Clinical characteristics of depressed children and adolescents with and without suicidal thoughts and behavior: a cross-sectional study.

Frontiers in child and adolescent psychiatry Pub Date : 2025-02-21 eCollection Date: 2025-01-01 DOI:10.3389/frcha.2025.1510961
I Häberling, M Preisig, S Emery, N Baumgartner, M Albermann, M Strumberger, K Schmeck, L Wöckel, S Erb, B Rhiner, B Contin, S Walitza, G Berger
{"title":"Clinical characteristics of depressed children and adolescents with and without suicidal thoughts and behavior: a cross-sectional study.","authors":"I Häberling, M Preisig, S Emery, N Baumgartner, M Albermann, M Strumberger, K Schmeck, L Wöckel, S Erb, B Rhiner, B Contin, S Walitza, G Berger","doi":"10.3389/frcha.2025.1510961","DOIUrl":null,"url":null,"abstract":"<p><strong>Introduction: </strong>About half of all adolescents with major depressive disorder (MDD) have frequent suicidal thoughts and of those with suicidal ideations, about one-third attempt suicide. Identifying clinical characteristics associated with suicidal ideation and attempts is important for suicide prevention and clinical care.</p><p><strong>Methods: </strong>Participants were four groups of adolescents diagnosed with MDD (<i>n</i> = 246, 180 females): (a) non-suicidal youths (<i>n</i> = 76), (b) ideators (<i>n</i> = 102; current suicidal ideation), (c) ideator-attempters (<i>n</i> = 56; current suicidal ideation and lifetime history of suicide attempt), and (d) lifetime attempters (<i>n</i> = 12; no current suicidal ideation but lifetime history of suicide attempt). Adolescents underwent clinical interviews and completed questionnaires assessing sociodemographic and clinical variables. Multivariate analyses of variance, logistic regression models, mediation and moderation analyses were run to assess which variables were associated with group membership.</p><p><strong>Results: </strong>Suicidal ideators, irrespective of whether they had attempted suicide previously, had higher depression severity, higher anxiety and lower resilience compared to non-ideators. Hopelessness was associated with greater odds of being a suicidal ideator (<i>p</i> < .001, <i>OR</i> = 1.18) or an ideator-attempter (<i>p</i> = 0.036, <i>OR</i> = 1.13) than a non-suicidal youth. Attempter-ideators engaged more often in self-harm behavior compared to ideators (<i>p</i> = 0.046, <i>OR</i> = 1.13) and non-suicidal youths (<i>p</i> < .001, <i>OR</i> = 1.45). Ideator-attempters had experienced more childhood maltreatment, with hopelessness mediating the relationship between childhood maltreatment and suicidal ideation. Self-harm moderated the relationship between suicidal ideation and the probability of having made a suicide attempt.</p><p><strong>Limitations: </strong>Only cross-sectional data was included, and data was based mostly on self-report measures.</p><p><strong>Conclusions: </strong>Suicidal thoughts are associated with increases in hopelessness while suicide attempts are linked to non-suicidal self-harm behavior. Treatment of non-suicidal self-harm behavior might be an effective suicide prevention strategy in young people with depression.</p><p><strong>Clinical trial registration: </strong>www.ClinicalTrials.gov, identifier (NCT03167307).</p>","PeriodicalId":73074,"journal":{"name":"Frontiers in child and adolescent psychiatry","volume":"4 ","pages":"1510961"},"PeriodicalIF":0.0000,"publicationDate":"2025-02-21","publicationTypes":"Journal Article","fieldsOfStudy":null,"isOpenAccess":false,"openAccessPdf":"https://www.ncbi.nlm.nih.gov/pmc/articles/PMC11885278/pdf/","citationCount":"0","resultStr":null,"platform":"Semanticscholar","paperid":null,"PeriodicalName":"Frontiers in child and adolescent psychiatry","FirstCategoryId":"1085","ListUrlMain":"https://doi.org/10.3389/frcha.2025.1510961","RegionNum":0,"RegionCategory":null,"ArticlePicture":[],"TitleCN":null,"AbstractTextCN":null,"PMCID":null,"EPubDate":"2025/1/1 0:00:00","PubModel":"eCollection","JCR":"","JCRName":"","Score":null,"Total":0}
引用次数: 0

Abstract

Introduction: About half of all adolescents with major depressive disorder (MDD) have frequent suicidal thoughts and of those with suicidal ideations, about one-third attempt suicide. Identifying clinical characteristics associated with suicidal ideation and attempts is important for suicide prevention and clinical care.

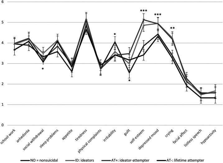
Methods: Participants were four groups of adolescents diagnosed with MDD (n = 246, 180 females): (a) non-suicidal youths (n = 76), (b) ideators (n = 102; current suicidal ideation), (c) ideator-attempters (n = 56; current suicidal ideation and lifetime history of suicide attempt), and (d) lifetime attempters (n = 12; no current suicidal ideation but lifetime history of suicide attempt). Adolescents underwent clinical interviews and completed questionnaires assessing sociodemographic and clinical variables. Multivariate analyses of variance, logistic regression models, mediation and moderation analyses were run to assess which variables were associated with group membership.

Results: Suicidal ideators, irrespective of whether they had attempted suicide previously, had higher depression severity, higher anxiety and lower resilience compared to non-ideators. Hopelessness was associated with greater odds of being a suicidal ideator (p < .001, OR = 1.18) or an ideator-attempter (p = 0.036, OR = 1.13) than a non-suicidal youth. Attempter-ideators engaged more often in self-harm behavior compared to ideators (p = 0.046, OR = 1.13) and non-suicidal youths (p < .001, OR = 1.45). Ideator-attempters had experienced more childhood maltreatment, with hopelessness mediating the relationship between childhood maltreatment and suicidal ideation. Self-harm moderated the relationship between suicidal ideation and the probability of having made a suicide attempt.

Limitations: Only cross-sectional data was included, and data was based mostly on self-report measures.

Conclusions: Suicidal thoughts are associated with increases in hopelessness while suicide attempts are linked to non-suicidal self-harm behavior. Treatment of non-suicidal self-harm behavior might be an effective suicide prevention strategy in young people with depression.

Clinical trial registration: www.ClinicalTrials.gov, identifier (NCT03167307).

Abstract Image

Abstract Image

Abstract Image

有和没有自杀想法和行为的抑郁儿童和青少年的临床特征:一项横断面研究。
简介:大约一半患有重度抑郁症(MDD)的青少年经常有自杀念头,而在有自杀意念的青少年中,大约三分之一的人尝试自杀。确定与自杀意念和企图相关的临床特征对自杀预防和临床护理很重要。方法:参与者为四组被诊断为重度抑郁症的青少年(n = 246,180名女性):(a)非自杀青少年(n = 76), (b)理想者(n = 102;(c)有自杀意念者-企图者(n = 56;(d)终生自杀企图者(n = 12;目前无自杀意念,但有自杀企图史)。青少年接受了临床访谈,并完成了评估社会人口学和临床变量的问卷调查。运用多变量方差分析、逻辑回归模型、中介和调节分析来评估哪些变量与群体成员关系相关。结果:与非自杀意念者相比,有自杀意念者的抑郁严重程度更高,焦虑程度更高,恢复力更低,无论他们之前是否尝试过自杀。与非自杀青少年相比,绝望与成为自杀意念者(p = 1.18)或意念-企图者(p = 0.036, OR = 1.13)的几率更大相关。与意念者(p = 0.046, OR = 1.13)和非意念者(p = 1.45)相比,意念者更常发生自残行为。构想者-企图者在儿童期遭受过更多的虐待,而绝望在儿童期虐待与自杀意念之间起中介作用。自残调节了自杀意念和自杀企图之间的关系。局限性:仅包括横截面数据,数据主要基于自我报告测量。结论:自杀念头与绝望感的增加有关,而自杀企图与非自杀性自残行为有关。治疗非自杀性自残行为可能是青少年抑郁症患者有效的自杀预防策略。临床试验注册:www.ClinicalTrials.gov,标识符(NCT03167307)。
本文章由计算机程序翻译,如有差异,请以英文原文为准。
求助全文
约1分钟内获得全文 求助全文
来源期刊
自引率
0.00%
发文量
0
×
引用
GB/T 7714-2015
复制
MLA
复制
APA
复制
导出至
BibTeX EndNote RefMan NoteFirst NoteExpress
×
提示
您的信息不完整,为了账户安全,请先补充。
现在去补充
×
提示
您因"违规操作"
具体请查看互助需知
我知道了
×
提示
确定
请完成安全验证×
copy
已复制链接
快去分享给好友吧!
我知道了
右上角分享
点击右上角分享
0
联系我们:info@booksci.cn Book学术提供免费学术资源搜索服务,方便国内外学者检索中英文文献。致力于提供最便捷和优质的服务体验。 Copyright © 2023 布克学术 All rights reserved.
京ICP备2023020795号-1
ghs 京公网安备 11010802042870号
Book学术文献互助
Book学术文献互助群
群 号:604180095
Book学术官方微信