Association of obesity with hyperuricaemia among HIV-positive patients on antiretroviral therapy in South-Western Uganda.

IF 1.2 Q4 MEDICINE, RESEARCH & EXPERIMENTAL
African Journal of Laboratory Medicine Pub Date : 2025-02-19 eCollection Date: 2025-01-01 DOI:10.4102/ajlm.v14i1.2565
Simon P Rugera, Hope Mudondo, Jazira Tumusiime, Rahma Udu, Ritah Kiconco, Sylvia A Lumumba, Charles N Bagenda
{"title":"Association of obesity with hyperuricaemia among HIV-positive patients on antiretroviral therapy in South-Western Uganda.","authors":"Simon P Rugera, Hope Mudondo, Jazira Tumusiime, Rahma Udu, Ritah Kiconco, Sylvia A Lumumba, Charles N Bagenda","doi":"10.4102/ajlm.v14i1.2565","DOIUrl":null,"url":null,"abstract":"<p><strong>Background: </strong>Hyperuricaemia is a risk factor for gout and independently predicts hypertension, diabetes, and chronic kidney disease development. While elevated uric acid levels occur in HIV patients, and weight gain is linked to dolutegravir-based therapy, data on the obesity-hyperuricaemia relationship in this population remain limited.</p><p><strong>Objective: </strong>The objective of our study was to evaluate the association between obesity and hyperuricaemia among HIV-positive patients on antiretroviral therapy in South-Western Uganda.</p><p><strong>Methods: </strong>Between April 2024 and June 2024, this study conducted a secondary analysis of data on uric acid level and factors associated with obesity from a 2023 cross-sectional study of HIV-positive participants. We used logistic regression to assess the factors associated with hyperuricaemia, and receiver operating characteristic curve analysis to assess the predictive performance of body mass index for hyperuricaemia.</p><p><strong>Results: </strong>Among 328 participants, hyperuricaemia prevalence was 23.48% (95% confidence interval [CI]: 19.19-28.39%) higher in male participants (31.6%) than female participants (20.0%, <i>p</i> = 0.023). Overweight (adjusted odds ratio [aOR]: 2.01; 95% CI: 1.01-4.00; <i>p</i> = 0.046), obesity (aOR: 2.50; 95% CI: 1.09-5.73, <i>p</i> = 0.030), and male gender (aOR: 2.31; 95% CI: 1.07-5.01, <i>p</i> = 0.033) were significantly associated with hyperuricaemia.</p><p><strong>Conclusion: </strong>Our findings indicate a relationship between hyperuricaemia and obesity in HIV patients on antiretroviral therapy in Uganda. Nationwide studies using primary data are needed to better understand this relationship's epidemiological spread.</p><p><strong>What this study adds: </strong>This study is the first to link obesity with hyperuricaemia among HIV-positive Ugandans on antiretroviral therapy, highlighting obesity as a key metabolic complication of HIV treatment.</p>","PeriodicalId":45412,"journal":{"name":"African Journal of Laboratory Medicine","volume":"14 1","pages":"2565"},"PeriodicalIF":1.2000,"publicationDate":"2025-02-19","publicationTypes":"Journal Article","fieldsOfStudy":null,"isOpenAccess":false,"openAccessPdf":"https://www.ncbi.nlm.nih.gov/pmc/articles/PMC11886560/pdf/","citationCount":"0","resultStr":null,"platform":"Semanticscholar","paperid":null,"PeriodicalName":"African Journal of Laboratory Medicine","FirstCategoryId":"1085","ListUrlMain":"https://doi.org/10.4102/ajlm.v14i1.2565","RegionNum":0,"RegionCategory":null,"ArticlePicture":[],"TitleCN":null,"AbstractTextCN":null,"PMCID":null,"EPubDate":"2025/1/1 0:00:00","PubModel":"eCollection","JCR":"Q4","JCRName":"MEDICINE, RESEARCH & EXPERIMENTAL","Score":null,"Total":0}
引用次数: 0

Abstract

Background: Hyperuricaemia is a risk factor for gout and independently predicts hypertension, diabetes, and chronic kidney disease development. While elevated uric acid levels occur in HIV patients, and weight gain is linked to dolutegravir-based therapy, data on the obesity-hyperuricaemia relationship in this population remain limited.

Objective: The objective of our study was to evaluate the association between obesity and hyperuricaemia among HIV-positive patients on antiretroviral therapy in South-Western Uganda.

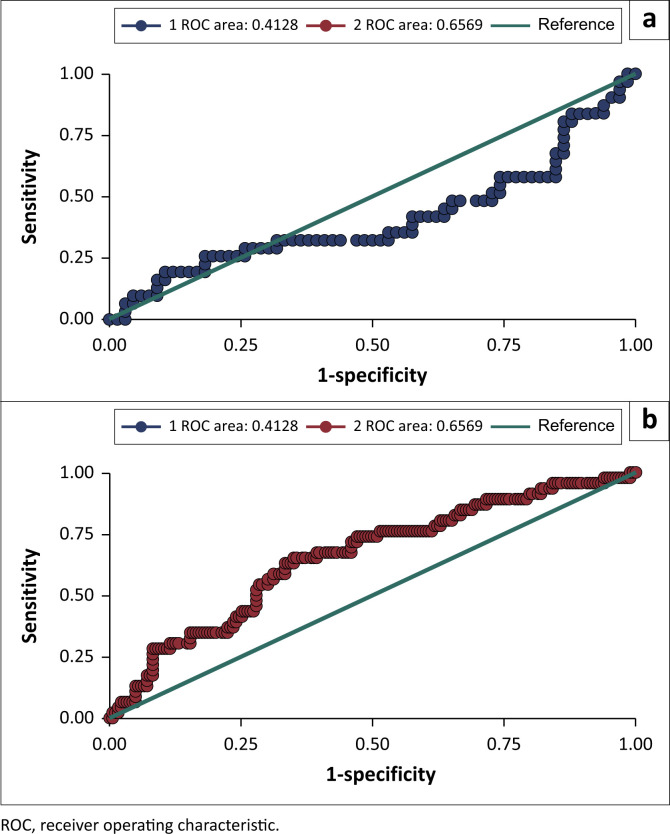
Methods: Between April 2024 and June 2024, this study conducted a secondary analysis of data on uric acid level and factors associated with obesity from a 2023 cross-sectional study of HIV-positive participants. We used logistic regression to assess the factors associated with hyperuricaemia, and receiver operating characteristic curve analysis to assess the predictive performance of body mass index for hyperuricaemia.

Results: Among 328 participants, hyperuricaemia prevalence was 23.48% (95% confidence interval [CI]: 19.19-28.39%) higher in male participants (31.6%) than female participants (20.0%, p = 0.023). Overweight (adjusted odds ratio [aOR]: 2.01; 95% CI: 1.01-4.00; p = 0.046), obesity (aOR: 2.50; 95% CI: 1.09-5.73, p = 0.030), and male gender (aOR: 2.31; 95% CI: 1.07-5.01, p = 0.033) were significantly associated with hyperuricaemia.

Conclusion: Our findings indicate a relationship between hyperuricaemia and obesity in HIV patients on antiretroviral therapy in Uganda. Nationwide studies using primary data are needed to better understand this relationship's epidemiological spread.

What this study adds: This study is the first to link obesity with hyperuricaemia among HIV-positive Ugandans on antiretroviral therapy, highlighting obesity as a key metabolic complication of HIV treatment.

Abstract Image

Abstract Image

乌干达西南部接受抗逆转录病毒治疗的艾滋病毒阳性患者中肥胖与高尿酸血症的关系
背景:高尿酸血症是痛风的危险因素,独立预测高血压、糖尿病和慢性肾脏疾病的发展。虽然在HIV患者中会出现尿酸水平升高,并且体重增加与以多替格雷韦为基础的治疗有关,但这一人群中肥胖-高尿酸血症关系的数据仍然有限。目的:我们研究的目的是评估乌干达西南部接受抗逆转录病毒治疗的艾滋病毒阳性患者中肥胖和高尿酸血症之间的关系。方法:在2024年4月至2024年6月期间,本研究对2023年hiv阳性参与者的横断面研究中尿酸水平和肥胖相关因素的数据进行了二次分析。我们使用逻辑回归来评估与高尿酸血症相关的因素,并使用受试者工作特征曲线分析来评估体重指数对高尿酸血症的预测效果。结果:328名参与者中,男性高尿酸血症患病率(31.6%)比女性高23.48%(95%可信区间[CI]: 19.19-28.39%) (20.0%, p = 0.023)。超重(校正优势比[aOR]: 2.01;95% ci: 1.01-4.00;p = 0.046),肥胖(aOR: 2.50;95% CI: 1.09-5.73, p = 0.030),男性(aOR: 2.31;95% CI: 1.07-5.01, p = 0.033)与高尿酸血症显著相关。结论:我们的研究结果表明,乌干达接受抗逆转录病毒治疗的艾滋病患者高尿酸血症与肥胖之间存在关系。需要使用原始数据进行全国性研究,以更好地了解这种关系的流行病学传播。这项研究补充说:这项研究首次将艾滋病病毒阳性乌干达人接受抗逆转录病毒治疗的肥胖与高尿酸血症联系起来,强调肥胖是艾滋病治疗的一个关键代谢并发症。
本文章由计算机程序翻译,如有差异,请以英文原文为准。
求助全文
约1分钟内获得全文 求助全文
来源期刊
African Journal of Laboratory Medicine
African Journal of Laboratory Medicine MEDICINE, RESEARCH & EXPERIMENTAL-
CiteScore
1.70
自引率
9.10%
发文量
53
审稿时长
12 weeks
期刊介绍: The African Journal of Laboratory Medicine, the official journal of ASLM, focuses on the role of the laboratory and its professionals in the clinical and public healthcare sectors,and is specifically based on an African frame of reference. Emphasis is on all aspects that promote and contribute to the laboratory medicine practices of Africa. This includes, amongst others: laboratories, biomedical scientists and clinicians, medical community, public health officials and policy makers, laboratory systems and policies (translation of laboratory knowledge, practices and technologies in clinical care), interfaces of laboratory with medical science, laboratory-based epidemiology, laboratory investigations, evidence-based effectiveness in real world (actual) settings.
×
引用
GB/T 7714-2015
复制
MLA
复制
APA
复制
导出至
BibTeX EndNote RefMan NoteFirst NoteExpress
×
提示
您的信息不完整,为了账户安全,请先补充。
现在去补充
×
提示
您因"违规操作"
具体请查看互助需知
我知道了
×
提示
确定
请完成安全验证×
copy
已复制链接
快去分享给好友吧!
我知道了
右上角分享
点击右上角分享
0
联系我们:info@booksci.cn Book学术提供免费学术资源搜索服务,方便国内外学者检索中英文文献。致力于提供最便捷和优质的服务体验。 Copyright © 2023 布克学术 All rights reserved.
京ICP备2023020795号-1
ghs 京公网安备 11010802042870号
Book学术文献互助
Book学术文献互助群
群 号:604180095
Book学术官方微信