An Insight into Prognostic Impact of TIPE2 & CD36 Immunohistochemical Expression in Urothelial Carcinoma.

Q3 Medicine
Iranian Journal of Pathology Pub Date : 2025-01-01 Epub Date: 2025-01-10 DOI:10.30699/ijp.2024.2029525.3301
Amira M Abd El Maged, Nahla M Badr, Hanan Lotfy Mohammed
{"title":"An Insight into Prognostic Impact of TIPE2 & CD36 Immunohistochemical Expression in Urothelial Carcinoma.","authors":"Amira M Abd El Maged, Nahla M Badr, Hanan Lotfy Mohammed","doi":"10.30699/ijp.2024.2029525.3301","DOIUrl":null,"url":null,"abstract":"<p><strong>Background & objective: </strong>While there are fast advances in the detection and management of bladder carcinoma, the number of deaths remains high. Therefore, the identification of an effective biomarker predicting tumor progression in cancer bladder patients is a crucial issue. This study aimed to identify TIPE2 and CD36 expressions in cancer bladder and examine their relationship with clinicopathological data and prognosis.</p><p><strong>Methods: </strong>Using immunohistochemistry, 60 specimens of bladder urothelial cancer (UC) for the expression of TIPE2 and CD36 were studied and compared with the clinicopathologic parameters and survival data. Furthermore, the association between TIPE2 and CD36 expression and Vimentin expression to elucidate the influence of TIPE2 and CD36 on the epithelial-mesenchymal transition (EMT) were investigated in UC.</p><p><strong>Results: </strong>TIPE2 expression was associated with lower stages and prolonged disease-free survival (DFS) and overall survival (OS). Therefore, TIPE2 may be considered a good indicator of UC prognosis. CD36 immuno-positivity was associated with high tumor grade, stages, shorter OS, and DFS. Therefore, the immune positivity of CD36 may be a poor prognostic marker for UC patients. Furthermore, Vimentin expression was directly correlated with CD36 expression and inversely correlated with TIPE2 expression.</p><p><strong>Conclusion: </strong>TIPE2 and CD36 may be novel biomarkers for predicting tumor metastasis and prognosis in patients with bladder UC and hold promise as therapeutic targets.</p>","PeriodicalId":38900,"journal":{"name":"Iranian Journal of Pathology","volume":"20 1","pages":"48-57"},"PeriodicalIF":0.0000,"publicationDate":"2025-01-01","publicationTypes":"Journal Article","fieldsOfStudy":null,"isOpenAccess":false,"openAccessPdf":"https://www.ncbi.nlm.nih.gov/pmc/articles/PMC11887630/pdf/","citationCount":"0","resultStr":null,"platform":"Semanticscholar","paperid":null,"PeriodicalName":"Iranian Journal of Pathology","FirstCategoryId":"1085","ListUrlMain":"https://doi.org/10.30699/ijp.2024.2029525.3301","RegionNum":0,"RegionCategory":null,"ArticlePicture":[],"TitleCN":null,"AbstractTextCN":null,"PMCID":null,"EPubDate":"2025/1/10 0:00:00","PubModel":"Epub","JCR":"Q3","JCRName":"Medicine","Score":null,"Total":0}
引用次数: 0

Abstract

Background & objective: While there are fast advances in the detection and management of bladder carcinoma, the number of deaths remains high. Therefore, the identification of an effective biomarker predicting tumor progression in cancer bladder patients is a crucial issue. This study aimed to identify TIPE2 and CD36 expressions in cancer bladder and examine their relationship with clinicopathological data and prognosis.

Methods: Using immunohistochemistry, 60 specimens of bladder urothelial cancer (UC) for the expression of TIPE2 and CD36 were studied and compared with the clinicopathologic parameters and survival data. Furthermore, the association between TIPE2 and CD36 expression and Vimentin expression to elucidate the influence of TIPE2 and CD36 on the epithelial-mesenchymal transition (EMT) were investigated in UC.

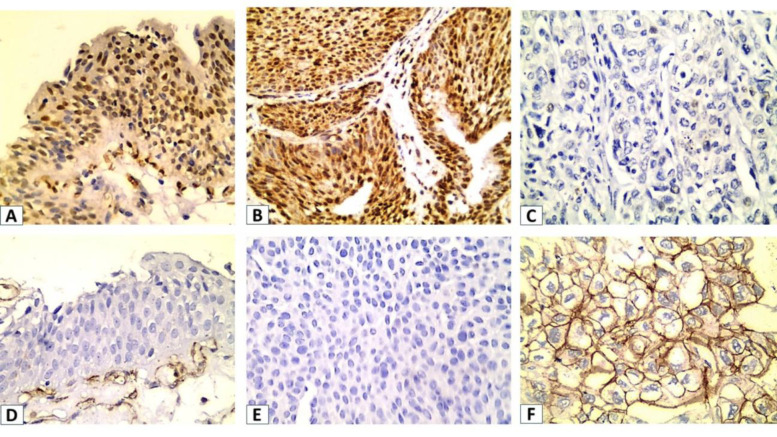
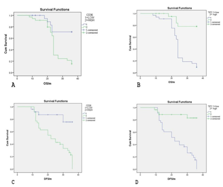
Results: TIPE2 expression was associated with lower stages and prolonged disease-free survival (DFS) and overall survival (OS). Therefore, TIPE2 may be considered a good indicator of UC prognosis. CD36 immuno-positivity was associated with high tumor grade, stages, shorter OS, and DFS. Therefore, the immune positivity of CD36 may be a poor prognostic marker for UC patients. Furthermore, Vimentin expression was directly correlated with CD36 expression and inversely correlated with TIPE2 expression.

Conclusion: TIPE2 and CD36 may be novel biomarkers for predicting tumor metastasis and prognosis in patients with bladder UC and hold promise as therapeutic targets.

Abstract Image

Abstract Image

TIPE2和CD36免疫组化表达对尿路上皮癌预后影响的研究
背景与目的:虽然膀胱癌的检测和治疗进展迅速,但死亡人数仍然很高。因此,寻找一种有效的预测膀胱癌患者肿瘤进展的生物标志物是一个至关重要的问题。本研究旨在检测TIPE2和CD36在膀胱癌中的表达,并探讨其与临床病理和预后的关系。方法:采用免疫组化方法,对60例膀胱尿路上皮癌(UC)标本TIPE2和CD36的表达情况进行研究,并与临床病理参数和生存数据进行比较。此外,我们还研究了TIPE2与CD36和Vimentin表达之间的关系,以阐明TIPE2和CD36对UC上皮-间质转化(EMT)的影响。结果:TIPE2表达与低分期、延长无病生存期(DFS)和总生存期(OS)相关。因此,TIPE2可被认为是UC预后的良好指标。CD36免疫阳性与高肿瘤分级、分期、较短的OS和DFS相关。因此,CD36的免疫阳性可能是UC患者预后不良的标志。此外,Vimentin表达与CD36表达直接相关,与TIPE2表达负相关。结论:TIPE2和CD36可能是预测膀胱UC患者肿瘤转移和预后的新型生物标志物,有望成为治疗靶点。
本文章由计算机程序翻译,如有差异,请以英文原文为准。
求助全文
约1分钟内获得全文 求助全文
来源期刊
Iranian Journal of Pathology
Iranian Journal of Pathology Medicine-Pathology and Forensic Medicine
CiteScore
2.00
自引率
0.00%
发文量
99
审稿时长
20 weeks
×
引用
GB/T 7714-2015
复制
MLA
复制
APA
复制
导出至
BibTeX EndNote RefMan NoteFirst NoteExpress
×
提示
您的信息不完整,为了账户安全,请先补充。
现在去补充
×
提示
您因"违规操作"
具体请查看互助需知
我知道了
×
提示
确定
请完成安全验证×
copy
已复制链接
快去分享给好友吧!
我知道了
右上角分享
点击右上角分享
0
联系我们:info@booksci.cn Book学术提供免费学术资源搜索服务,方便国内外学者检索中英文文献。致力于提供最便捷和优质的服务体验。 Copyright © 2023 布克学术 All rights reserved.
京ICP备2023020795号-1
ghs 京公网安备 11010802042870号
Book学术文献互助
Book学术文献互助群
群 号:604180095
Book学术官方微信