Malleatin A and B: New Premyrsine-Type Diterpenes from Euphorbia malleata with Cytotoxic Effects Against A2780 Wild and A2780 R-CIS Ovarian Cancer Cell Lines in Mono or Combination Treatment with Cisplatin.

IF 1.8 4区 医学 Q3 PHARMACOLOGY & PHARMACY
Iranian Journal of Pharmaceutical Research Pub Date : 2024-11-18 eCollection Date: 2024-01-01 DOI:10.5812/ijpr-147396
Behzad Zolfaghari, Forough Akbari, Sajad Esmaeili, Mahmoud Aghaei, Fatemeh Mosaffa, Seyedeh Sara Ghorbanhosseini, Mustafa Ghanadian
{"title":"Malleatin A and B: New Premyrsine-Type Diterpenes from <i>Euphorbia malleata</i> with Cytotoxic Effects Against A2780 Wild and A2780 R-CIS Ovarian Cancer Cell Lines in Mono or Combination Treatment with Cisplatin.","authors":"Behzad Zolfaghari, Forough Akbari, Sajad Esmaeili, Mahmoud Aghaei, Fatemeh Mosaffa, Seyedeh Sara Ghorbanhosseini, Mustafa Ghanadian","doi":"10.5812/ijpr-147396","DOIUrl":null,"url":null,"abstract":"<p><strong>Background: </strong>This study focused on macrocyclic diterpenes derived from Euphorbia, particularly myrsinanes, and their potential in cytotoxic and combination treatments for resistant cancer cells. We examine premyrsinanes isolated from <i>Euphorbia malleata</i> and explore their cytotoxic properties.</p><p><strong>Methods: </strong><i>Euphorbia malleata</i> was collected from Taragh-Roud, Natanz, Iran. The semi-polar chloroform/acetone extract was chromatographed and fractionated using a large silica column. Fractions containing diterpene resonances were selected based on <sup>1</sup>H-NMR spectra and were further subjected to smaller silica or Sephadex columns, followed by a recycling HPLC system. The isolated compounds were identified through 1D and 2D-NMR experiments and mass spectrometry. The cytotoxicity of the isolated compounds was assessed using the MTT assay against A2780 wild and A2780 cisplatin-resistant (R-CIS) cells, both in mono and combination treatments with cisplatin.</p><p><strong>Results and conclusions: </strong>Using a Waters 616 HPLC pump and a YMC prep silica column, we successfully isolated two new premyrsinane diterpenes (Malleatin A and Malleatin B) alongside two known compounds (beta-sitosterol and loliolide). Malleatin A exhibited cytotoxicity against A2780 wild and A2780 R-CIS cells, with an IC<sub>50</sub> range of 50 - 65 μM in the MTT assay. While cisplatin demonstrated significant cytotoxic effects on the A2780 wild cell line, it was ineffective against the A2780 R-CIS cells due to their resistance. However, the combination therapy of Malleatin A and cisplatin exhibited a synergistic effect, significantly increasing the mortality rate of the resistant cells compared to monotherapy. The Combination Index (CI) of 0.58 indicates effective synergy, and the Dose Reduction Index (DRI) of 3.65 suggests a favorable reduction in the dosage of cisplatin needed, potentially reducing its associated side effects.</p>","PeriodicalId":14595,"journal":{"name":"Iranian Journal of Pharmaceutical Research","volume":"23 1","pages":"e147396"},"PeriodicalIF":1.8000,"publicationDate":"2024-11-18","publicationTypes":"Journal Article","fieldsOfStudy":null,"isOpenAccess":false,"openAccessPdf":"https://www.ncbi.nlm.nih.gov/pmc/articles/PMC11892754/pdf/","citationCount":"0","resultStr":null,"platform":"Semanticscholar","paperid":null,"PeriodicalName":"Iranian Journal of Pharmaceutical Research","FirstCategoryId":"3","ListUrlMain":"https://doi.org/10.5812/ijpr-147396","RegionNum":4,"RegionCategory":"医学","ArticlePicture":[],"TitleCN":null,"AbstractTextCN":null,"PMCID":null,"EPubDate":"2024/1/1 0:00:00","PubModel":"eCollection","JCR":"Q3","JCRName":"PHARMACOLOGY & PHARMACY","Score":null,"Total":0}
引用次数: 0

Abstract

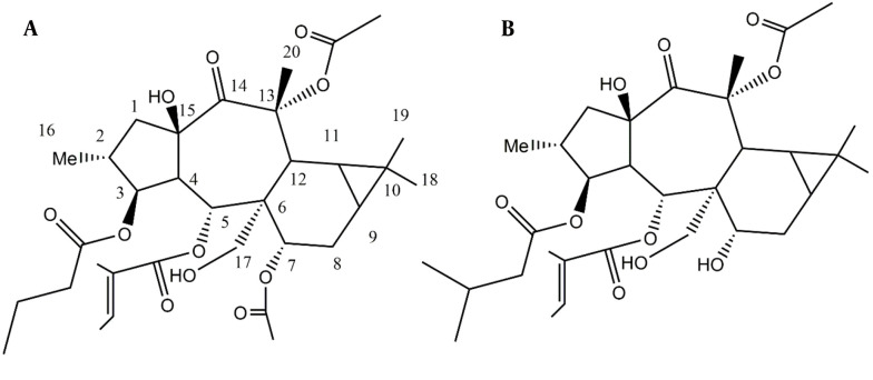
Background: This study focused on macrocyclic diterpenes derived from Euphorbia, particularly myrsinanes, and their potential in cytotoxic and combination treatments for resistant cancer cells. We examine premyrsinanes isolated from Euphorbia malleata and explore their cytotoxic properties.

Methods: Euphorbia malleata was collected from Taragh-Roud, Natanz, Iran. The semi-polar chloroform/acetone extract was chromatographed and fractionated using a large silica column. Fractions containing diterpene resonances were selected based on 1H-NMR spectra and were further subjected to smaller silica or Sephadex columns, followed by a recycling HPLC system. The isolated compounds were identified through 1D and 2D-NMR experiments and mass spectrometry. The cytotoxicity of the isolated compounds was assessed using the MTT assay against A2780 wild and A2780 cisplatin-resistant (R-CIS) cells, both in mono and combination treatments with cisplatin.

Results and conclusions: Using a Waters 616 HPLC pump and a YMC prep silica column, we successfully isolated two new premyrsinane diterpenes (Malleatin A and Malleatin B) alongside two known compounds (beta-sitosterol and loliolide). Malleatin A exhibited cytotoxicity against A2780 wild and A2780 R-CIS cells, with an IC50 range of 50 - 65 μM in the MTT assay. While cisplatin demonstrated significant cytotoxic effects on the A2780 wild cell line, it was ineffective against the A2780 R-CIS cells due to their resistance. However, the combination therapy of Malleatin A and cisplatin exhibited a synergistic effect, significantly increasing the mortality rate of the resistant cells compared to monotherapy. The Combination Index (CI) of 0.58 indicates effective synergy, and the Dose Reduction Index (DRI) of 3.65 suggests a favorable reduction in the dosage of cisplatin needed, potentially reducing its associated side effects.

Abstract Image

Abstract Image

Abstract Image

麦芽苷 A 和 B:从大戟科植物麦芽中提取的新型前胡烯类二萜,对 A2780 野生卵巢癌细胞株和 A2780 R-CIS 卵巢癌细胞株单药或与顺铂联合治疗具有细胞毒性作用。
背景:本研究主要研究了从大戟属植物中提取的大环二萜,特别是桃金娘烷,以及它们在耐药癌细胞的细胞毒性和联合治疗中的潜力。我们研究了从马来大戟中分离的前桃金娘烷,并探讨了它们的细胞毒性。方法:采自伊朗纳坦兹Taragh-Roud地区的马来大戟。半极性氯仿/丙酮萃取物用大硅胶柱进行色谱和分馏。根据1H-NMR谱选择含有二萜共振的馏分,并进一步进行较小的二氧化硅或Sephadex柱,然后进行循环HPLC系统。分离得到的化合物通过1D、2D-NMR实验和质谱鉴定。使用MTT试验评估分离化合物对A2780野生和A2780顺铂耐药(R-CIS)细胞的细胞毒性,无论是单用还是联合顺铂治疗。结果与结论:使用Waters 616高效液相色谱泵和YMC制备硅胶柱,我们成功分离了两个新的前马蹄苋烷二萜(马蹄苋素a和马蹄苋素B)以及两个已知化合物(β -谷甾醇和油橄榄内酯)。Malleatin A对A2780野生细胞和A2780 R-CIS细胞表现出细胞毒性,MTT实验的IC50范围为50 ~ 65 μM。虽然顺铂对A2780野生细胞系显示出明显的细胞毒性作用,但由于A2780 R-CIS细胞具有耐药性,顺铂对其无效。然而,Malleatin A和顺铂联合治疗显示出协同效应,与单一治疗相比,耐药细胞的死亡率显著增加。联合指数(CI)为0.58,表明有效的协同作用,剂量减少指数(DRI)为3.65,表明所需顺铂剂量的有利减少,可能减少其相关副作用。
本文章由计算机程序翻译,如有差异,请以英文原文为准。
求助全文
约1分钟内获得全文 求助全文
来源期刊
CiteScore
3.40
自引率
6.20%
发文量
52
审稿时长
2 months
期刊介绍: The Iranian Journal of Pharmaceutical Research (IJPR) is a peer-reviewed multi-disciplinary pharmaceutical publication, scheduled to appear quarterly and serve as a means for scientific information exchange in the international pharmaceutical forum. Specific scientific topics of interest to the journal include, but are not limited to: pharmaceutics, industrial pharmacy, pharmacognosy, toxicology, medicinal chemistry, novel analytical methods for drug characterization, computational and modeling approaches to drug design, bio-medical experience, clinical investigation, rational drug prescribing, pharmacoeconomics, biotechnology, nanotechnology, biopharmaceutics and physical pharmacy.
×
引用
GB/T 7714-2015
复制
MLA
复制
APA
复制
导出至
BibTeX EndNote RefMan NoteFirst NoteExpress
×
提示
您的信息不完整,为了账户安全,请先补充。
现在去补充
×
提示
您因"违规操作"
具体请查看互助需知
我知道了
×
提示
确定
请完成安全验证×
copy
已复制链接
快去分享给好友吧!
我知道了
右上角分享
点击右上角分享
0
联系我们:info@booksci.cn Book学术提供免费学术资源搜索服务,方便国内外学者检索中英文文献。致力于提供最便捷和优质的服务体验。 Copyright © 2023 布克学术 All rights reserved.
京ICP备2023020795号-1
ghs 京公网安备 11010802042870号
Book学术文献互助
Book学术文献互助群
群 号:604180095
Book学术官方微信