutical Research","volume":"23 1","pages":"e156828"},"PeriodicalIF":1.8000,"publicationDate":"2024-12-04","publicationTypes":"Journal Article","fieldsOfStudy":null,"isOpenAccess":false,"openAccessPdf":"https://www.ncbi.nlm.nih.gov/pmc/articles/PMC11892756/pdf/","citationCount":"0","resultStr":null,"platform":"Semanticscholar","paperid":null,"PeriodicalName":"Iranian Journal of Pharmaceutical Research","FirstCategoryId":"3","ListUrlMain":"https://doi.org/10.5812/ijpr-156828","RegionNum":4,"RegionCategory":"医学","ArticlePicture":[],"TitleCN":null,"AbstractTextCN":null,"PMCID":null,"EPubDate":"2024/1/1 0:00:00","PubModel":"eCollection","JCR":"Q3","JCRName":"PHARMACOLOGY & PHARMACY","Score":null,"Total":0}
引用次数: 0

Abstract

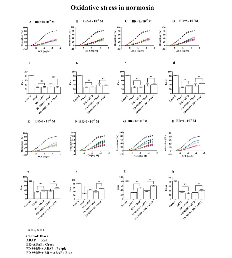
Background: Biliverdin reductase (BVR) plays a central role in bile pigment metabolism by reducing biliverdin (BV) to bilirubin (BR), a potent antioxidant that scavenges reactive oxygen species (ROS) under normal and pathological conditions. Elevated oxidative stress activates extracellular signal-regulated protein kinases 1/2 (ERK1/2) signaling, which strongly interacts with BVR's C and D motifs, forming the BVR/ERK1/2 axis. In pathological states, increased ERK1/2 activity inhibits BVR's ability to convert BV to BR, exacerbating oxidative damage and contributing to cardiovascular disease. Therefore, the interaction between BVR and ERK1/2 is critical in modulating oxidative stress.

Objectives: This study aimed to evaluate the effects of BR and the ERK1/2 inhibitor PD-98059, both individually and in combination, on ROS levels, ERK1/2 activity, and vascular responses under normoxic and hypoxia-reoxygenation (H-R) injury conditions.

Methods: Aortic rings from rats were subjected to equal distending pressure after oxidative stress induction using 22'-Azobis (2-amidinopropane) dihydrochloride (ABAP) in an organ bath. Different doses of BR were administered in combination with the ERK1/2 inhibitor PD-98059 to assess their impact on ROS depletion, vascular relaxation, and maximal effect (Emax).

Results: The combination of BR and PD-98059 significantly enhanced aortic relaxation and Emax under both normoxic and H/R conditions compared to either treatment alone. Inhibiting ERK1/2 with PD-98059 appeared to upregulate BVR activity, increasing BR synthesis and reducing oxidative damage in aortic rings.

Conclusions: Biliverdin reductase plays a vital role in defending against oxidative stress and endothelial dysfunction through its dual-specificity kinase activity and interaction with ERK1/2. ERK1/2 inhibition further enhances BR's ROS-scavenging ability and vascular protective effects. Targeting the interaction between BVR and ERK1/2 holds potential as an effective therapeutic strategy for conditions characterized by excessive ROS levels, such as cardiovascular diseases.

Abstract Image

Abstract Image

Abstract Image

调节胆绿素还原酶/ERK1/2轴减轻大鼠动脉环氧化应激。
背景:胆汁素还原酶(BVR)通过将胆汁素(BV)还原为胆红素(BR)在胆色素代谢中起核心作用,胆红素是一种有效的抗氧化剂,在正常和病理条件下清除活性氧(ROS)。升高的氧化应激激活细胞外信号调节蛋白激酶1/2 (ERK1/2)信号,该信号与BVR的C和D基序强烈相互作用,形成BVR/ERK1/2轴。在病理状态下,升高的ERK1/2活性抑制BVR将BV转化为BR的能力,加剧氧化损伤并导致心血管疾病。因此,BVR和ERK1/2之间的相互作用在调节氧化应激中至关重要。目的:本研究旨在评估BR和ERK1/2抑制剂PD-98059在常氧和缺氧再氧化(H-R)损伤条件下单独或联合对ROS水平、ERK1/2活性和血管反应的影响。方法:用22′-偶氮双(2-氨基丙烷)二盐酸(ABAP)氧化应激诱导大鼠主动脉环,在器官浴中进行等压扩张。不同剂量的BR与ERK1/2抑制剂PD-98059联合使用,以评估其对ROS消耗、血管舒张和最大效应(Emax)的影响。结果:与单独治疗相比,BR和PD-98059联合治疗可显著增强常压和H/R条件下的主动脉舒张和Emax。用PD-98059抑制ERK1/2似乎可以上调BVR活性,增加BR合成并减轻主动脉环的氧化损伤。结论:胆绿素还原酶通过其双特异性激酶活性和与ERK1/2的相互作用,在抗氧化应激和内皮功能障碍中发挥重要作用。抑制ERK1/2进一步增强了BR对ros的清除能力和血管保护作用。靶向BVR和ERK1/2之间的相互作用有可能成为以ROS水平过高为特征的疾病(如心血管疾病)的有效治疗策略。
本文章由计算机程序翻译,如有差异,请以英文原文为准。
求助全文
约1分钟内获得全文 求助全文
来源期刊
CiteScore
3.40
自引率
6.20%
发文量
52
审稿时长
2 months
期刊介绍: The Iranian Journal of Pharmaceutical Research (IJPR) is a peer-reviewed multi-disciplinary pharmaceutical publication, scheduled to appear quarterly and serve as a means for scientific information exchange in the international pharmaceutical forum. Specific scientific topics of interest to the journal include, but are not limited to: pharmaceutics, industrial pharmacy, pharmacognosy, toxicology, medicinal chemistry, novel analytical methods for drug characterization, computational and modeling approaches to drug design, bio-medical experience, clinical investigation, rational drug prescribing, pharmacoeconomics, biotechnology, nanotechnology, biopharmaceutics and physical pharmacy.
×
引用
GB/T 7714-2015
复制
MLA
复制
APA
复制
导出至
BibTeX EndNote RefMan NoteFirst NoteExpress
×
提示
您的信息不完整,为了账户安全,请先补充。
现在去补充
×
提示
您因"违规操作"
具体请查看互助需知
我知道了
×
提示
确定
请完成安全验证×
copy
已复制链接
快去分享给好友吧!
我知道了
右上角分享
点击右上角分享
0
联系我们:info@booksci.cn Book学术提供免费学术资源搜索服务,方便国内外学者检索中英文文献。致力于提供最便捷和优质的服务体验。 Copyright © 2023 布克学术 All rights reserved.
京ICP备2023020795号-1
ghs 京公网安备 11010802042870号
Book学术文献互助
Book学术文献互助群
群 号:604180095
Book学术官方微信